Lũy thừa với số mũ thực lớp 11 (Lý thuyết Toán 11 Kết nối tri thức)
Với tóm tắt lý thuyết Toán 11 Bài 18: Lũy thừa với số mũ thực sách Kết nối tri thức hay nhất, chi tiết sẽ giúp học sinh lớp 11 nắm vững kiến thức trọng tâm, ôn luyện để học tốt môn Toán 11.
Lũy thừa với số mũ thực lớp 11 (Lý thuyết Toán 11 Kết nối tri thức)
(199k) Xem Khóa học Toán 11 KNTT
Bài giảng: Bài 18: Lũy thừa với số mũ thực - Cô Trần Oanh (Giáo viên VietJack)
Lý thuyết Lũy thừa với số mũ thực
1. Lũy thừa với số mũ nguyên
• Cho n là một số nguyên dương. Ta định nghĩa:
Với a là số thực tuỳ ý:
Với a là số thực khác 0:
• Trong biểu thức am, a gọi là cơ số, m gọi là số mũ.
Lưu ý: 00 và không có nghĩa.
Luỹ thừa với số mũ nguyên có các tính chất tương tự như luỹ thừa với số mũ nguyên dương.
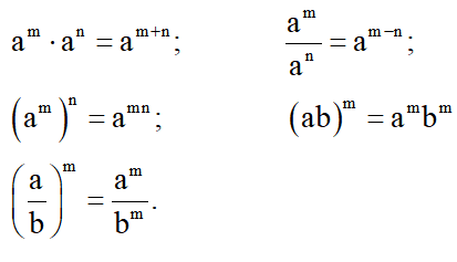
Với và m, n là các số nguyên, ta có:
Chú ý:
- Nếu a > 1 thì am > an khi và chỉ khi m > n.
- Nếu 0 < a < 1 thì am > an khi và chỉ khi m < n.
Ví dụ 1. Tính giá trị của biểu thức:
Hướng dẫn giải
Ta có
2. Lũy thừa với số mũ hữu tỉ
• Khái niệm căn bậc n
Cho số thực a và số nguyên dương n. Số b được gọi là căn bậc n của số a nếu bn = a..
Nhận xét. Khi n là số lẻ, mỗi số thực a chỉ có một căn bậc n và kí hiệu là . Căn bậc 1 của số a chính là a.
Lưu ý: .
Khi n là số chẵn, mỗi số thực dương có đúng hai căn bậc n là hai số đối nhau, giá trị dương kí hiệu là (gọi là căn số học bậc n của a), giá trị âm kí hiệu là .
Ví dụ 2. Tính: .
Hướng dẫn giải
• Tính chất của căn bậc n
Giả sử n, k là các số nguyên dương, m là số nguyên. Khi đó:
(Giả thiết các biểu thức ở trên đều có nghĩa).
Ví dụ 3. Tính: .
Hướng dẫn giải
• Lũy thừa với số mũ hữu tỉ
Cho số thực a dương và số hữu tỉ , trong đó m là một số nguyên và n là số nguyên dương. Luỹ thừa của a với số mũ r, kí hiệu là ar, xác định bởi .
Chú ý. Luỹ thừa với số mũ hữu tỉ (của một số thực dương) có đầy đủ các tính chất như luỹ thừa với số mũ nguyên.
Ví dụ 4. Rút gọn biểu thức với a > 0.
Hướng dẫn giải
3. Lũy thừa với số mũ thực
3.1. Khái niệm lũy thừa với số mũ thực
Cho a là số thực dương và α là một số vô tỉ. Xét dãy số hữu tỉ (rn) mà . Khi đó, dãy số có giới hạn xác định và không phụ thuộc vào dãy số hữu tỉ (rn) đã chọn. Giới hạn đó gọi là luỹ thừa của a với số mũ α, kí hiệu là aα.
Chú ý. Luỹ thừa với số mũ thực (của một số dương) có đầy đủ các tính chất như luỹ thừa với số mũ nguyên.
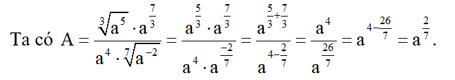
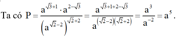
Ví dụ 5. Rút gọn biểu thức: với a > 0.
Hướng dẫn giải
3.2. Tính lũy thừa với số mũ thực bằng máy tính cầm tay
Có thể sử dụng máy tính cầm tay để tính căn bậc n và luỹ thừa với số mũ thực.
Bài tập Lũy thừa với số mũ thực
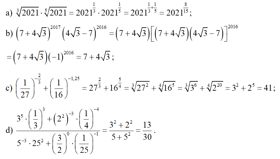
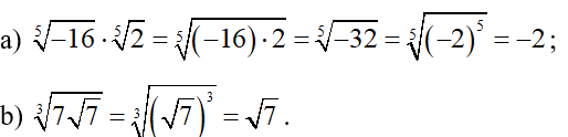
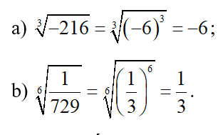
Bài 1. Thực hiện phép tính:
Hướng dẫn giải
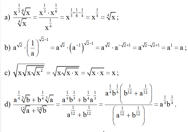
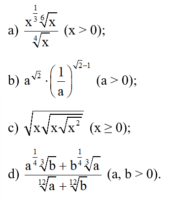
Bài 2. Rút gọn các biểu thức sau:
Hướng dẫn giải
Bài 3. Không sử dụng máy tính cầm tay, hãy so sánh:
Hướng dẫn giải
Bài 4. Ông An gửi 100 triệu đồng vào một ngân hàng với lãi suất 0,8%/ tháng. Biết rằng nếu không rút tiền ra khỏi ngân hàng thì cứ sau mỗi tháng số tiền lãi sẽ được nhập vào gốc để tính lãi cho tháng tiếp theo và từ tháng thứ hai trở đi, mỗi tháng ông gửi thêm vào tài khoản với số tiền 2 triệu đồng. Hỏi sau đúng 2 năm số tiền ông An nhận được cả gốc lẫn lãi là bao nhiêu? Biết rằng trong suốt thời gian gửi lãi suất không thay đổi và ông An không rút tiền ra.
Hướng dẫn giải
Với 100 triệu đồng ban đầu số tiền cả lãi và gốc thu được sau hai năm là
(đồng).
Mỗi tháng tiếp theo gửi 2 triệu đồng thì tổng số tiền cả lãi và gốc là
(đồng).
Vậy tổng số tiền ông An nhận được là (đồng).
Học tốt Lũy thừa với số mũ thực
Các bài học để học tốt Lũy thừa với số mũ thực Toán lớp 11 hay khác:
(199k) Xem Khóa học Toán 11 KNTT
Xem thêm tóm tắt lý thuyết Toán lớp 11 Kết nối tri thức hay, chi tiết khác:
Xem thêm các tài liệu học tốt lớp 11 hay khác:
- Giải sgk Toán 11 Kết nối tri thức
- Giải Chuyên đề học tập Toán 11 Kết nối tri thức
- Giải SBT Toán 11 Kết nối tri thức
- Giải lớp 11 Kết nối tri thức (các môn học)
- Giải lớp 11 Chân trời sáng tạo (các môn học)
- Giải lớp 11 Cánh diều (các môn học)
Tủ sách VIETJACK shopee lớp 10-11 (cả 3 bộ sách):
Đã có app VietJack trên điện thoại, giải bài tập SGK, SBT Soạn văn, Văn mẫu, Thi online, Bài giảng....miễn phí. Tải ngay ứng dụng trên Android và iOS.
Theo dõi chúng tôi miễn phí trên mạng xã hội facebook và youtube:Nếu thấy hay, hãy động viên và chia sẻ nhé! Các bình luận không phù hợp với nội quy bình luận trang web sẽ bị cấm bình luận vĩnh viễn.
- Soạn văn 11 (hay nhất) - KNTT
- Soạn văn 11 (ngắn nhất) - KNTT
- Giải sgk Toán 11 - KNTT
- Giải Tiếng Anh 11 Global Success
- Giải sgk Tiếng Anh 11 Smart World
- Giải sgk Tiếng Anh 11 Friends Global
- Giải sgk Vật Lí 11 - KNTT
- Giải sgk Hóa học 11 - KNTT
- Giải sgk Sinh học 11 - KNTT
- Giải sgk Lịch Sử 11 - KNTT
- Giải sgk Địa Lí 11 - KNTT
- Giải sgk Giáo dục KTPL 11 - KNTT
- Giải sgk Tin học 11 - KNTT
- Giải sgk Công nghệ 11 - KNTT
- Giải sgk Hoạt động trải nghiệm 11 - KNTT
- Giải sgk Giáo dục quốc phòng 11 - KNTT
- Giải sgk Âm nhạc 11 - KNTT


Giải bài tập SGK & SBT
Tài liệu giáo viên
Sách
Khóa học
Thi online
Hỏi đáp

