Khoảng cách lớp 11 (Lý thuyết Toán 11 Kết nối tri thức)
Với tóm tắt lý thuyết Toán 11 Bài 26: Khoảng cách sách Kết nối tri thức hay nhất, chi tiết sẽ giúp học sinh lớp 11 nắm vững kiến thức trọng tâm, ôn luyện để học tốt môn Toán 11.
Khoảng cách lớp 11 (Lý thuyết Toán 11 Kết nối tri thức)
(199k) Xem Khóa học Toán 11 KNTT
Bài giảng: Bài 26: Khoảng cách - Cô Trần Oanh (Giáo viên VietJack)
Lý thuyết Khoảng cách
1. Khoảng cách từ một điểm đến một đường thẳng, đến một mặt phẳng
• Khoảng cách từ một điểm M đến một đường thẳng a, kí hiệu d(M, a), là khoảng cách giữa M và hình chiếu H của M trên a.
• Khoảng cách từ một điểm M đến một mặt phẳng (P), kí hiệu d(M, (P)), là khoảng cách giữa M và hình chiếu H của M trên (P).
Chú ý. d(M, a) = 0 khi và chỉ khi M ∈ a; d(M, (P)) = 0 khi và chỉ khi M ∈ (P).
Nhận xét. Khoảng cách từ M đến đường thẳng a (mặt phẳng (P)) là khoảng cách nhỏ nhất giữa M và một điểm thuộc a (thuộc (P)).
Chú ý. Khoảng cách từ đỉnh đến mặt phẳng chứa mặt đáy của một hình chóp được gọi là chiều cao của hình chóp đó.
Ví dụ 1. Cho điểm A nằm ngoài đường thẳng ∆, hai điểm B, C thuộc ∆ sao cho BC = a, diện tích tam giác ABC bằng S. Tính khoảng cách từ điểm A đến đường thẳng ∆ theo a, S.
Hướng dẫn giải
Gọi H là hình chiếu của A trên BC. Khi đó d(A, ∆) = AH. Vì diện tích tam giác ABC bằng S nên .
Suy ra .
Vậy khoảng cách từ điểm A đến đường thẳng ∆ bằng .
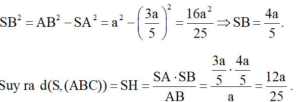
Ví dụ 2. Cho hình chóp S.ABC có mặt phẳng (SAB) vuông góc với mặt đáy, tam giác SAB vuông tại S, . Tính khoảng cách từ điểm S đến mặt phẳng (ABC).
Hướng dẫn giải
Gọi H là hình chiếu của S trên AB.
Xét tam giác SAB vuông tại S có:
Vậy khoảng cách từ điểm S đến mặt phẳng (ABC) bằng
2. Khoảng cách giữa các đường thẳng và mặt phẳng song song, giữa hai mặt phẳng song song
• Khoảng cách giữa đường thẳng a và mặt phẳng (P) song song với a, kí hiệu d(a, (P)), là khoảng cách từ một điểm bất kì trên a đến (P).
• Khoảng cách giữa hai mặt phẳng song song (P) và (Q), kí hiệu d((P),(Q)), là khoảng cách từ một điểm bất kì thuộc mặt phẳng này đến mặt phẳng kia.
• Khoảng cách giữa hai đường thẳng song song m và n, kí hiệu d(m, n), là khoảng cách từ một điểm thuộc đường thẳng này đến đường thẳng kia.
Chú ý. Khoảng cách giữa hai đáy của một hình lăng trụ được gọi là chiều cao của hình lăng trụ đó.
Ví dụ 3. Cho hình chóp S.ABCD có ABCD là hình chữ nhật, SAB là tam giác đều, .
a) Chứng minh rằng CD // (SAB). Tính khoảng cách giữa CD và mặt phẳng (SAB).
b) Chứng minh rằng BC // (SAD). Tính khoảng cách giữa BC và mặt phẳng (SAD).
Hướng dẫn giải
Vậy khoảng cách giữa BC và mặt phẳng (SAD) bằng .
Ví dụ 4. Cho hình lăng trụ có Tính khoảng cách giữa hai mặt phẳng (ABC) và .
Hướng dẫn giải
Gọi H là hình chiếu của A' trên AB
Xét tam giác A'AH vuông tại H có .
Suy ra
Vậy khoảng cách giữa hai mặt phẳng và bằng .
3. Khoảng cách giữa hai đường thẳng chéo nhau
Đường thẳng ∆ cắt hai đường thẳng chéo nhau a, b và vuông góc với cả hai đường thẳng đó được gọi là đường vuông góc chung của a và b.
Nếu đường vuông góc chung ∆ cắt a, b tương ứng tại M, N thì độ dài đoạn thẳng MN được gọi là khoảng cách giữa hai đường thẳng chéo nhau a, b.
Nhận xét
• Khoảng cách giữa hai đường thẳng chéo nhau bằng khoảng cách giữa một trong hai đường thẳng đó đến mặt phẳng song song với nó và chứa đường thẳng còn lại.
• Khoảng cách giữa hai đường thẳng chéo nhau bằng khoảng cách giữa hai mặt phẳng song song, tương ứng chứa hai đường thẳng đó.
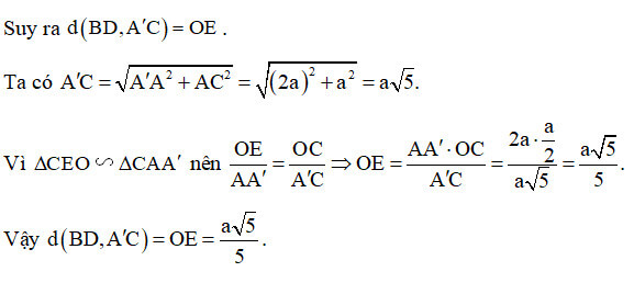
Ví dụ 5. Cho hình hộp chữ nhật có . Tính khoảng cách giữa hai đường thẳng:
a) AB và B'C';
b) AA' và BC;
c) BB' và C'D'.
Hướng dẫn giải
Bài tập Khoảng cách
Bài 1. Cho hình chóp S.ABC có , đáy là tam giác ABC vuông tại B, biết SA = AB = BC = a. Tính theo a khoảng cách:
a) Từ điểm B đến đường thẳng SC.
b) Từ điểm A đến mặt phẳng (SBC).
c) Giữa hai đường thẳng chéo nhau AB và SC.
Hướng dẫn giải
Theo định lí Pythagore, ta tính được
Xét tam giác SBC vuông tại B có đường cao BH.
Xét tam giác SAB vuông tại A có đường cao AK.
Khi đó . Vậy
c) Dựng hình bình hành ABCD, vì tam giác ABC vuông cân tại B nên ABCD là hình vuông.
Vì mặt phẳng (SCD) chứa SC và song song với AB nên
Từ (1) và (2), suy ra d(AB, SC) = AE.
Vì tam giác SAD vuông cân tại A, có đường cao AE nên
Vậy
Bài 2. Cho hình lập phương có cạnh bằng a. Tính theo a khoảng cách:
a) Giữa hai đường thẳng AB và C'D'.
b) Giữa đường thẳng AC và mặt phẳng
c) Từ điểm A đến đường thẳng B'D'.
d) Giữa hai đường thẳng AC và B'D'.
Hướng dẫn giải
a) Vì BC' vuông góc với cả hai đường thẳng AB và C'D' nên
c) Gọi O' là giao điểm của A'C' và B'D', ta có , theo định lí Pythagore, áp dụng cho tam giác vuông tại A' thì .
Bài 3. Cho hình hộp chữ nhật có Tính theo a khoảng cách:
a) Từ điểm A đến mặt phẳng
b) Giữa hai đường thẳng BD và CD'.
Hướng dẫn giải
a) Kẻ AH vuông góc với BD tại H.
Vì AC cắt BD tại trung điểm của AC nên
Kẻ AK vuông góc với A'H tại K. Khi đó , suy ra
Vậy
Bài 4. Cho hình hộp là hình thoi cạnh , . Tính khoảng cách:
a) Từ điểm A đến mặt phẳng
b) Giữa hai mặt phẳng và ;
c) Giữa hai đường thẳng BD và A'C.
Hướng dẫn giải
a) Gọi H là hình chiếu của A trên BC. Khi đó,
Vì tam giác ABC đều cạnh a nên
Vậy
b) Vì là hình hộp nên
Gọi I là hình chiếu của A trên CD. Vì tam giác ACD đều cạnh a nên
Khi đó,
c) Gọi E là hình chiếu của O trên A'C. Vì nên
Học tốt Khoảng cách
Các bài học để học tốt Khoảng cách Toán lớp 11 hay khác:
(199k) Xem Khóa học Toán 11 KNTT
Xem thêm tóm tắt lý thuyết Toán lớp 11 Kết nối tri thức hay, chi tiết khác:
Lý thuyết Toán 11 Bài 28: Biến cố hợp, biến cố giao, biến cố độc lập
Lý thuyết Toán 11 Bài 30: Công thức nhân xác suất cho hai biến cố độc lập
Xem thêm các tài liệu học tốt lớp 11 hay khác:
- Giải sgk Toán 11 Kết nối tri thức
- Giải Chuyên đề học tập Toán 11 Kết nối tri thức
- Giải SBT Toán 11 Kết nối tri thức
- Giải lớp 11 Kết nối tri thức (các môn học)
- Giải lớp 11 Chân trời sáng tạo (các môn học)
- Giải lớp 11 Cánh diều (các môn học)
Tủ sách VIETJACK shopee lớp 10-11 (cả 3 bộ sách):
Đã có app VietJack trên điện thoại, giải bài tập SGK, SBT Soạn văn, Văn mẫu, Thi online, Bài giảng....miễn phí. Tải ngay ứng dụng trên Android và iOS.
Theo dõi chúng tôi miễn phí trên mạng xã hội facebook và youtube:Nếu thấy hay, hãy động viên và chia sẻ nhé! Các bình luận không phù hợp với nội quy bình luận trang web sẽ bị cấm bình luận vĩnh viễn.
- Soạn văn 11 (hay nhất) - KNTT
- Soạn văn 11 (ngắn nhất) - KNTT
- Giải sgk Toán 11 - KNTT
- Giải Tiếng Anh 11 Global Success
- Giải sgk Tiếng Anh 11 Smart World
- Giải sgk Tiếng Anh 11 Friends Global
- Giải sgk Vật Lí 11 - KNTT
- Giải sgk Hóa học 11 - KNTT
- Giải sgk Sinh học 11 - KNTT
- Giải sgk Lịch Sử 11 - KNTT
- Giải sgk Địa Lí 11 - KNTT
- Giải sgk Giáo dục KTPL 11 - KNTT
- Giải sgk Tin học 11 - KNTT
- Giải sgk Công nghệ 11 - KNTT
- Giải sgk Hoạt động trải nghiệm 11 - KNTT
- Giải sgk Giáo dục quốc phòng 11 - KNTT
- Giải sgk Âm nhạc 11 - KNTT


Giải bài tập SGK & SBT
Tài liệu giáo viên
Sách
Khóa học
Thi online
Hỏi đáp

