Đề thi học sinh giỏi Toán 7 cụm trường THCS (Hà Nội) năm 2025-2026
Bài viết Đề thi học sinh giỏi Toán 7 cụm trường THCS, Hà Nội năm 2025-2026 có đán án giúp học sinh ôn tập và đạt kết quả cao trong bài thi HSG Toán 7.
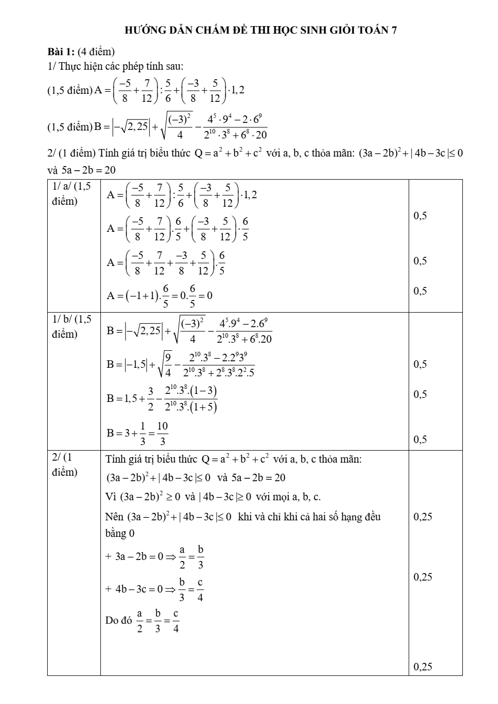
Đề thi học sinh giỏi Toán 7 cụm trường THCS (Hà Nội) năm 2025-2026
Chỉ từ 350k mua trọn bộ Đề thi học sinh giỏi Toán 7 theo cấu trúc mới bản word có lời giải chi tiết, dễ dàng chỉnh sửa:
- B1: gửi phí vào tk:
1133836868- CT TNHH DAU TU VA DV GD VIETJACK - Ngân hàng MB (QR) - B2: Nhắn tin tới Zalo VietJack Official - nhấn vào đây để thông báo và nhận giáo án
Xem thêm Đề thi học sinh giỏi môn Toán lớp 7 khác trên cả nước:
Đề thi học sinh giỏi Toán 7 trường THCS Nguyễn Tri Phương (Huế) năm 2025-2026
Đề thi học sinh giỏi Toán 7 trường THCS Tân Thọ (Thanh Hóa) năm 2025-2026
Đề thi học sinh giỏi Toán 7 trường THCS Hoàng Xá (Phú Thọ) năm 2025-2026
Đề thi học sinh giỏi Toán 7 cụm các trường THCS số 34 (Ninh Bình) năm 2025-2026
Đã có app VietJack trên điện thoại, giải bài tập SGK, SBT Soạn văn, Văn mẫu, Thi online, Bài giảng....miễn phí. Tải ngay ứng dụng trên Android và iOS.
Theo dõi chúng tôi miễn phí trên mạng xã hội facebook và youtube:Bộ đề thi năm 2025 các lớp các môn học được Giáo viên nhiều năm kinh nghiệm tổng hợp và biên soạn theo Thông tư mới nhất của Bộ Giáo dục và Đào tạo, được chọn lọc từ đề thi của các trường trên cả nước.
Nếu thấy hay, hãy động viên và chia sẻ nhé! Các bình luận không phù hợp với nội quy bình luận trang web sẽ bị cấm bình luận vĩnh viễn.
- Đề thi lớp 1 (các môn học)
- Đề thi lớp 2 (các môn học)
- Đề thi lớp 3 (các môn học)
- Đề thi lớp 4 (các môn học)
- Đề thi lớp 5 (các môn học)
- Đề thi lớp 6 (các môn học)
- Đề thi lớp 7 (các môn học)
- Đề thi lớp 8 (các môn học)
- Đề thi lớp 9 (các môn học)
- Đề thi lớp 10 (các môn học)
- Đề thi lớp 11 (các môn học)
- Đề thi lớp 12 (các môn học)
- Giáo án lớp 1 (các môn học)
- Giáo án lớp 2 (các môn học)
- Giáo án lớp 3 (các môn học)
- Giáo án lớp 4 (các môn học)
- Giáo án lớp 5 (các môn học)
- Giáo án lớp 6 (các môn học)
- Giáo án lớp 7 (các môn học)
- Giáo án lớp 8 (các môn học)
- Giáo án lớp 9 (các môn học)
- Giáo án lớp 10 (các môn học)
- Giáo án lớp 11 (các môn học)
- Giáo án lớp 12 (các môn học)


Giải bài tập SGK & SBT
Tài liệu giáo viên
Sách
Khóa học
Thi online
Hỏi đáp

