Đề kiểm tra Vật Lí 11 Cánh diều Chủ đề 1 (có lời giải)
Đề kiểm tra Vật Lí 11 Cánh diều Chủ đề 1: Dao động có đáp án chi tiết đầy đủ các mức độ sẽ giúp học sinh lớp 11 ôn luyện Vật Lí 11.
Đề kiểm tra Vật Lí 11 Cánh diều Chủ đề 1 (có lời giải)
Chỉ từ 200k mua trọn bộ Bài tập ôn tập + Đề kiểm tra Vật Lí 11 Cánh diều theo chủ đề theo cấu trúc mới bản word có lời giải chi tiết, trình bày đẹp mắt, dễ dàng chỉnh sửa:
- B1: gửi phí vào tk:
1133836868- CT TNHH DAU TU VA DV GD VIETJACK - Ngân hàng MB (QR) - B2: Nhắn tin tới Zalo VietJack Official - nhấn vào đây để thông báo và nhận đề thi
PHẦN I. Thí sinh trả lời từ câu 1 đến câu 18. Mỗi câu hỏi thí sinh chỉ chọn một phương án.
Câu 1. Trong dao động điều hòa vận tốc biến đổi
A. cùng pha với li độ.
B. ngược pha với li độ.
C. sớm pha so với li độ.
D. trễ pha so với li độ.
Câu 2. Một vật dao động điều hòa trên trục Ox quanh vị trí cân bằng O. Khi nói về gia tốc của vật, phát biểu nào sau đây sai?
A. Gia tốc có độ lớn tỉ lệ với độ lớn li độ của vật.
B. Vectơ gia tốc luôn cùng hướng với vectơ vận tốc.
C. Vectơ gia tốc luôn hướng về vị trí cân bằng.
D. Gia tốc luôn ngược dấu với li độ của vật.
Câu 3. Hai vật dao động điều hòa cùng tần số, có đồ thị li độ theo thời gian được mô tả như hình bên. Độ lệch pha của hai dao động có độ lớn là
A.
B.
C.
D.
Câu 4. Một vật dao động điều hòa theo phương trình . Li độ của vật tại thời điểm t = 2s là bao nhiêu?
A. 2 cm.
B. 4 cm.
C. 3 cm.
D. 1 cm.
Câu 5. Một vật dao động điều hòa với phương trình tính bằng giây. Vận tốc cực đại của vật là
A. 25 cm/ s.
B. 4 cm/ s.
C. 20 cm/ s.
D. 5 cm/ s.
Câu 6. Khi một người đẩy một loại cửa tự khép để đi vào, cánh cửa dao động như một con lắc. Dao động của cánh cửa là
A. dao động cưỡng bức.
B. dao động điều hòa.
C. dao động tắt dần.
D. dao động duy trì.
Câu 7. Dao động cưỡng bức là dao động của hệ
A. dưới tác dụng của lực đàn hồi.
B. trong điều kiện không có lực ma sát và chịu tác dụng của lực đàn hồi.
C. dưới tác dụng của lực quán tính.
D. dưới tác dụng của ngoại lực biến thiên tuần hoàn theo thời gian.
Câu 8. Một vật dao động điều hòa có gia tốc phụ thuộc vào li độ theo phương trình . Tần số dao động của vật là
A. 4 Hz.
B. 2 Hz.
C. 2 Hz.
D. 4Hz.
Câu 9. Một chất điểm dao động điều hòa trên trục Ox theo phương trình (cm). Quãng đường chất điểm đi được trong 2 chu kì dao động là
A. 48 cm.
B. 16 cm.
C. 64 cm.
D. 32 cm.
Câu 10. Một chất điểm dao động điều hòa trên trục Ox. Trong thời gian 31,4 s chất điểm thực hiện được 100 dao động toàn phần. Gốc thời gian là lúc chất điểm đi qua vị trí có li độ 2 cm theo chiều âm với tốc độ là cm/ s. Lấy . Phương trình dao động của chất điểm là
A.
B.
C.
D.
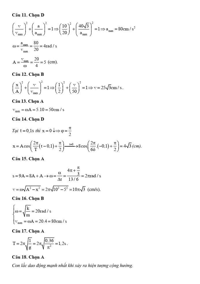
Câu 11. Một chất điểm dao động điều hòa trên trục Ox. Khi chất điểm đi qua vị trí cân bằng thì tốc độ của nó là 20 cm/ s. Khi chất điểm có tốc độ là 10 cm/ s thì gia tốc của nó có độ lớn là cm/ s2. Biên độ dao động của chất điểm là
A. 4 cm.
B. 10 cm.
C. 8 cm.
D. 5 cm.
Câu 12. Một chất điểm dao động điều hòa có vận tốc cực đại là 50 cm/ s. Tại thời điểm mà li độ bằng một nửa biên độ thì chất điểm có tốc độ là
A.
B.
C. 25 cm/ s.
D. 30 cm/ s.
Câu 13. Một chất điểm chuyển động tròn đều trên đường tròn tâm O bán kính 10 cm với tốc độ góc 5 rad/ s. Hình chiếu của chất điểm lên trục Ox nằm trong mặt phẳng quỹ đạo có tốc độ cực đại là
A. 50 cm/ s.
B. 25 cm/ s.
C. 15 cm/ s.
D. 250 cm/ s.
Câu 14. Một vật dao động điều hòa với phương trình . Hình bên là đồ thị biểu diễn sự phụ thuộc ly độ x của vật theo thời gian t. Xác định giá trị ban đầu của x = x0 khi t = 0.
A. 6,5 cm.
B. 6 cm.
C.
D.
Câu 15. Một vật dao động điều hòa có biên độ A = 10 cm. Trong khoảng thời gian vật đi được quãng đường lớn nhất S = 90 cm. Tốc độ của vật ở cuối quãng đường trên là
A.
B.
C.
D.
Câu 16. Con lắc lò xo gồm vật nhỏ có khối lượng 200 g và lò xo nhẹ có độ cứng 80 N/m. Con lắc dao động điều hòa theo phương ngang với biên độ 4 cm. Độ lớn vận tốc của vật ở vị trí cân bằng là
A. 40 cm/ s.
B. 80 cm/ s.
C. 100 cm/ s.
D. 60 cm/ s.
Câu 17. Một con lắc đơn có chiều dài dây treo 36 cm, dao động điều hoà tại nơi có g = 10 m/ s2, lấy . Chu kỳ dao động con lắc đơn này
A. 1,2 s.
B. 2,4 s.
C. 1,8 s.
D. 0,6 s.
Câu 18. Một con lắc lò xo có chu kỳ T0 = 2s. Lực cưỡng bức nào dưới đây làm cho con lắc dao động mạnh nhất?
A.
B.
C.
D.
PHẦN II. Thí sinh trả lời từ câu 1 đến câu 4. Trong mỗi ý a), b), c), d) ở mỗi câu, thí sinh chọn đúng hoặc sai.
Câu 1. Hình bên mô tả sự thay đổi động năng theo li độ của một vật có khối lượng 0,8 kg đang dao động điều hòa.
a) Cơ năng của vật là 200 mJ.
b) Khi vật có li độ bằng 2 cm thì thế năng của vật có giá trị cực tiểu.
c) Vận tốc cực đại của vật là
d) Khi vật có vị trí li độ 1 cm thì thế năng của vật là 50 mJ
Câu 2. Cho đồ thị vận tốc – thời gian của một vật dao động điều hòa như hình. Biết rằng khối lượng của vật là 0,15 kg.
a) Chu kì dao động của vật là 0,2 s.
b) Biên độ dao động của vật là 3 cm.
c) Cơ năng của vật là 0,5 J.
d) Tại thời điểm 100 ms gia tốc của vật là (m/s2).
Câu 3. Một vật dao động điều hòa dọc theo trục Ox, quanh điểm gốc O, với biên độ A = 10 cm và chu kì
T = 2 s. Tại thời điểm t = 0, vật có li độ x = 10 cm. Lấy
a) Phương trình dao động của vật là
b) Gia tốc cực đại của vật có độ lớn là
c) Vận tốc của vật tại vị trí có li độ có độ lớn là 50 (cm/s).
d) Thời điểm đầu tiên kể từ lúc bắt đầu dao động vật đi qua vị trí có li độ x = 5 (cm) là 3 s.
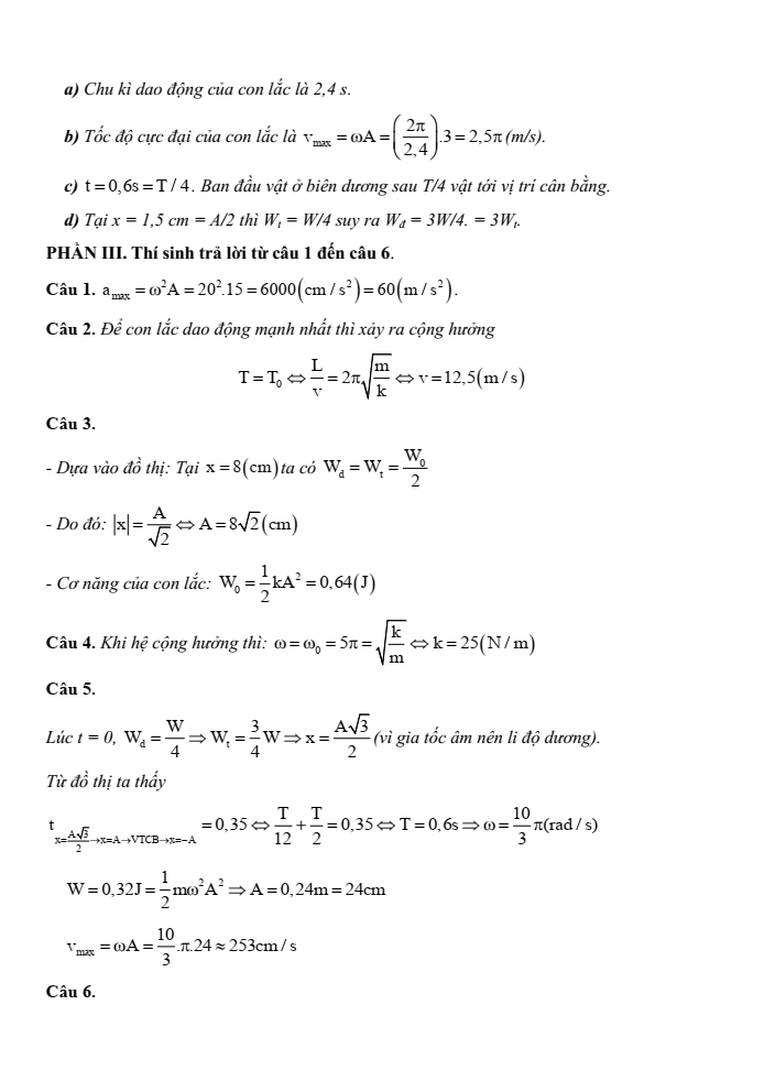
Câu 4. Cho con lắc lò xo dao động điều hòa trên mặt phẳng nằm ngang không ma sát như trong hình bên. Con lắc lò xo thực hiện mỗi dao động mất 2,4 s. Tại t = 0, vật bắt đầu dao động từ chỗ cách vị trí cân bằng x = 3 cm.
a) Chu kì dao động của con lắc là 24 s.
b) Tốc độ cực đại của con lắc là (m/s).
c) Tại thời điểm t = 0,6s vật đang ở vị trí cân bằng.
d) Tại x = 1,5 (cm) vật có động năng bằng 3 lần thế năng.
PHẦN III. Thí sinh trả lời từ câu 1 đến câu 6.
Câu 1. Một vật dao động điều hòa với phương trình x = 15cos(20t) cm, t tính bằng s. Gia tốc cực đại của vật là bao nhiêu (m/s2)?
Câu 2. Một con lắc lò xo gồm vật có khối lượng m = 1 kg, lò xo có độ cứng k = 40 N/m, được treo trên trần một toa tàu, chiều dài thanh ray dài 12,5 m; ở chỗ nối hai thanh ray có một khe nhỏ. Lấy . Tàu chạy với vận tốc bao nhiêu m/s thì con lắc dao động mạnh nhất?
Câu 3. Một con lắc lò xo có độ cứng k = 100 N/m dao động điều hòa. Gọi Wt và Wđ lần lượt là thế năng của lò xo và động năng của vật, W0 là cơ năng của con lắc lò xo. Đồ thị biểu diễn sự phụ thuộc của thế năng Wt và động năng Wđ của con lắc vào li độ x như hình. Cơ năng của con lắc bằng bao nhiêu J?
Câu 4. Một con lắc lo xò có khối lượng 100 g dao động cưỡng bức ổn định dưới tác dụng của ngoại lực biến thên điều hòa với tần số f. Đồ thị biểu diễn sự phụ thuộc của biên độ vào tần số của ngoại lực tác dụng lên hệ có dạng như hình vẽ. Lấy . Độ cứng của lò xo bằng bao nhiêu N/m?
Câu 5. Một vật có khối lượng 100g đang dao động điều hòa có đồ thị động năng theo thời gian như hình vẽ. Lấy . Tại t = 0, vật đang có gia tốc âm. Vận tốc cực đại của vật là bao nhiêu m/s? Kết quả làm tròn đến phần nguyên
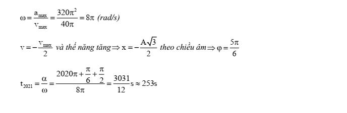
Câu 6. Một chất điểm dao động điều hòa có vận tốc cực đại và gia tốc cực đại . Chọn mốc thế năng tại vị trí cân bằng. Thời điểm ban đầu (t = 0), chất điểm có vận tốc cm/s và thế năng đang tăng. Chất điểm đi qua vị trí cân bằng lần thứ 2021 vào thời điểm bao nhiêu giây? Kết quả làm tròn đến phần nguyên.
................................
................................
................................
Xem thêm đề kiểm tra Vật Lí lớp 11 Cánh diều có đáp án hay khác:
Xem thêm các tài liệu học tốt lớp 11 hay khác:
- Giải sgk Vật Lí 11 Cánh diều
- Giải Chuyên đề Vật Lí 11 Cánh diều
- Giải SBT Vật Lí 11 Cánh diều
- Giải lớp 11 Cánh diều (các môn học)
- Giải lớp 11 Kết nối tri thức (các môn học)
- Giải lớp 11 Chân trời sáng tạo (các môn học)
Tủ sách VIETJACK shopee lớp 10-11 (cả 3 bộ sách):
Đã có app VietJack trên điện thoại, giải bài tập SGK, SBT Soạn văn, Văn mẫu, Thi online, Bài giảng....miễn phí. Tải ngay ứng dụng trên Android và iOS.
Theo dõi chúng tôi miễn phí trên mạng xã hội facebook và youtube:Nếu thấy hay, hãy động viên và chia sẻ nhé! Các bình luận không phù hợp với nội quy bình luận trang web sẽ bị cấm bình luận vĩnh viễn.
- Soạn văn 11 Cánh diều (hay nhất)
- Soạn văn 11 Cánh diều (ngắn nhất)
- Giải sgk Toán 11 - Cánh diều
- Giải Tiếng Anh 11 Global Success
- Giải sgk Tiếng Anh 11 Smart World
- Giải sgk Tiếng Anh 11 Friends Global
- Giải sgk Vật Lí 11 - Cánh diều
- Giải sgk Hóa học 11 - Cánh diều
- Giải sgk Sinh học 11 - Cánh diều
- Giải sgk Lịch Sử 11 - Cánh diều
- Giải sgk Địa Lí 11 - Cánh diều
- Giải sgk Giáo dục KTPL 11 - Cánh diều
- Giải sgk Tin học 11 - Cánh diều
- Giải sgk Công nghệ 11 - Cánh diều
- Giải sgk Hoạt động trải nghiệm 11 - Cánh diều
- Giải sgk Giáo dục quốc phòng 11 - Cánh diều
- Giải sgk Âm nhạc 11 - Cánh diều


Giải bài tập SGK & SBT
Tài liệu giáo viên
Sách
Khóa học
Thi online
Hỏi đáp

