Các quy tắc tính đạo hàm lớp 11 (Lý thuyết Toán 11 Kết nối tri thức)
Với tóm tắt lý thuyết Toán 11 Bài 32: Các quy tắc tính đạo hàm sách Kết nối tri thức hay nhất, chi tiết sẽ giúp học sinh lớp 11 nắm vững kiến thức trọng tâm, ôn luyện để học tốt môn Toán 11.
Các quy tắc tính đạo hàm lớp 11 (Lý thuyết Toán 11 Kết nối tri thức)
(199k) Xem Khóa học Toán 11 KNTT
Bài giảng: Bài 32: Các quy tắc tính đạo hàm - Cô Trần Oanh (Giáo viên VietJack)
Lý thuyết Các quy tắc tính đạo hàm
1. Đạo hàm của một số hàm số thường gặp
1.1. Đạo hàm của hàm số y = xn (n ∈ ℕ*)
Hàm số có đạo hàm trên và
1.2. Đạo hàm của hàm số y =
Hàm số có đạo hàm trên khoảng và
2. Đạo hàm của tổng, hiệu, tích, thương
Giả sử các hàm số u = u(x), v = v(x) có đạo hàm trên khoảng (a; b). Khi đó
Chú ý
• Quy tắc đạo hàm của tổng, hiệu có thể áp dụng cho tổng, hiệu của hai hay nhiều hàm số.
• Với k là một hằng số, ta có:
• Đạo hàm của hàm số nghịch đảo:
Ví dụ 1. Tìm đạo hàm các hàm số
Hướng dẫn giải
3. Đạo hàm của hàm số hợp
3.1. Khái niệm hàm số hợp
Giả sử u = g(x) là hàm số xác định trên khoảng (a; b), có tập giá trị chứa trong khoảng (c; d) và y = f(u) là hàm số xác định trên khoảng (c; d). Hàm số y = f(g(x)) được gọi là hàm số hợp của hàm số y = f(u) với u = g(x).
3.2. Đạo hàm của hàm số hợp
Nếu hàm số u = g(x) có đạo hàm tại x và hàm số y = f(u) có đạo hàm tại u thì hàm số hợp y = f(g(x)) có đạo hàm tại x là
Ví dụ 2. Tìm đạo hàm của các hàm số sau:
a) b)
Hướng dẫn giải
4. Đạo hàm của hàm số lượng giác
4.1. Đạo hàm của hàm số y = sin x
• Hàm số y = sin x có đạo hàm trên và
• Đối với hàm số hợp y = sin u, với u = u(x), ta có:
4.2. Đạo hàm của hàm số y = cos x
• Hàm số y = cos x có đạo hàm trên và
• Đối với hàm số hợp y = cos u, với u = u(x), ta có:
Ví dụ 3. Tìm đạo hàm của các hàm số sau:
a)
b)
Hướng dẫn giải
4.3. Đạo hàm của các hàm số y = tan x và y = cot x
• Hàm số y = tan x có đạo hàm tại mọi và
• Hàm số y = cot x có đạo hàm tại mọi và
• Đối với các hàm số hợp y = tan u và y = cot u, với u = u(x), ta có
(giả thiết tan u và cot u có nghĩa).
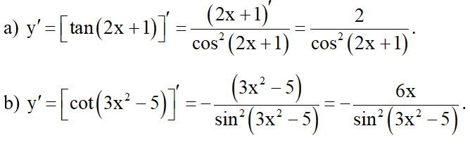
Ví dụ 4. Tìm đạo hàm của các hàm số sau:
Hướng dẫn giải
5. Đạo hàm của hàm số mũ và hàm số lôgarit
5.1. Giới hạn liên quan đến hàm số mũ và hàm số lôgarit
Chú ý:
•
•
Nhận xét. Ta có các giới hạn sau:
5.2. Đạo hàm của hàm số mũ
• Hàm số có đạo hàm trên và
Đối với hàm số hợp , với u = u(x), ta có:
• Hàm số có đạo hàm trên và
Đối với hàm số hợp , với u = u(x), ta có:
5.3. Đạo hàm của hàm số lôgarit
• Hàm số y = ln x có đạo hàm trên khoảng và
Đối với hàm số hợp y = ln u, với u = u(x), ta có:
• Hàm số có đạo hàm trên khoảng và
Đối với hàm số hợp , với u = u(x), ta có:
Chú ý. Với x < 0, ta có: và . Từ đó ta có:
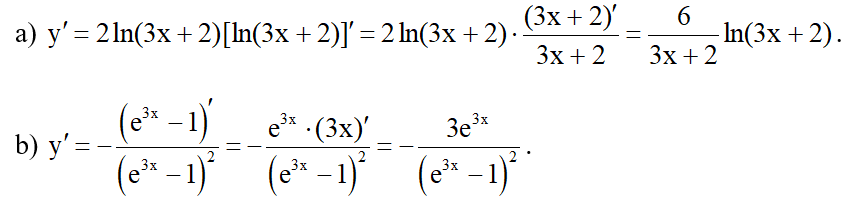
Ví dụ 5. Tính đạo hàm của các hàm số sau:
a)
b)
Hướng dẫn giải
Bài tập Các quy tắc tính đạo hàm
Bài 1. Tìm đạo hàm của các hàm số sau:
a) b)
Hướng dẫn giải
Bài 2. Tính đạo hàm của các hàm số sau:
a) với x>0 ;
b) .
Hướng dẫn giải
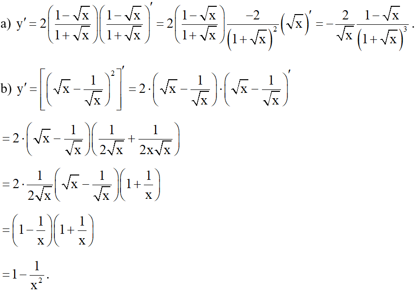
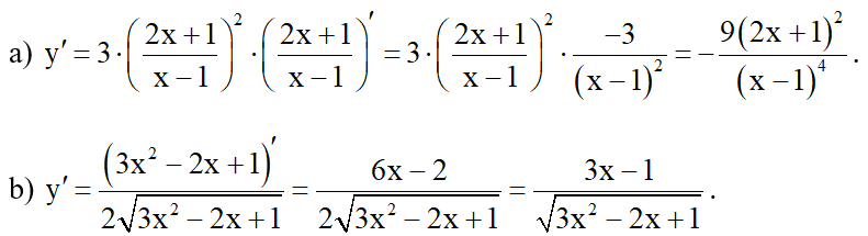
Bài 3. Tính đạo hàm của các hàm số sau:
a)
b)
Hướng dẫn giải
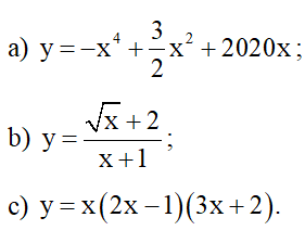
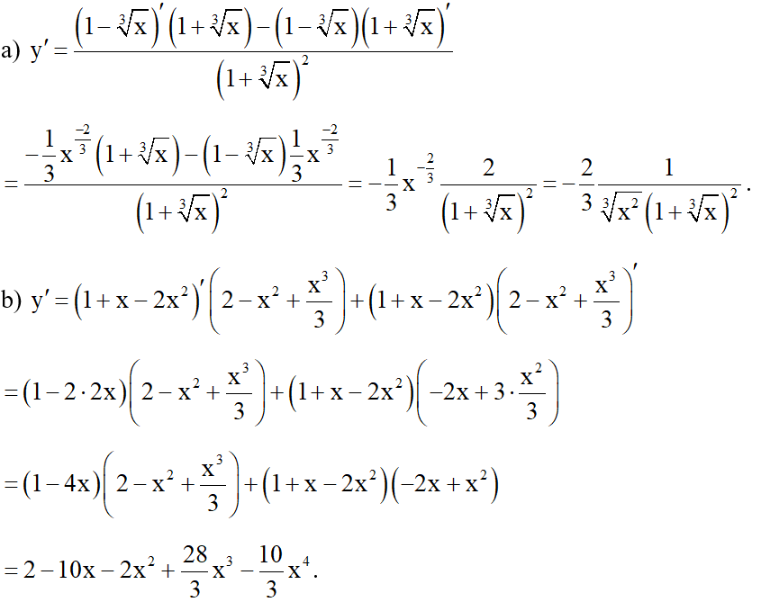
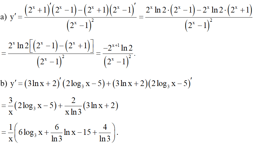
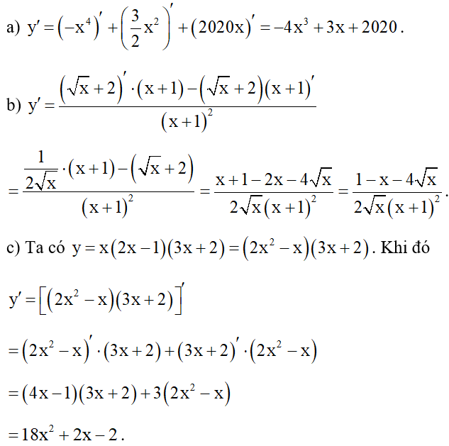
Bài 4. Tính đạo hàm của các hàm số sau:
a)
b)
Hướng dẫn giải
Bài 5. Tính đạo hàm của mỗi hàm số sau tại điểm
a)
b)
Hướng dẫn giải
a)
Đạo hàm của hàm số f(x) tại điểm là:
Bài 6. Một chất điểm chuyển động theo phương trình , trong đó t>0, t tính bằng giây, s(t) tính bằng centimét. Tính vận tốc tức thời của chất điểm tại thời điểm
Hướng dẫn giải
Vận tốc tức thời của chất điểm tại thời điểm t (s) là:
Vậy vận tốc tức thời của chất điểm tại thời điểm là:
Học tốt Các quy tắc tính đạo hàm
Các bài học để học tốt Các quy tắc tính đạo hàm Toán lớp 11 hay khác:
(199k) Xem Khóa học Toán 11 KNTT
Xem thêm tóm tắt lý thuyết Toán lớp 11 Kết nối tri thức hay, chi tiết khác:
Xem thêm các tài liệu học tốt lớp 11 hay khác:
- Giải sgk Toán 11 Kết nối tri thức
- Giải Chuyên đề học tập Toán 11 Kết nối tri thức
- Giải SBT Toán 11 Kết nối tri thức
- Giải lớp 11 Kết nối tri thức (các môn học)
- Giải lớp 11 Chân trời sáng tạo (các môn học)
- Giải lớp 11 Cánh diều (các môn học)
Tủ sách VIETJACK shopee lớp 10-11 (cả 3 bộ sách):
Đã có app VietJack trên điện thoại, giải bài tập SGK, SBT Soạn văn, Văn mẫu, Thi online, Bài giảng....miễn phí. Tải ngay ứng dụng trên Android và iOS.
Theo dõi chúng tôi miễn phí trên mạng xã hội facebook và youtube:Nếu thấy hay, hãy động viên và chia sẻ nhé! Các bình luận không phù hợp với nội quy bình luận trang web sẽ bị cấm bình luận vĩnh viễn.
- Soạn văn 11 (hay nhất) - KNTT
- Soạn văn 11 (ngắn nhất) - KNTT
- Giải sgk Toán 11 - KNTT
- Giải Tiếng Anh 11 Global Success
- Giải sgk Tiếng Anh 11 Smart World
- Giải sgk Tiếng Anh 11 Friends Global
- Giải sgk Vật Lí 11 - KNTT
- Giải sgk Hóa học 11 - KNTT
- Giải sgk Sinh học 11 - KNTT
- Giải sgk Lịch Sử 11 - KNTT
- Giải sgk Địa Lí 11 - KNTT
- Giải sgk Giáo dục KTPL 11 - KNTT
- Giải sgk Tin học 11 - KNTT
- Giải sgk Công nghệ 11 - KNTT
- Giải sgk Hoạt động trải nghiệm 11 - KNTT
- Giải sgk Giáo dục quốc phòng 11 - KNTT
- Giải sgk Âm nhạc 11 - KNTT


Giải bài tập SGK & SBT
Tài liệu giáo viên
Sách
Khóa học
Thi online
Hỏi đáp

