Tổng hợp lý thuyết Toán 11 Chương 7 Kết nối tri thức
Tổng hợp lý thuyết Toán 11 Chương 7: Quan hệ vuông góc trong không gian sách Kết nối tri thức hay nhất, chi tiết với bài tập có lời giải sẽ giúp học sinh lớp 11 nắm vững kiến thức trọng tâm Toán 11 Chương 7.
Tổng hợp lý thuyết Toán 11 Chương 7 Kết nối tri thức
(199k) Xem Khóa học Toán 11 KNTT
Bài giảng: Bài tập cuối chương 7 - Cô Trần Oanh (Giáo viên VietJack)
Lý thuyết tổng hợp Toán 11 Chương 7
1. Góc giữa hai đường thẳng
Góc giữa hai đường thẳng m và n trong không gian, kí hiệu (m, n), là góc giữa hai đường thẳng a và b cùng đi qua một điểm và tương ứng song song với m và n.
Chú ý
• Để xác định góc giữa hai đường thẳng chéo nhau a và b, ta có thể lấy một điểm O thuộc đường thẳng a và qua đó kẻ đường thẳng b' song song với b.
Khi đó (a, b) = (a, b').
• Với hai đường thẳng a, b bất kì:
2. Hai đường thẳng vuông góc
Hai đường thẳng a, b được gọi là vuông góc với nhau, kí hiệu , nếu góc giữa chúng bằng 90°.
Chú ý. Nếu đường thẳng a vuông góc với đường thẳng b, thì a cũng sẽ vuông góc với mọi đường thẳng song song với b.
3. Đường thẳng vuông góc với mặt phẳng
Đường thẳng ∆ được gọi là vuông góc với mặt phẳng (P) nếu ∆ vuông góc với mọi đường thẳng nằm trong (P).
Chú ý. Khi ∆ vuông góc với (P), ta còn nói (P) vuông góc với ∆ hoặc ∆ và (P) vuông góc với nhau, kí hiệu
Người ta chứng minh được rằng:
Nếu một đường thẳng vuông góc với hai đường thẳng cắt nhau thuộc cùng một mặt phẳng thì nó vuông góc với mặt phẳng đó.
4. Tính chất (đường thẳng vuông góc với mặt phẳng)
Tính chất 1. Có duy nhất một mặt phẳng đi qua một điểm cho trước và vuông góc với một đường thẳng cho trước.
Nhận xét. Nếu ba đường thẳng đôi một phân biệt a, b, c cùng đi qua một điểm O và cùng vuông góc với một đường thẳng ∆ thì ba đường thẳng đó cùng nằm trong mặt phẳng đi qua O và vuông góc với ∆.
Chú ý. Mặt phẳng đi qua trung điểm của đoạn thẳng AB và vuông góc với đường thẳng AB được gọi là mặt phẳng trung trực của đoạn thẳng AB. Mặt phẳng trung trực của đoạn thẳng AB là tập hợp các điểm cách đều hai điểm A, B.
Tính chất 2. Có duy nhất một đường thẳng đi qua một điểm cho trước và vuông góc với một mặt phẳng cho trước.
5. Liên hệ giữa quan hệ song song và quan hệ vuông góc của đường thẳng và mặt phẳng
• Nếu đường thẳng a vuông góc với mặt phẳng (P) thì các đường thẳng song song với a cũng vuông góc với (P).
• Hai đường thẳng phân biệt cùng vuông góc với một mặt phẳng thì song song với nhau.
• Nếu đường thẳng ∆ vuông góc với mặt phẳng (P) thì ∆ cũng vuông góc với các mặt phẳng song song với (P).
• Hai mặt phẳng phân biệt cùng vuông góc với một đường thẳng thì song song với nhau.
• Nếu đường thẳng ∆ vuông góc với mặt phẳng (P) thì ∆ vuông góc với mọi đường thẳng song song với (P).
• Nếu đường thẳng a và mặt phẳng (P) cùng vuông góc với một đường thẳng ∆ thì a nằm trong (P) hoặc song song với (P).
6. Phép chiếu vuông góc
Phép chiếu song song lên mặt phẳng (P) theo phương ∆ vuông góc với (P) được gọi là phép chiếu vuông góc lên mặt phẳng (P).
Chú ý
• Vì phép chiếu vuông góc lên một mặt phẳng là một trường hợp đặc biệt của phép chiếu song song nên nó có mọi tính chất của phép chiếu song song.
• Phép chiếu vuông góc lên mặt phẳng (P) còn được gọi đơn giản là phép chiếu lên mặt phẳng (P). Hình chiếu vuông góc của hình
trên mặt phẳng (P) còn được gọi là hình chiếu của
trên mặt phẳng (P).
Định lí ba đường vuông góc:
Cho đường thẳng a và mặt phẳng (P) không vuông góc với nhau. Khi đó, một đường thẳng b nằm trong mặt phẳng (P) vuông góc với đường thẳng a khi và chỉ khi b vuông góc với hình chiếu vuông góc a' của a trên (P).
Lưu ý: Định lí ba đường vuông góc cho phép chuyển việc kiểm tra tính vuông góc giữa a và b (có thể chéo nhau) sang kiểm tra tính vuông góc giữa b và a' (cùng thuộc mặt phẳng (P)).
7. Góc giữa đường thẳng và mặt phẳng
Nếu đường thẳng a vuông góc với mặt phẳng (P) thì ta nói rằng góc giữa đường thẳng a và mặt phẳng (P) bằng 90°.
Nếu đường thẳng a không vuông góc với mặt phẳng (P) thì góc giữa a và hình chiếu a' của nó trên (P) được gọi là góc giữa đường thẳng a và mặt phẳng (P).
Chú ý. Nếu α là góc giữa đường thẳng a và mặt phẳng (P) thì
Nhận xét. Cho điểm A có hình chiếu H trên mặt phẳng (P). Lấy điểm O thuộc mặt phẳng (P), O không trùng H. Khi đó góc giữa đường thẳng AO và mặt phẳng (P) bằng góc AOH (xem hình dưới).
8. Góc giữa hai mặt phẳng, hai mặt phẳng vuông góc
Cho hai mặt phẳng (P) và (Q). Lấy các đường thẳng a, b tương ứng vuông góc với (P), (Q). Khi đó, góc giữa a và b không phụ thuộc vào vị trí của a, b và được gọi là góc giữa hai mặt phẳng (P) và (Q).
Hai mặt phẳng (P) và (Q) được gọi là vuông góc với nhau nếu góc giữa chúng bằng 90°.
Chú ý. Nếu φ là góc giữa hai mặt phẳng (P) và (Q) thì
Nhận xét. Cho hai mặt phẳng (P) và (Q) cắt nhau theo giao tuyến ∆. Lấy hai đường thẳng m, n tương ứng thuộc (P), (Q) và cùng vuông góc với ∆ tại một điểm O (nói cách khác, lấy một mặt phẳng vuông góc với ∆, cắt (P), (Q) tương ứng theo các giao tuyến m, n). Khi đó, góc giữa (P) và (Q) bằng góc giữa m và n. Đặc biệt, (P) vuông góc với (Q) khi và chỉ khi m vuông góc với n.
9. Điều kiện để hai mặt phẳng vuông góc
Hai mặt phẳng vuông góc với nhau nếu mặt phẳng này chứa một đường thẳng vuông góc với mặt phẳng kia.
10. Tính chất của hai mặt phẳng vuông góc
Với hai mặt phẳng vuông góc với nhau, bất kì đường thẳng nào nằm trong mặt phẳng này mà vuông góc với giao tuyến cũng vuông góc với mặt phẳng kia.
Nhận xét. Cho hai mặt phẳng (P) và (Q) vuông góc với nhau. Mỗi đường thẳng qua điểm O thuộc (P) và vuông góc với mặt phẳng (Q) thì đường thẳng đó thuộc mặt phẳng (P).
Nếu hai mặt phẳng cắt nhau và cùng vuông góc với một mặt phẳng thứ ba thì giao tuyến của chúng vuông góc với mặt phẳng thứ ba đó.
11. Góc nhị diện
Hình gồm hai nửa mặt phẳng (P), (Q) có chung bờ a được gọi là một góc nhị diện, kí hiệu là [P, a, Q]. Đường thẳng a và các nửa mặt phẳng (P), (Q) tương ứng được gọi là cạnh và các mặt của góc nhị diện đó.
Mỗi đường thẳng a trong một mặt phẳng chia mặt phẳng thành hai phần, mỗi phần cùng với a là một nửa mặt phẳng bờ a.
Từ một điểm O bất kì thuộc cạnh a của góc nhị diện [P, a, Q], vẽ các tia Ox, Oy tương ứng thuộc (P), (Q) và vuông góc với a. Góc xOy được gọi là một góc phẳng của góc nhị diện [P, a, Q] (gọi tắt là góc phẳng nhị diện). Số đo của góc xOy không phụ thuộc vào vị trí của O trên a, được gọi là số đo của góc nhị diện [P, a, Q].
Mặt phẳng chứa góc phẳng nhị diện xOy của [P, a, Q] vuông góc với cạnh a.
Chú ý
• Số đo của góc nhị diện có thể nhận giá trị từ 0° đến 180°. Góc nhị diện được gọi là vuông, nhọn, tù nếu nó có số đo tương ứng bằng, nhỏ hơn, lớn hơn 90°.
• Đối với hai điểm M, N không thuộc đường thẳng a, ta kí hiệu [M, a, N] là góc nhị diện có cạnh a và các mặt tương ứng chứa M, N.
• Hai mặt phẳng cắt nhau tạo thành bốn góc nhị diện. Nếu một trong bốn góc nhị diện đó là góc nhị diện vuông thì các góc nhị diện còn lại cũng là góc nhị diện vuông.
12. Một số hình lăng trụ đặc biệt
12.1. Hình lăng trụ đứng
Hình lăng trụ đứng là hình lăng trụ có các cạnh bên vuông góc với mặt đáy.
Hình lăng trụ đứng có các mặt bên là các hình chữ nhật và vuông góc với mặt đáy.
12.2. Hình lăng trụ đều
Hình lăng trụ đều là hình lăng trụ đứng có đáy là đa giác đều.
Hình lăng trụ đều có các mặt bên là các hình chữ nhật có cùng kích thước.
12.3. Hình hộp đứng
Hình hộp đứng là hình lăng trụ đứng, có đáy là hình bình hành.
Hình hộp đứng có các mặt bên là các hình chữ nhật.
12.4. Hình hộp chữ nhật
Hình hộp chữ nhật là hình hộp đứng có đáy là hình chữ nhật.
Hình hộp chữ nhật có các mặt bên là hình chữ nhật. Các đường chéo của hình hộp chữ nhật có độ dài bằng nhau và chúng cắt nhau tại trung điểm của mỗi đường.
12.5. Hình lập phương
Hình lập phương là hình hộp chữ nhật có tất cả các cạnh bằng nhau.
Hình lập phương có các mặt là các hình vuông.
Chú ý. Khi đáy của hình lăng trụ đứng (đều) là tam giác, tứ giác, ngũ giác, ... đôi khi ta cũng tương ứng gọi rõ là hình lăng trụ đứng (đều) tam giác, tứ giác, ngũ giác, ...
13. Hình chóp đều và hình chóp cụt đều
Hình chóp đều
Hình chóp đều là hình chóp có đáy là đa giác đều và các cạnh bên bằng nhau.
Chú ý. Tương tự như đối với hình chóp, khi đáy của hình chóp đều là tam giác đều, hình vuông, ngũ giác đều, ... đôi khi ta cũng gọi rõ chúng tương ứng là hình chóp tam giác đều, tứ giác đều, ngũ giác đều, ...
Một hình chóp là đều khi và chỉ khi đáy của nó là một hình đa giác đều và hình chiếu của đỉnh trên mặt phẳng đáy là tâm của mặt đáy.
• Hình chóp cụt đều
Cho hình chóp đều . Một mặt phẳng không đi qua S và song song với mặt phẳng đáy, cắt các cạnh , tương ứng tại .
Hình gồm các đa giác đều và các hình thang cân , được tạo thành như trên được gọi là một hình chóp cụt đều (nói đơn giản là hình chóp cụt đều được tạo thành từ hình chóp đều sau khi cắt đi hình chóp đều , kí hiệu là .
- Các đa giác đều được gọi là hai mặt đáy, các hình thang , được gọi là các mặt bên của hình chóp cụt đều. Các đoạn thẳng được gọi là các cạnh bên; các cạnh của mặt đáy được gọi là các cạnh đáy của hình chóp cụt đều.
- Đoạn thẳng HK nối hai tâm của đáy được gọi là đường cao của hình chóp cụt đều. Độ dài của đường cao được gọi là chiều cao của hình chóp cụt đều.
14. Khoảng cách
14.1. Khoảng cách từ một điểm đến một đường thẳng, đến một mặt phẳng
• Khoảng cách từ một điểm M đến một đường thẳng a, kí hiệu d(M, a), là khoảng cách giữa M và hình chiếu H của M trên a.
• Khoảng cách từ một điểm M đến một mặt phẳng (P), kí hiệu d(M, (P)), là khoảng cách giữa M và hình chiếu H của M trên (P).
Chú ý. d(M, a) = 0 khi và chỉ khi M ∈ a; d(M, (P)) = 0 khi và chỉ khi M ∈ (P).
Nhận xét. Khoảng cách từ M đến đường thẳng a (mặt phẳng (P)) là khoảng cách nhỏ nhất giữa M và một điểm thuộc a (thuộc (P)).
Chú ý. Khoảng cách từ đỉnh đến mặt phẳng chứa mặt đáy của một hình chóp được gọi là chiều cao của hình chóp đó.
14.2. Khoảng cách giữa các đường thẳng và mặt phẳng song song, giữa hai mặt phẳng song song
• Khoảng cách giữa đường thẳng a và mặt phẳng (P) song song với a, kí hiệu d(a, (P)), là khoảng cách từ một điểm bất kì trên a đến (P).
• Khoảng cách giữa hai mặt phẳng song song (P) và (Q), kí hiệu d((P),(Q)), là khoảng cách từ một điểm bất kì thuộc mặt phẳng này đến mặt phẳng kia.
• Khoảng cách giữa hai đường thẳng song song m và n, kí hiệu d(m, n), là khoảng cách từ một điểm thuộc đường thẳng này đến đường thẳng kia.
Chú ý. Khoảng cách giữa hai đáy của một hình lăng trụ được gọi là chiều cao của hình lăng trụ đó.
14.3. Khoảng cách giữa hai đường thẳng chéo nhau
Đường thẳng ∆ cắt hai đường thẳng chéo nhau a, b và vuông góc với cả hai đường thẳng đó được gọi là đường vuông góc chung của a và b.
Nếu đường vuông góc chung ∆ cắt a, b tương ứng tại M, N thì độ dài đoạn thẳng MN được gọi là khoảng cách giữa hai đường thẳng chéo nhau a, b.
Nhận xét
• Khoảng cách giữa hai đường thẳng chéo nhau bằng khoảng cách giữa một trong hai đường thẳng đó đến mặt phẳng song song với nó và chứa đường thẳng còn lại.
• Khoảng cách giữa hai đường thẳng chéo nhau bằng khoảng cách giữa hai mặt phẳng song song, tương ứng chứa hai đường thẳng đó.
15. Thể tích
Phần không gian được giới hạn bởi hình chóp, hình chóp cụt đều, hình lăng trụ, hình hộp tương ứng được gọi là khối chóp, khối chóp cụt đều, khối lăng trụ, khối hộp. Đỉnh, mặt, cạnh, đường cao của các khối hình đó lần lượt là đỉnh, mặt, cạnh, đường cao của hình chóp, hình chóp cụt đều, hình lăng trụ, hình hộp tương ứng.
• Thể tích của khối chóp có diện tích đáy S và chiều cao h là
• Thể tích của khối chóp cụt đều có diện tích đáy lớn S, diện tích đáy bé S' và chiều cao h là
• Thể tích của khối lăng trụ có diện tích đáy S và chiều cao h là V = S ∙ h.
Nhận xét:
• Thể tích của khối tứ diện bằng một phần ba tích của diện tích một mặt và chiều cao của khối tứ diện ứng với mặt đó.
• Thể tích của khối hộp bằng tích của diện tích một mặt và chiều cao của khối hộp ứng với mặt đó.
Bài tập tổng hợp Toán 11 Chương 7
Bài 1. Cho hình hộp có 6 mặt là hình vuông cạnh bằng a. Gọi M, N lần lượt là trung điểm của cạnh AA' và A'B'. Tính số đo góc giữa hai đường thẳng MN và BD.
Hướng dẫn giải
Gọi P là trung điểm cạnh A'D'.
Vì hình hộp có 6 mặt là hình vuông cạnh bằng a nên là hình lập phương cạnh a, từ đó suy ra
Ta có MN, NP, PM lần lượt là các đường trung bình của các tam giác AA'B', A'B'D', AA'D'. Suy ra và MN // AB', NP // B'D', PM // AD'. Khi đó, tam giác MNP là tam giác đều.
Ta có BD // B'D' và NP // B'D' nên NP // BD.
Suy ra
Bài 2. Cho tứ diện ABCD có tất cả các cạnh bằng nhau. Gọi M, N, K lần lượt là trung điểm của các cạnh AC, BC và AB. Tính góc giữa đường thẳng MN và BD; góc giữa đường thẳng KN và MD.
Hướng dẫn giải
Vì MN // AB nên góc giữa hai đường thẳng MN và BD bằng góc giữa hai đường thẳng AB và BD, mà tam giác ABD là tam giác đều nên góc giữa hai đường thẳng AB và BD bằng 60°.
Do đó
Vì NK // AC nên góc giữa hai đường thẳng NK và MD bằng góc giữa hai đường thẳng AC và MD, mà tam giác ACD là tam giác đều, lại có M là trung điểm của AC nên MD là đường cao của tam giác ACD, do đó góc giữa hai đường thẳng AC và MD bằng 90°.
Do đó
Bài 3. Cho tứ diện ABCD, gọi M và N lần lượt là trung điểm của AC và BD. Biết và CD = 2a. Chứng minh rằng đường thẳng AB vuông góc với đường thẳng CD.
Hướng dẫn giải
Lấy K là trung điểm của cạnh BC, ta có: NK và MK lần lượt là đường trung bình của tam giác BCD và tam giác ABC nên NK = a và
Do đó, suy ra tam giác MNK vuông tại K, hay mà MK // AB và NK // CD nên , hay
Bài 4.Cho hình lăng trụ có tất cả các cạnh bằng nhau. Chứng minh rằng
Hướng dẫn giải
Vì là hình thoi (do các cạnh bằng nhau) nên
là hình bình hành, suy ra
Từ đó ta có
Bài 5. Một chiếc thang có dạng hình thang cân dài 6 m, hai chân thang cách nhau 80 cm, hai ngọn thang cách nhau 60 cm. Thang được dựa vào bờ tường như hình. Tính góc tạo giữa đường thẳng chân tường và cạnh cột thang (tính gần đúng theo đơn vị độ, làm tròn kết quả đến chữ số thập phân thứ hai).
Hướng dẫn giải
Gọi A, B là hai điểm tại hai vị trí chân thang và C, D là hai điểm tại hai vị trí ngọn thang, EF là đường chân tường.
Ta có EF // AB nên
Kẻ CH vuông góc với AB tại H, khi đó
Tam giác ACH vuông tại H nên
Suy ra
Vậy góc tạo giữa đường thẳng chân tường và cạnh cột thang bằng khoảng 89,05o
Bài 6. Cho tứ diện ABCD có ABC và BCD là các tam giác cân tại A và D. Gọi I là trung điểm của BC.
a) Chứng minh rằng
b) Kẻ AH là đường cao của tam giác ADI. Chứng minh rằng
Hướng dẫn giải
a) Tam giác ABC cân tại A và I là trung điểm của BC nên .(1)
Tam giác DCB cân tại D và I là trung điểm của BC nên .(2)
Từ (1) và (2) suy ra , suy ra .
Bài 7. Cho tứ diện ABCD có là tam giác cân tại A. Gọi M là trung điểm của BC. Vẽ tại H.
a) Chứng minh rằng
b) Gọi G, K lần lượt là trọng tâm của tam giác ABC và DBC. Chứng minh rằng
Hướng dẫn giải
Bài 8. Cho hình chóp S.ABCD, ABCD là hình vuông có tâm O và SA = SB = SC = SD.
a) Xác định hình chiếu vuông góc của S trên mặt phẳng (ABCD).
b) Xác định hình chiếu vuông góc của đường thẳng SA trên mặt phẳng (ABCD).
c) Chứng minh BD ⊥ SA.
d) Tìm hình chiếu vuông góc của tam giác SOB trên mặt phẳng (ABCD).
Hướng dẫn giải
a) Vì DSBD, DSAC cân tại S nên ta có
Suy ra O là hình chiếu vuông góc của S trên mặt phẳng (ABCD).
b) Ta có hình chiếu vuông góc của đường thẳng SA trên (ABCD) là OA.
c) Ta có hình chiếu vuông góc của SA trên (ABCD) là OA, mặt khác ta có OA ⊥ BD.
Theo định lí ba đường vuông góc ta suy ra BD ⊥ SA.
d) Hình chiếu vuông góc của S trên (ABCD) là điểm O.
Hình chiếu vuông góc của các điểm O và B trên (ABCD) lần lượt là điểm O và B.
Vậy hình chiếu vuông góc của tam giác SOB trên mặt phẳng (ABCD) là đường thẳng OB.
Bài 9. Cho hình chóp S.ABC có , tam giác ABC vuông tại B, AC = 2a, BC = a, . Tính góc giữa SA và mặt phẳng (SBC).
Hướng dẫn giải
Trong mặt phẳng (SAB) kẻ H∈SB
Vì
Mà (do cách dựng) nên , hay H là hình chiếu của A lên mặt phẳng (SBC), suy ra góc giữa SA và (SBC) là góc giữa hai đường thẳng SA và AH, đây chính là góc ASH hay góc ASB.
Tam giác ABC vuông ở B
Tam giác SAB vuông ở A
Vậy góc giữa SA và mặt phẳng (SBC) bằng 30°.
Bài 10. Cho hình chóp S.ABCD có đáy là hình thoi cạnh a, và . Tính tang góc giữa đường thẳng SC và mặt phẳng (SAD).
Hướng dẫn giải
Xét tam giác ADC cân tại D, có nên tam giác ADC đều.
Kẻ tại I.
Ta có: nên SI là hình chiếu của SC trên mặt phẳng (SAD).
Do đó, góc giữa đường thẳng SC và mặt phẳng (SAD) là góc giữa hai đường thẳng SC và SI, chính là góc CSI.
Ta có: .
Xét vuông tại I có .
Vậy tang góc giữa đường thẳng SC và mặt phẳng (SAD) bằng
Bài 11. Cho hình chóp S.ABCD có đáy ABCD là hình thoi tâm O, cạnh bằng a, góc BAD bằng 60°. Kẻ OH vuông góc với SC tại H. Biết và . Chứng minh rằng:
Hướng dẫn giải
Vì mặt phẳng (SBD) chứa BD nên
b) Ta có nên mà , do đó
Vì mặt phẳng (SBC) chứa SC nên
Do đó, tam giác BDH vuông tại H, suy ra
Ta lại có nên .
Bài 12. Cho hình chóp S.ABC có đáy là tam giác ABC vuông cân tại A và AB = a, biết . Tính góc giữa mặt phẳng (ABC) và mặt phẳng (SBC).
Hướng dẫn giải
Gọi M là trung điểm của cạnh BC, ta có: nên góc giữa hai mặt phẳng (ABC) và (SBC) bằng góc giữa hai đường thẳng AM và SM.
Ta có nên . Xét tam giác SAM vuông tại A, có:
Vậy góc giữa hai mặt phẳng (ABC) và (SBC) bằng 60°.
Bài 13.Cho hình lập phương có cạnh bằng a.
a) Tính côsin của góc giữa hai mặt phẳng (A'BD) và (ABCD).
b) Tính côsin của số đo góc nhị diện [A', BD, C'].
Hướng dẫn giải
a) Gọi O là giao điểm của AC và BD, ta có: nên góc giữa hai mặt phẳng (A'BD) và (ABCD) bằng góc giữa hai đường thẳng AO và A'O.
Mà nên góc giữa hai mặt phẳng (A'BD) và (ABCD) bằng .
Ta có
Suy ra
b) Vì nên góc nhị diện [A', BD, C'] bằng
Bài 14. Cho hình chóp cụt tứ giác đều có đáy lớn ABCD có cạnh bằng 2a, đáy nhỏ có cạnh bằng a và cạnh bên 2a. Tính đường cao của hình chóp cụt và đường cao của mặt bên.
Hướng dẫn giải
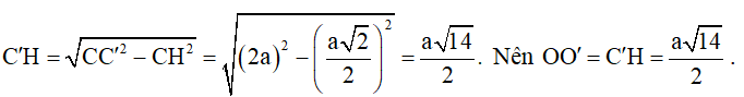
Gọi O và O' lần lượt là tâm của hai đáy và H là hình chiếu của C' trên AC.
Trong hình thang vuông , vẽ đường cao
Ta có: , suy ra .
Trong hình thang , vẽ đường cao .
Ta có
Trong tam giác vuông , ta có:
Bài 15. Cho hình chóp S.ABC có , đáy là tam giác ABC vuông tại B, biết SA = AB = BC = a. Tính theo a khoảng cách:
a) Từ điểm B đến đường thẳng SC.
b) Từ điểm A đến mặt phẳng (SBC).
c) Giữa hai đường thẳng chéo nhau AB và SC.
Hướng dẫn giải
Theo định lí Pythagore, ta tính được
Xét tam giác SBC vuông tại B có đường cao BH.
Xét tam giác SAB vuông tại A có đường cao AK.
Khi đó . Vậy
c) Dựng hình bình hành ABCD, vì tam giác ABC vuông cân tại B nên ABCD là hình vuông.
Vì mặt phẳng (SCD) chứa SC và song song với AB nên
Từ (1) và (2), suy ra d(AB, SC) = AE.
Vì tam giác SAD vuông cân tại A, có đường cao AE nên
Vậy
Bài 16. Cho hình lập phương có cạnh bằng a. Tính theo a khoảng cách:
a) Giữa hai đường thẳng AB và C'D'.
b) Giữa đường thẳng AC và mặt phẳng
c) Từ điểm A đến đường thẳng B'D'.
d) Giữa hai đường thẳng AC và B'D'.
Hướng dẫn giải
a) Vì BC' vuông góc với cả hai đường thẳng AB và C'D' nên
c) Gọi O' là giao điểm của A'C' và B'D', ta có , theo định lí Pythagore, áp dụng cho tam giác vuông tại A'thì .
Bài 17. Cho hình hộp chữ nhật có . Tính theo a khoảng cách:
a) Từ điểm A đến mặt phẳng
b) Giữa hai đường thẳng BD và CD'.
Hướng dẫn giải
a) Kẻ AH vuông góc với BD tại H.
Vì AC cắt BD tại trung điểm của AC nên
Kẻ AK vuông góc với A'H tại K. Khi đó , suy ra
Vậy
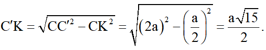
Bài 18. Cho hình lăng trụ có và là hai tam giác đều cạnh a. Biết . Tính theo a thể tích khối lăng trụ
Hướng dẫn giải
Bài 19. Cho tứ diện OABC có OA = OB = OC = a và ; . Tính theo a thể tích khối tứ diện OABC.
Hướng dẫn giải
Ta có: , tam giác ABC vuông tại B. Kẻ OH vuông góc với mặt phẳng (ABC) tại H. Vì OA = OB = OC nên HA = HB = HC, hay H là trung điểm của AC. Xét tam giác OAH vuông tại H, theo định lí Pythagore ta tính được:
Do đó
Bài 20. Cho hình chóp S.ABCD có đáy ABCD là hình thoi tâm O, biết , và khoảng cách từ điểm A đến mặt phẳng (SBC) bằng . Tính theo A thể tích khối chóp S.ABCD.
Hướng dẫn giải
Kẻ OM vuông góc với BC tại M, OH vuông góc với SM tại H, ta chứng minh được . Vì O là trung điểm của AC nên
Tam giác OBC vuông tại O, có và đường cao OM nên
Tam giác SOM vuông tại O, đường cao OH nên , suy ra
Bài 21. Cho hình lập phương có . Tính thể tích của khối lập phương
Hướng dẫn giải
Đường chéo của một hình lập phương là là độ dài cạnh hình lập phương.
Dễ thấy rằng hình lập phương có AC' là đường chéo và cạnh là AB.
Do đó
Vậy thể tích khối lập phương là V = a3.
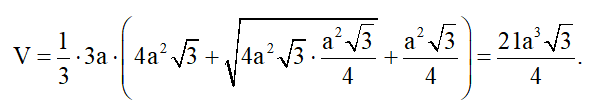
Bài 22. Tính thể tích của khối chóp cụt tam giác đều ABC.A'B'C' có chiều cao bằng 3a,
Hướng dẫn giải
Diện tích tam giác đều ABC là: .
Diện tích tam giác đều A'B'C' là: .
Thể tích khối chóp cụt:
Học tốt Toán 11 Chương 7
Các bài học để học tốt Tổng hợp lý thuyết Toán 11 Chương 7 Toán lớp 11 hay khác:
(199k) Xem Khóa học Toán 11 KNTT
Xem thêm tóm tắt lý thuyết Toán lớp 11 Kết nối tri thức hay, chi tiết khác:
Lý thuyết Toán 11 Bài 28: Biến cố hợp, biến cố giao, biến cố độc lập
Lý thuyết Toán 11 Bài 30: Công thức nhân xác suất cho hai biến cố độc lập
Xem thêm các tài liệu học tốt lớp 11 hay khác:
- Giải sgk Toán 11 Kết nối tri thức
- Giải Chuyên đề học tập Toán 11 Kết nối tri thức
- Giải SBT Toán 11 Kết nối tri thức
- Giải lớp 11 Kết nối tri thức (các môn học)
- Giải lớp 11 Chân trời sáng tạo (các môn học)
- Giải lớp 11 Cánh diều (các môn học)
Tủ sách VIETJACK shopee lớp 10-11 (cả 3 bộ sách):
Đã có app VietJack trên điện thoại, giải bài tập SGK, SBT Soạn văn, Văn mẫu, Thi online, Bài giảng....miễn phí. Tải ngay ứng dụng trên Android và iOS.
Theo dõi chúng tôi miễn phí trên mạng xã hội facebook và youtube:Nếu thấy hay, hãy động viên và chia sẻ nhé! Các bình luận không phù hợp với nội quy bình luận trang web sẽ bị cấm bình luận vĩnh viễn.
s
- Soạn văn 11 (hay nhất) - KNTT
- Soạn văn 11 (ngắn nhất) - KNTT
- Giải sgk Toán 11 - KNTT
- Giải Tiếng Anh 11 Global Success
- Giải sgk Tiếng Anh 11 Smart World
- Giải sgk Tiếng Anh 11 Friends Global
- Giải sgk Vật Lí 11 - KNTT
- Giải sgk Hóa học 11 - KNTT
- Giải sgk Sinh học 11 - KNTT
- Giải sgk Lịch Sử 11 - KNTT
- Giải sgk Địa Lí 11 - KNTT
- Giải sgk Giáo dục KTPL 11 - KNTT
- Giải sgk Tin học 11 - KNTT
- Giải sgk Công nghệ 11 - KNTT
- Giải sgk Hoạt động trải nghiệm 11 - KNTT
- Giải sgk Giáo dục quốc phòng 11 - KNTT
- Giải sgk Âm nhạc 11 - KNTT


Giải bài tập SGK & SBT
Tài liệu giáo viên
Sách
Khóa học
Thi online
Hỏi đáp

