Trắc nghiệm Vật Lí 11 Cánh diều Bài 2 (có đáp án): Điện trở
Với 15 câu hỏi trắc nghiệm Vật Lí 11 Bài 2: Điện trở có đáp án chi tiết đầy đủ các mức độ, có đúng sai, trả lời ngắn sách Cánh diều sẽ giúp học sinh lớp 11 ôn luyện trắc nghiệm Vật Lí 11.
Trắc nghiệm Vật Lí 11 Cánh diều Bài 2 (có đáp án): Điện trở
Phần I. Trắc nghiệm nhiều lựa chọn
Câu 1. Đặt hiệu điện thế 6V vào hai đầu điện trở 3Ω. Cường độ dòng điện chạy qua điện trở là
A. 0,5 A.
B. 6 A.
C. 2 A.
D. 3 A.
Câu 2. Đặt một hiệu điện thế 12V vào giữa hai đầu một điện trở 4,0Ω thì lượng điện tích chạy qua điện trở trong mỗi giây là
A. 3 C.
B. 4 C.
C. 12 C.
D. 48 C.
Câu 3. Một dây dẫn kim loại có điện trở R được cắt thành ba đoạn bằng nhau rồi tết lại với nhau để tạo thành một dây dẫn mới có chiều dài bằng 1/3 chiều dài ban đầu. Điện trở của dây mới này có giá trị là
A. 3R.
B. R/9.
C. R/3.
D. 9R.
Câu 4. Đặc điểm của điện trở nhiệt có hệ số nhiệt điện trở
A. dương khi nhiệt độ tăng thì điện trở tăng.
B. dương khi nhiệt độ tăng thì điện trở giảm.
C. âm khi nhiệt độ tăng thì điện trở tăng.
D. âm khi nhiệt độ tăng thì điện trở giảm về bằng 0.
Câu 5. Cường độ dòng điện chạy qua dây dẫn tỉ lệ thuận với hiệu điện thế giữa hai đầu dây dẫn. Nếu tăng hiệu điện thế lên 1,6 lần thì
A. cường độ dòng điện tăng 3,2 lần.
B. cường độ dòng điện giảm 3,2 lần.
C. cường độ dòng điện giảm 1,6 lần.
D. cường độ dòng điện tăng 1,6 lần.
Câu 6. Từ đồ thị biểu diễn sự phụ thuộc của cường độ dòng điện vào hiệu điện thế đối với hai điện trở trong hình vẽ. Điện trở có giá trị là
A. .
B. .
C. .
D. .
Câu 7. Muốn đo hiệu điện thế giữa hai cực của một nguồn điện, nhưng không có vôn kế, một học sinh đã sử dụng một ampe kế và một điện trở có giá trị mắc nối tiếp nhau sau, đó mắc vào nguồn điện, biết ampe kế chỉ 1,2A. Hiệu điện thế giữa hai cực nguồn điện có giá trị bằng bao nhiêu?
A. 120 V.
B. 50 V.
C. 12 V.
D. 60 V.
Câu 8: Mắc nối tiếp điện trở R1 và R2 thành bộ rồi đặt hai đầu bộ điện trở này vào một hiệu điện thế U thì độ giảm thế trên R1 lớn gấp 2 lần độ giảm thế trên R2. Sau đó, mắc song song hai điện trở này thành bộ rồi đặt hai đầu bộ vào hiệu điện thế U thì cường độ dòng điện chạy qua điện trở
A. R1 lớn gấp 2 lần cường độ dòng điện chạy qua điện trở R2.
B. R2 lớn gấp 2 lần cường độ dòng điện chạy qua điện trở R1.
C. R1 lớn gấp 4 lần cường độ dòng điện chạy qua điện trở R2.
D. R2 lớn gấp 4 lần cường độ đòng điện chạy qua điện trở R1.
Câu 9. Đặt vào hai đầu một điện trở R = 20 Ω một hiệu điện thế U = 2V trong khoảng thời gian t = 20 s. Lượng điện tích di chuyển qua điện trở là
A. q = 4 C.
B. q = 1 C.
C. q = 2 C.
D. q = 5 mC.
Câu 10. Điện trở suất của kim loại phụ thuộc vào yếu tố nào?
A. Nhiệt độ của kim loại.
B. Kích thước của vật dẫn kim loại.
C. Bản chất của kim loại.
D. Nhiệt độ và bản chất của vật dẫn kim loại.
Câu 11. Cho mạch điện như hình vẽ. Các giá trị điện trở , .
Tính hiệu điện thế giữa hai đầu điện trở nếu cường độ dòng điện qua điện trở có giá trị 1A.
A. 2 V.
B. 3 V.
C. 4 V.
D. 5 V.
Câu 12. Cho một đoạn mạch điện như hình vẽ. Biết các giá trị điện trở: ; . Hãy tính điện trở của đoạn mạch AB.
A. 3 Ω.
B. 4 Ω.
C. 5 Ω.
D. 6 Ω.
Phần II. Câu trắc nghiệm đúng sai
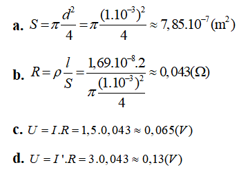
Câu hỏi. Một đoạn dây dẫn bằng đồng có điện trở suất 1,69.10-8Ω.m, dài 2,0 m và đường kính tiết diện là 1,0 mm. Cho dòng điện 1,5 A chạy qua đoạn dây.
|
Phát biểu |
Đúng |
Sai |
|
|
a |
Tiết diện của đoạn dây dẫn bằng 9.10-7m2. |
||
|
b |
Điện trở của đoạn dây là 0,043 Ω |
||
|
c |
Hiệu điện thế giữa hai đầu đoạn dây là 0,065 V. |
||
|
d |
Nếu cho cường độ dòng điện qua đoạn mạch 3A thì hiệu điện thế giữa hai đầu đoạn dây là 13 V |
Phần III. Câu trắc nghiệm trả lời ngắn
Câu 1.
Tìm điện trở tương đương của mạch. (tính theo W)
Câu 2.
Tính hiệu điện thế giữa hai đầu điện trở R1.(tính theo V)
Xem thêm câu hỏi trắc nghiệm Vật Lí lớp 11 Cánh diều có đáp án hay khác:
Trắc nghiệm Vật Lí 11 Bài 1: Lực tương tác giữa các điện tích
Trắc nghiệm Vật Lí 11 Bài 3: Điện thế, hiệu điện thế, tụ điện
Trắc nghiệm Vật Lí 11 Bài 3: Nguồn điện, năng lượng điện và công suất điện
Xem thêm các tài liệu học tốt lớp 11 hay khác:
- Giải sgk Vật Lí 11 Cánh diều
- Giải Chuyên đề Vật Lí 11 Cánh diều
- Giải SBT Vật Lí 11 Cánh diều
- Giải lớp 11 Cánh diều (các môn học)
- Giải lớp 11 Kết nối tri thức (các môn học)
- Giải lớp 11 Chân trời sáng tạo (các môn học)
Tủ sách VIETJACK shopee lớp 10-11 (cả 3 bộ sách):
Đã có app VietJack trên điện thoại, giải bài tập SGK, SBT Soạn văn, Văn mẫu, Thi online, Bài giảng....miễn phí. Tải ngay ứng dụng trên Android và iOS.
Theo dõi chúng tôi miễn phí trên mạng xã hội facebook và youtube:Nếu thấy hay, hãy động viên và chia sẻ nhé! Các bình luận không phù hợp với nội quy bình luận trang web sẽ bị cấm bình luận vĩnh viễn.
- Soạn văn 11 Cánh diều (hay nhất)
- Soạn văn 11 Cánh diều (ngắn nhất)
- Giải sgk Toán 11 - Cánh diều
- Giải Tiếng Anh 11 Global Success
- Giải sgk Tiếng Anh 11 Smart World
- Giải sgk Tiếng Anh 11 Friends Global
- Giải sgk Vật Lí 11 - Cánh diều
- Giải sgk Hóa học 11 - Cánh diều
- Giải sgk Sinh học 11 - Cánh diều
- Giải sgk Lịch Sử 11 - Cánh diều
- Giải sgk Địa Lí 11 - Cánh diều
- Giải sgk Giáo dục KTPL 11 - Cánh diều
- Giải sgk Tin học 11 - Cánh diều
- Giải sgk Công nghệ 11 - Cánh diều
- Giải sgk Hoạt động trải nghiệm 11 - Cánh diều
- Giải sgk Giáo dục quốc phòng 11 - Cánh diều
- Giải sgk Âm nhạc 11 - Cánh diều


Giải bài tập SGK & SBT
Tài liệu giáo viên
Sách
Khóa học
Thi online
Hỏi đáp

