13 Bài tập trắc nghiệm Toán 8 Chân trời sáng tạo Chương 1 (có đáp án)
Với 13 bài tập trắc nghiệm tổng hợp Toán lớp 8 Chương 1: Biểu thức đại số có đáp án và lời giải chi tiết đầy đủ các mức độ, có đúng sai, trả lời ngắn sách Chân trời sáng tạo sẽ giúp học sinh ôn luyện trắc nghiệm để biết cách làm các dạng bài tập Toán 8.
13 Bài tập trắc nghiệm Toán 8 Chân trời sáng tạo Chương 1 (có đáp án)
Phần I. Trắc nghiệm nhiều phương án lựa chọn
Câu 1. Tích có kết quả bằng
A.
B.
C.
D.
Câu 2. Điền vào chỗ trống: .
A.
B.
C.
D.
Câu 3. Rút gọn biểu thức được kết quả là
A.
B.
C. 0.
D.
Câu 4. Giá trị của đa thức tại là
A. 122
B. 144
C. 120
D. 100
Câu 5. Cho . Kết quả của x bằng:
A.
B.
C. 1.
D.
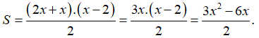
Câu 6. Cho hình thang có đáy lớn gấp đôi đảy nhỏ, đáy nhỏ lớn hơn chiều cao 2 đơn vị. Biểu thức biểu diễn diện tích hình thang đó là
A.
B.
C.
D.
Câu 7. Trong các cặp phân thức sau cặp phân thức nào bằng nhau?
A. và .
B. và
C. và
D. và
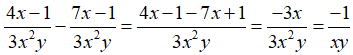
Câu 8. Kết quả của phép tính là
A.
B.
C.
D.
Câu 9. Thương của phép chia là
A.
B.
C.
D.
Câu 10. Giá trị của phân thức tại là
A.
B.
C.
D.
Phần II. Trắc nghiệm đúng, sai
Câu hỏi. Một bức tường hình thang có cửa số hình tròn với các kích thước như hình dưới đây. (Đơn vị: mét, lấy )
a) Diện tích toàn bộ bức tường là .
b) Diện tích phần cửa kính hình tròn là .
c) Biểu thức biểu thị diện tích bức tường không tính phần cửa sổ là .
d) Khi thì diện tích bức tường hình thang lớn hơn 7 (m2).
Phần III. Trắc nghiệm trả lời ngắn
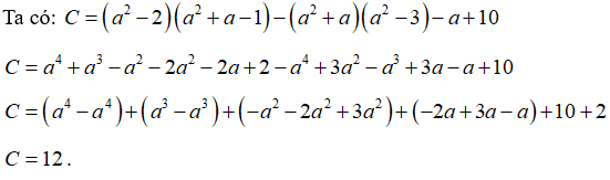
Câu 1. Tính giá trị của biểu thức.
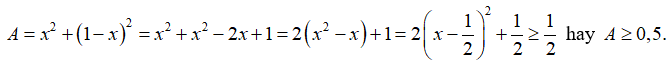
Câu 2. Cho Tìm giá trị nhỏ nhất của biểu thức . (Kết quả ghi dưới dạng số thập phân)
Xem thêm bài tập trắc nghiệm Toán lớp 8 Chân trời sáng tạo có đáp án hay khác:
Xem thêm các tài liệu học tốt lớp 8 hay khác:
- Giải sgk Toán 8 Chân trời sáng tạo
- Giải SBT Toán 8 Chân trời sáng tạo
- Giải lớp 8 Chân trời sáng tạo (các môn học)
- Giải lớp 8 Kết nối tri thức (các môn học)
- Giải lớp 8 Cánh diều (các môn học)
Tủ sách VIETJACK shopee lớp 6-8 (2025):
Đã có app VietJack trên điện thoại, giải bài tập SGK, SBT Soạn văn, Văn mẫu, Thi online, Bài giảng....miễn phí. Tải ngay ứng dụng trên Android và iOS.
Theo dõi chúng tôi miễn phí trên mạng xã hội facebook và youtube:Loạt bài Giải bài tập Toán 8 hay nhất, chi tiết của chúng tôi được biên soạn bám sát sgk Toán 8 Chân trời sáng tạo (Tập 1 & Tập 2) (NXB Giáo dục).
Nếu thấy hay, hãy động viên và chia sẻ nhé! Các bình luận không phù hợp với nội quy bình luận trang web sẽ bị cấm bình luận vĩnh viễn.
- Soạn văn 8 (hay nhất) - CTST
- Soạn văn 8 (ngắn nhất) - CTST
- Giải sgk Toán 8 - CTST
- Giải Tiếng Anh 8 Global Success
- Giải sgk Tiếng Anh 8 Smart World
- Giải sgk Tiếng Anh 8 Friends plus
- Giải sgk Khoa học tự nhiên 8 - CTST
- Giải sgk Lịch Sử 8 - CTST
- Giải sgk Địa Lí 8 - CTST
- Giải sgk Giáo dục công dân 8 - CTST
- Giải sgk Tin học 8 - CTST
- Giải sgk Công nghệ 8 - CTST
- Giải sgk Hoạt động trải nghiệm 8 - CTST
- Giải sgk Âm nhạc 8 - CTST


Giải bài tập SGK & SBT
Tài liệu giáo viên
Sách
Khóa học
Thi online
Hỏi đáp

