Định nghĩa và ý nghĩa của đạo hàm lớp 11 (Lý thuyết Toán 11 Kết nối tri thức)
Với tóm tắt lý thuyết Toán 11 Bài 31: Định nghĩa và ý nghĩa của đạo hàm sách Kết nối tri thức hay nhất, chi tiết sẽ giúp học sinh lớp 11 nắm vững kiến thức trọng tâm, ôn luyện để học tốt môn Toán 11.
Định nghĩa và ý nghĩa của đạo hàm lớp 11 (Lý thuyết Toán 11 Kết nối tri thức)
(199k) Xem Khóa học Toán 11 KNTT
Bài giảng: Bài 31: Định nghĩa và ý nghĩa của đạo hàm - Cô Trần Oanh (Giáo viên VietJack)
Lý thuyết Định nghĩa và ý nghĩa của đạo hàm
1. Một số bài toán dẫn đến khái niệm đạo hàm
Bài toán 1. Vận tốc tức thời của một vật chuyển động thẳng
Một vật di chuyển trên một đường thẳng. Quãng đường s của chuyển động là một hàm số của thời gian t, s = s(t) (được gọi là phương trình của chuyển động).
Vận tốc trung bình của vật trong khoảng thời gian từ t0 đến t là .
Bài toán 2. Cường độ tức thời
Điện lượng Q truyền trong dây dẫn là một hàm số của thời gian t, có dạng Q = Q(t).
Cường độ trung bình của dòng điện trong khoảng thời gian từ t0 đến t là
Nhận xét. Nhiều bài toán trong Vật lí, Hoá học, Sinh học, ... đưa đến Víệc tìm giới hạn dạng
ở đó y = f(x) là một hàm số đã cho.
Giới hạn trên dẫn đến một khái niệm quan trọng trong Toán học, đó là khái niệm đạo hàm.
2. Đạo hàm của hàm số tại một điểm
Cho hàm số y = f(x) xác định trên khoảng (a; b) và điểm
Nếu tồn tại giới hạn hữu hạn
thì giới hạn đó được gọi là đạo hàm của hàm số y = f(x) tại điểm x0, kí hiệu bởi (hoặc , tức là
Chú ý. Để tính đạo hàm của hàm số y = f(x) tại điểm , ta thực hiện theo các bước sau:
1. Tính
2. Lập và rút gọn tỉ số với
3. Tìm giới hạn
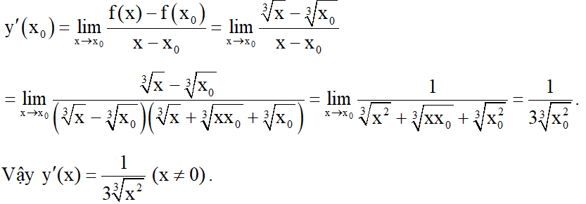
Ví dụ 1. Tính đạo hàm của hàm số tại điểm
Hướng dẫn giải
Tập xác định của hàm số là
3. Đạo hàm của hàm số trên một khoảng
Hàm số y = f(x) được gọi là có đạo hàm trên khoảng (a; b) nếu nó có đạo hàm tại mọi điểm x thuộc khoảng đó, kí hiệu là
Lưu ý:
Chú ý. Nếu phương trình chuyển động của vật là s = f(t) thì là vận tốc tức thời của vật tại thời điểm t.
Ví dụ 2. Cho hàm số . Chứng minh rằng
Hướng dẫn giải
Với , ta có:
4. Ý nghĩa hình học của đạo hàm
4.1. Tiếp tuyến của đồ thị hàm số
Chú ý: Hệ số góc của đường thẳng đi qua hai điểm và , với , là .
Tiếp tuyến của đồ thị hàm số y = f(x) tại điểm là đường thẳng đi qua P với hệ số góc nếu giới hạn này tồn tại và hữu hạn, nghĩa là . Điểm P gọi là tiếp điểm.
Nhận xét. Hệ số góc của tiếp tuyến của đồ thị hàm số y = f(x) tại điểm là đạo hàm .
Ví dụ 3. Tìm hệ số góc của tiếp tuyến của parabol y = x2 tại điểm có hoành độ .
Hướng dẫn giải
Ta có
Hệ số góc tiếp tuyến của parabol y = x2 tại điểm có hoành độ là
Chú ý: Có thể sử dụng công thức đạo hàm , ta tìm được .
4.2. Phương trình tiếp tuyến
Từ ý nghĩa hình học của đạo hàm, ta rút ra kết luận sau:
Nếu hàm số y = f(x) có đạo hàm tại điểm x0 thì phương trình tiếp tuyến của đồ thị hàm số tại điểm là , trong đó .
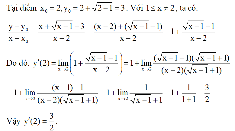
Ví dụ 4. Cho hàm số .
a) Bằng định nghĩa, hãy tính đạo hàm của hàm số đã cho tại điểm
b) Viết phương trình tiếp tuyến của đồ thị hàm số tại điểm
Hướng dẫn giải
Bài tập Định nghĩa và ý nghĩa của đạo hàm
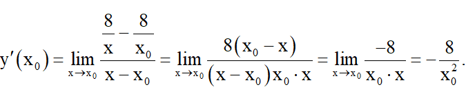
Bài 1. Dùng định nghĩa để tính đạo hàm của các hàm số sau:
a)
b) với
Hướng dẫn giải
a) Với bất kì , ta có:
Bài 2. Chứng minh rằng hàm số f(x) = |x – 2| không có đạo hàm tại điểm x0 = 2, nhưng có đạo hàm tại mọi điểm x ≠ 2.
Hướng dẫn giải
+ Với x > 2, ta có: f(x) = |x – 2| = x – 2.
Đạo hàm của hàm số f(x) = |x – 2| tại điểm x > 2 là 1.
+ Với x < 2, ta có: f(x) = |x – 2| = 2 – x.
Đạo hàm của hàm số f(x) = |x – 2| tại điểm x < 2 là –1.
+ Ta có f(x) – f(2) = |x – 2| – |2 – 2| = |x – 2|.
Với x ≠ 2, ta có
Do đó, không tồn tại
Vậy hàm số f(x) = |x – 2| không có đạo hàm tại điểm x0 = 2, nhưng có đạo hàm tại mọi điểm x ≠ 2.
Bài 3. Một viên đạn được bắn lên cao theo phương trình trong đó t>0, t tính bằng giây kể từ thời điểm viên đạn được bắn lên cao và s(t) là khoảng cách của viên đạn so với mặt đất được tính bằng mét. Tại thời điểm vận tốc của viên đạn bằng 0 thì viên đạn cách mặt đất bao nhiêu mét?
Hướng dẫn giải
Ta tính được
Vận tốc của viên đạn
Khi đó viên đạn cách mặt đất một khoảng
Bài 4. Cho hàm số
a) Tính đạo hàm của hàm số tại điểm x0 bất kì
b) Viết phương trình tiếp tuyến của đồ thị hàm số tại điểm có hoành độ
Hướng dẫn giải
a) Với bất kì, ta có:
b) Với ta có và . Phương trình tiếp tuyến của đồ thị hàm số tại điểm có hoành độ là:
y - 4= - 2(x-2) = -2x + 4 hay y =-2x + 8
Học tốt Định nghĩa và ý nghĩa của đạo hàm
Các bài học để học tốt Định nghĩa và ý nghĩa của đạo hàm Toán lớp 11 hay khác:
(199k) Xem Khóa học Toán 11 KNTT
Xem thêm tóm tắt lý thuyết Toán lớp 11 Kết nối tri thức hay, chi tiết khác:
Xem thêm các tài liệu học tốt lớp 11 hay khác:
- Giải sgk Toán 11 Kết nối tri thức
- Giải Chuyên đề học tập Toán 11 Kết nối tri thức
- Giải SBT Toán 11 Kết nối tri thức
- Giải lớp 11 Kết nối tri thức (các môn học)
- Giải lớp 11 Chân trời sáng tạo (các môn học)
- Giải lớp 11 Cánh diều (các môn học)
Tủ sách VIETJACK shopee lớp 10-11 (cả 3 bộ sách):
Đã có app VietJack trên điện thoại, giải bài tập SGK, SBT Soạn văn, Văn mẫu, Thi online, Bài giảng....miễn phí. Tải ngay ứng dụng trên Android và iOS.
Theo dõi chúng tôi miễn phí trên mạng xã hội facebook và youtube:Nếu thấy hay, hãy động viên và chia sẻ nhé! Các bình luận không phù hợp với nội quy bình luận trang web sẽ bị cấm bình luận vĩnh viễn.
- Soạn văn 11 (hay nhất) - KNTT
- Soạn văn 11 (ngắn nhất) - KNTT
- Giải sgk Toán 11 - KNTT
- Giải Tiếng Anh 11 Global Success
- Giải sgk Tiếng Anh 11 Smart World
- Giải sgk Tiếng Anh 11 Friends Global
- Giải sgk Vật Lí 11 - KNTT
- Giải sgk Hóa học 11 - KNTT
- Giải sgk Sinh học 11 - KNTT
- Giải sgk Lịch Sử 11 - KNTT
- Giải sgk Địa Lí 11 - KNTT
- Giải sgk Giáo dục KTPL 11 - KNTT
- Giải sgk Tin học 11 - KNTT
- Giải sgk Công nghệ 11 - KNTT
- Giải sgk Hoạt động trải nghiệm 11 - KNTT
- Giải sgk Giáo dục quốc phòng 11 - KNTT
- Giải sgk Âm nhạc 11 - KNTT


Giải bài tập SGK & SBT
Tài liệu giáo viên
Sách
Khóa học
Thi online
Hỏi đáp

