Chuyên đề bồi dưỡng HSG Toán 7 Chứng minh chia hết và tìm chữ số tận cùng (có lời giải)
Bài viết Chuyên đề bồi dưỡng HSG Toán 7 Chứng minh chia hết và tìm chữ số tận cùng với bài tập tự luận, câu hỏi trắc nghiệm đúng sai, câu hỏi trả lời ngắn có lời giải chi tiết giúp Giáo viên có thêm tài liệu giảng dạy Toán 7.
Chuyên đề bồi dưỡng HSG Toán 7 Chứng minh chia hết và tìm chữ số tận cùng (có lời giải)
Chỉ từ 250k mua trọn Chuyên đề bồi dưỡng HSG Toán 7 bản word có lời giải chi tiết:
- B1: gửi phí vào tk:
1133836868- CT TNHH DAU TU VA DV GD VIETJACK - Ngân hàng MB (QR) - B2: Nhắn tin tới Zalo VietJack Official - nhấn vào đây để thông báo và nhận giáo án
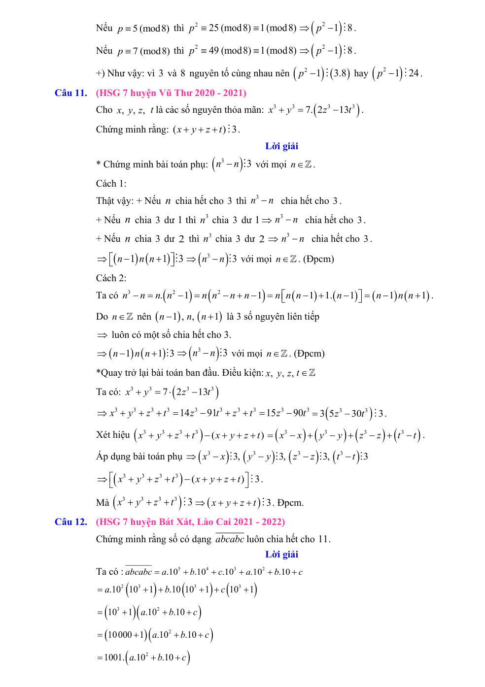
Dạng 1: Chứng minh chia hết
A. Trắc nghiệm
Câu 1. (HSG 7 huyện Thanh Thủy 2021 - 2022)
Cho , khẳng định nào sau đây đúng?
A. .
B. là số chính phương.
C. .
D. .
Lời giải
Chọn C
Ta có:
Suy ra:
Vậy: .
Câu 2. (HSG 7 huyện Hưng Hà, tỉnh Thái Bình, trường Nguyễn Tông Quai, 2022 - 2023)
Một số tự nhiên a, sao cho a chia cho 3 dư 2, chia cho 5 dư 3, chia cho 7 dư 4. Khi 105 chia cho có số dư là:
A. 100.
B. 53.
C. 52.
D. 10 .
Lời giải
Chọn B
Vì a chia cho 3 dư 2, chia cho 5 dư 3, chia cho 7 dư 4 nên
là bội của
hay chia có số dư là .
................................
................................
................................
Xem thêm các Chuyên đề bài tập bồi dưỡng Học sinh giỏi Toán 7 có đáp án hay khác:
- Chuyên đề: Thực hiện phép tính
- Chuyên đề: Tìm ẩn chưa biết
- Chuyên đề: Lũy thừa với số mũ tự nhiên
- Chuyên đề: Số nguyên tố và hợp số
- Chuyên đề: Các bài toán về số chính phương
- Chuyên đề: Đa thức
- Chuyên đề: Biểu đồ và xác suất
- Chuyên đề: Các dạng toán về phân số
- Chuyên đề: Tỷ lệ thức và dãy tỷ số bằng nhau
- Chuyên đề: Chứng minh bất đẳng thức, tìm GTLN, GTNN
- Chuyên đề: Đồng dư thức
- Chuyên đề: Nguyên lý Dirichlet
- Chuyên đề: Hình học
Lời giải bài tập lớp 7 sách mới:
- Giải bài tập Lớp 7 Kết nối tri thức
- Giải bài tập Lớp 7 Chân trời sáng tạo
- Giải bài tập Lớp 7 Cánh diều
Đã có app VietJack trên điện thoại, giải bài tập SGK, SBT Soạn văn, Văn mẫu, Thi online, Bài giảng....miễn phí. Tải ngay ứng dụng trên Android và iOS.
Theo dõi chúng tôi miễn phí trên mạng xã hội facebook và youtube:Loạt bài Lý thuyết - Bài tập Toán lớp 7 có đầy đủ Lý thuyết và các dạng bài có lời giải chi tiết được biên soạn bám sát nội dung chương trình sgk Đại số 7 và Hình học 7.
Nếu thấy hay, hãy động viên và chia sẻ nhé! Các bình luận không phù hợp với nội quy bình luận trang web sẽ bị cấm bình luận vĩnh viễn.
- Giải Tiếng Anh 7 Global Success
- Giải Tiếng Anh 7 Friends plus
- Giải sgk Tiếng Anh 7 Smart World
- Giải Tiếng Anh 7 Explore English
- Lớp 7 - Kết nối tri thức
- Soạn văn 7 (hay nhất) - KNTT
- Soạn văn 7 (ngắn nhất) - KNTT
- Giải sgk Toán 7 - KNTT
- Giải sgk Khoa học tự nhiên 7 - KNTT
- Giải sgk Lịch Sử 7 - KNTT
- Giải sgk Địa Lí 7 - KNTT
- Giải sgk Giáo dục công dân 7 - KNTT
- Giải sgk Tin học 7 - KNTT
- Giải sgk Công nghệ 7 - KNTT
- Giải sgk Hoạt động trải nghiệm 7 - KNTT
- Giải sgk Âm nhạc 7 - KNTT
- Lớp 7 - Chân trời sáng tạo
- Soạn văn 7 (hay nhất) - CTST
- Soạn văn 7 (ngắn nhất) - CTST
- Giải sgk Toán 7 - CTST
- Giải sgk Khoa học tự nhiên 7 - CTST
- Giải sgk Lịch Sử 7 - CTST
- Giải sgk Địa Lí 7 - CTST
- Giải sgk Giáo dục công dân 7 - CTST
- Giải sgk Công nghệ 7 - CTST
- Giải sgk Tin học 7 - CTST
- Giải sgk Hoạt động trải nghiệm 7 - CTST
- Giải sgk Âm nhạc 7 - CTST
- Lớp 7 - Cánh diều
- Soạn văn 7 (hay nhất) - Cánh diều
- Soạn văn 7 (ngắn nhất) - Cánh diều
- Giải sgk Toán 7 - Cánh diều
- Giải sgk Khoa học tự nhiên 7 - Cánh diều
- Giải sgk Lịch Sử 7 - Cánh diều
- Giải sgk Địa Lí 7 - Cánh diều
- Giải sgk Giáo dục công dân 7 - Cánh diều
- Giải sgk Công nghệ 7 - Cánh diều
- Giải sgk Tin học 7 - Cánh diều
- Giải sgk Hoạt động trải nghiệm 7 - Cánh diều
- Giải sgk Âm nhạc 7 - Cánh diều


Giải bài tập SGK & SBT
Tài liệu giáo viên
Sách
Khóa học
Thi online
Hỏi đáp

