Trắc nghiệm Vật Lí 11 Chân trời sáng tạo Bài 17 (có đáp án): Điện trở. Định luật Ohm
Với 15 câu hỏi trắc nghiệm Vật Lí 11 Bài 17: Điện trở. Định luật Ohm có đáp án chi tiết đầy đủ các mức độ, có đúng sai, trả lời ngắn sách Chân trời sáng tạo sẽ giúp học sinh lớp 11 ôn luyện trắc nghiệm Vật Lí 11.
Trắc nghiệm Vật Lí 11 Chân trời sáng tạo Bài 17 (có đáp án): Điện trở. Định luật Ohm
Phần I. Trắc nghiệm nhiều lựa chọn
Câu 1. Đặt hiệu điện thế 6 V vào hai đầu điện trở 3Ω. Cường độ dòng điện chạy qua điện trở là
A. 0,5 A.
B. 6 A.
C. 2 A.
D. 3 A.
Câu 2. Đặt một hiệu điện thế 12 V vào giữa hai đầu một điện trở 4,0Ω thì lượng điện tích chạy qua điện trở trong mỗi giây là
A. 3 C.
B. 4 C.
C. 12 C.
D. 48 C.
Câu 3. Ở hình vẽ, khi hiệu điện thế U tăng, phát biểu nào sau đây đúng?
A. Điện trở của diode tăng.
B. Điện trở của dây kim loại giảm.
C. Điện trở của diode giảm.
D. Điện trở của dây kim loại tăng.
Câu 4. Một dây dẫn kim loại có điện trở R được cắt thành ba đoạn bằng nhau rồi tết lại với nhau để tạo thành một dây dẫn mới có chiều dài bằng 1/3 chiều dài ban đầu. Điện trở của dây mới này có giá trị là
A. 3R.
B. R/9.
C. R/3.
D. 9R.
Câu 5. Cho mạch điện như hình vẽ, các điện trở R đều bằng nhau. Điện trở tương đương giữa M và N là
A. R/2.
B. R.
C. 2R.
D. 4R.
Câu 6: So sánh đèn sợi đốt và điện trở nhiệt thuận. Phát biểu nào sau đây là đúng?
A. Điện trở của cả hai đều tăng nhanh theo nhiệt độ.
B. Điện trở của cả hai đều tăng chậm theo nhiệt độ.
C. Điện trở đèn sợi đốt tăng nhanh hơn so với điện trở nhiệt thuận.
D. Điện trở đèn sợi đốt tăng chậm hơn so với điện trở nhiệt thuận.
Câu 7: Điện trở của một đèn sợi đốt tăng theo nhiệt độ vì
A. mật độ electron dẫn giảm.
B. mật độ electron dẫn tăng.
C. sự tán xạ với các electron dẫn bởi ion ở nút mạng tăng.
D. sự tán xạ với các electron dẫn bởi ion ở nủt mạng giảm.
Câu 8. Phát biểu nào sau đây sai.
A. Điện trở có vạch màu là căn cứ để xác định trị số.
B. Đối với điện trở nhiệt có hệ số dương, khi nhiệt độ tăng thì điện trở tăng.
C. Đối với điện trở biến đổi theo điện áp, khi U tăng thì điện trở tăng.
D. Đối với điện trở quang, khi ánh sáng thích hợp rọi vào thì điện trở giảm.
Câu 9. Biến trở là
A. điện trở có thể thay đổi trị số và dùng để điều chỉnh chiều dòng điện trong mạch.
B. điện trở' có thể thay đổi trị số và dùng để điều chỉnh cường độ và chiều dòng điện trong mạch.
C. điện trở có thể thay đổi trị số và dùng để điều chỉnh cường độ dòng điện trong mạch.
D. điện trở không thay đổi trị số và dùng để điều chỉnh cường độ dòng điện trong mạch.
Câu 10. Cường độ dòng điện chạy qua dây dẫn tỉ lệ thuận với hiệu điện thế giữa hai đầu dây dẫn. Nếu tăng hiệu điện thế lên 1,6 lần thì
A. cường độ dòng điện tăng 3,2 lần.
B. cường độ dòng điện giảm 3,2 lần.
C. cường độ dòng điện giảm 1,6 lần.
D. cường độ dòng điện tăng 1,6 lần.
Câu 11. Từ đồ thị biểu diễn sự phụ thuộc của cường độ dòng điện vào hiệu điện thế đối với hai điện trở R1,R2 trong hình vẽ. Điện trở R1,R2 có giá trị là
A. .
B. .
C. .
D. .
Câu 12. Muốn đo hiệu điện thế giữa hai cực của một nguồn điện, nhưng không có vôn kế, một học sinh đã sử dụng một ampe kế và một điện trở có giá trị mắc nối tiếp nhau sau, đó mắc vào nguồn điện, biết ampe kế chỉ 1,2A. Hiệu điện thế giữa hai cực nguồn điện có giá trị bằng bao nhiêu?
A. 120 V.
B. 50 V.
C. 12 V.
D. 60 V.
Phần II. Câu trắc nghiệm đúng sai
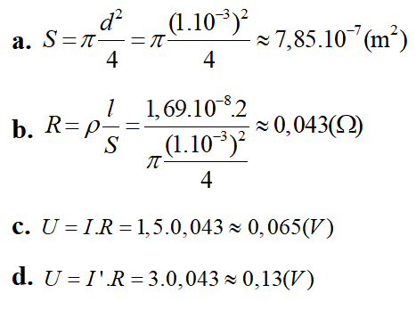
Câu hỏi. Một đoạn dây dẫn bằng đồng có điện trở suất 1,69.10-8Ω.m, dài 2,0 m và đường kính tiết diện là 1,0 mm. Cho dòng điện 1,5 A chạy qua đoạn dây.
|
Phát biểu |
Đúng |
Sai |
|
|
a |
Tiết diện của đoạn dây dẫn bằng 9.10-7m2. |
||
|
b |
Điện trở của đoạn dây là 0,043 Ω |
||
|
c |
Hiệu điện thế giữa hai đầu đoạn dây là 0,065 V. |
||
|
d |
Nếu cho cường độ dòng điện qua đoạn mạch 3A thì hiệu điện thế giữa hai đầu đoạn dây là 13 V |
Phần III. Câu trắc nghiệm trả lời ngắn
Câu 1.
Tìm điện trở tương đương của mạch. (tính theo W)
Câu 2.
Tính hiệu điện thế giữa hai đầu điện trở R1.(tính theo V)
Xem thêm câu hỏi trắc nghiệm Vật Lí lớp 11 Chân trời sáng tạo có đáp án hay khác:
Trắc nghiệm Vật Lí 11 Bài 15: Năng lượng và ứng dụng của tụ điện
Trắc nghiệm Vật Lí 11 Bài 19: Năng lượng điện. Công suất điện
Xem thêm các tài liệu học tốt lớp 11 hay khác:
- Giải sgk Vật Lí 11 Chân trời sáng tạo
- Giải Chuyên đề Vật Lí 11 Chân trời sáng tạo
- Giải SBT Vật Lí 11 Chân trời sáng tạo
- Giải lớp 11 Chân trời sáng tạo (các môn học)
- Giải lớp 11 Kết nối tri thức (các môn học)
- Giải lớp 11 Cánh diều (các môn học)
Tủ sách VIETJACK shopee lớp 10-11 (cả 3 bộ sách):
Đã có app VietJack trên điện thoại, giải bài tập SGK, SBT Soạn văn, Văn mẫu, Thi online, Bài giảng....miễn phí. Tải ngay ứng dụng trên Android và iOS.
Theo dõi chúng tôi miễn phí trên mạng xã hội facebook và youtube:Nếu thấy hay, hãy động viên và chia sẻ nhé! Các bình luận không phù hợp với nội quy bình luận trang web sẽ bị cấm bình luận vĩnh viễn.
- Soạn văn 11 (hay nhất) - CTST
- Soạn văn 11 (ngắn nhất) - CTST
- Giải sgk Toán 11 - CTST
- Giải Tiếng Anh 11 Global Success
- Giải sgk Tiếng Anh 11 Smart World
- Giải sgk Tiếng Anh 11 Friends Global
- Giải sgk Vật Lí 11 - CTST
- Giải sgk Hóa học 11 - CTST
- Giải sgk Sinh học 11 - CTST
- Giải sgk Lịch Sử 11 - CTST
- Giải sgk Địa Lí 11 - CTST
- Giải sgk Giáo dục KTPL 11 - CTST
- Giải sgk Hoạt động trải nghiệm 11 - CTST
- Giải sgk Âm nhạc 11 - CTST


Giải bài tập SGK & SBT
Tài liệu giáo viên
Sách
Khóa học
Thi online
Hỏi đáp

