Đề kiểm tra Vật Lí 12 Kết nối tri thức Chương 2 (có lời giải)
Đề kiểm tra Vật Lí 12 Kết nối tri thức Chương 2: Khí lí tưởng có đáp án chi tiết đầy đủ các mức độ sẽ giúp học sinh lớp 12 ôn luyện Vật Lí 12.
Đề kiểm tra Vật Lí 12 Kết nối tri thức Chương 2 (có lời giải)
Chỉ từ 200k mua trọn bộ Bài tập ôn tập + Đề kiểm tra Vật Lí 12 Kết nối tri thức theo chương theo cấu trúc mới bản word có lời giải chi tiết, trình bày đẹp mắt, dễ dàng chỉnh sửa:
- B1: gửi phí vào tk:
1133836868- CT TNHH DAU TU VA DV GD VIETJACK - Ngân hàng MB (QR) - B2: Nhắn tin tới Zalo VietJack Official - nhấn vào đây để thông báo và nhận đề thi
1. Câu trắc nhiệm nhiều phương án lựa chọn (4,5 điểm)
Thí sinh trả lời từ câu 1 đến câu 18. Mỗi câu hỏi thí sinh chỉ chọn một phương án.
(Mỗi câu trả lời đúng thí sinh được 0,25điểm)
Câu 1: Cả 3 thông số trạng thái của 1 lượng khí xác định đều thay đổi ở trong hiện tượng
A. không khí trong 1 quả bóng bàn bị 1 học sinh dùng tay bóp bẹp
B. không khí bị nung nóng trong 1 bình đậy kín
C. không khí trong xi lanh được nung nóng, dãn nở và đầy pitong chuyển động
D. không khí trong 1 quả bóng da khi bị đập xuống đất .
Câu 2: Hiện tượng không thể hiện rõ thuyết động học phân tử là hiện tượng
A. mùi nước hoa lan toả trong một căn phòng kín.
B. chuyển động hỗn loạn của các hạt phấn hoa trong nước yên lặng.
C. không khí nóng thì nổi lên cao, không khí lạnh chìm xuống trong bầu khí quyển.
D. cốc nước được nhỏ mực, sau một thời gian có màu đồng nhất.
Câu 3: Quá trình đẳng quá trình là quá trình
A. đun nóng khí trong 1 bình đậy kín.
B. không khí trong quả bóng bay bị phơi nắng, nắng lên, nở ra làm căng bóng.
C. đun nóng khí trong 1 xilanh, khí nở ra đầy pittong chuyển động.
D. không khí trong quả bóng da khi để ngoài nắng nở ra làm căng bóng.
Câu 4: Hai bình cầu cùng dung tích chứa cùng một chất khí nối với nhau bằng một ống nằm ngang. Một giọt thủy ngân nằm đúng giữa ống ngang. Nhiệt độ trong các bình tương ứng là T1 và T2. Tăng gấp đôi nhiệt độ tuyệt đối của khí trong mỗi bình thì giọt Hg sẽ chuyển động như thế nào ?
A. Nằm yên không chuyển động.
B. Chuyển động sang phải.
C. Chuyển động sang trái.
D. Chưa đủ dữ kiện để nhận xét.
Câu 5: Có bao nhiêu nguyên tử oxygen trong 1 gam khí oxygen.
A. 4,22.1023
B. 1,5.1022
C. 1,882.1022
D. 3,8.1023
Câu 6: Khi khối lượng của khí thay đổi, ta chỉ có thể áp dụng
A. Định luật Boyle.
B. Định luật Charles.
C. Phương trình trạng thái.
D. Phương trình Clapeyron.
Câu 7: Phương trình trạng thái của khí lí tưởng cho biết mối liên hệ giữa
A. nhiệt độ và áp suất.
B. nhiệt độ và thể tích.
C. thể tích và áp suất.
D. nhiệt độ, áp suất và thể tích.
Câu 8: Một khối khí ban đầu có các thông số trạng thái là: p0; V0; T0. Biến đổi đẳng áp đến 2V0 sau đó nén đẳng nhiệt về thể tích ban đầu. Đồ thị diễn tả đúng quá trình trên là
A. hình 4
B. hình 3
C. hình 1
D. hình 2
Câu 9: Động năng trung bình của phân tử khí phụ thuộc
A. vào bản chất chất khí.
B. áp suất chất khí.
C. mật độ phân tử khí.
D. nhiệt độ của khối khí.
Câu 10: Mối liên hệ giữa áp suất, thể tích và nhiệt độ của một lượng khí không được xác định bằng phương trình trạng thái của khí lí tưởng trong quá trình
A. làm nóng một lượng khí trong một bình đậy kín.
B. làm nóng một lượng khí trong xilanh kín có pít-tông làm khí nóng lên, nở ra, đẩy pít-tông di chuyển.
C. dùng tay bóp méo quả bóng bay.
D. làm nóng một lượng khí trong một bình không đậy kín.
Câu 11: Mật độ phân tử được xác định bởi hệ thức:
A.
B.
C.
D.
Câu 12: Hai bình kín có thể tích bằng nhau đều chứa khí lí tưởng ở cùng một nhiệt độ. Khối lượng khí trong hai bình bằng nhau nhưng khối lượng một phân tử khí của bình 1 lớn gấp hai lần khối lượng một phân tử khí ở bình 2. Áp suất khí ở bình 1
A. gấp bốn lần áp suất khí ở bình 2.
B. gấp hai lần áp suất khí ở bình 2.
C. bằng áp suất khí ở bình 2.
D. bằng một nửa áp suất khí ở bình 2.
Câu 13: Người ta nén 6 lít khí ở nhiệt độ 27°C để cho thể tích của khí chỉ còn l lít, vì nén nhanh nên khí bị nóng lên đến 77°C. Khi đó áp suất của khí tăng lên
A. 5 lần.
B. 2,5 lần.
C. 4,5 lần.
D. 7 lần.
Câu 14: Nhiệt độ khí trơ trong bóng đèn sợi đốt khi đèn không sáng là 25 °C, khi sáng là 323 °C. Áp suất khí trơ trong bóng đèn này khi đèn sáng so với khi đèn không sáng gấp
A. 2,5 lần .
B. 3 lần .
C. 4 lần
D. 2 lần
Câu 15: Một lượng khí lí tưởng xác định biến đổi theo chu trình như hình vẽ bên. Nếu chuyển đồ thị trên sang hệ trục tọa độ (p,V) thì đáp án mô tả tương đương là
A. hình 4
B. hình 3
C. hình 1
D. hình 2
Câu 16: Cho 4 bình có dung tích như nhau và cùng nhiệt độ, đựng các khí khác nhau, bình 1 đựng 4g hydrogen, bình 2 đựng 22g khí carbon dioxide, bình 3 đựng 7g khí nitrogen, bình 4 đựng 4g oxygen. Bình khí có áp suất lớn nhất là:
A. bình 4.
B. bình 3.
C. bình 1.
D. bình 2.
Câu 17: Ở thời kì nén của một động cơ đốt trong 4 kì, nhiệt độ của hỗn hợp khí tăng từ 470C đến 3670C, còn thể tích của khí giảm từ 1,8 lít đến 0,3 lít. Áp suất của khí lúc bắt đầu nén là 100kPA. Coi hỗn hợp khí như chất khí thuần nhất, áp suất cuối thời kì nén là:
A. 3,2.106Pa.
B. 2,5.106Pa.
C. 1,2.106Pa.
D. 0,7.106Pa.
Câu 18: Có 14g chất khí nào đó đựng trong bình kín có thể tích 1 lít. Đun nóng đến 127°C áp suất khí trong bình là 16,6.105N/m2. Khí đó là khí gì?
A. Oxygen.
B. Nitrogen.
C. Helium.
D. Hydrogen.
2. Câu trắc nghiệm đúng sai (4 điểm )
Thí sinh trả lời từ câu 1 đến câu 4. Trong mỗi ý a), b), c), d) ở mỗi câu, thí sinh chọn đúng hoặc sai
Câu 1: Trong các phát biểu sau đây về một lượng khí lí tưởng xác định, phát biểu nào là đúng, phát biểu nào là sai?
a. Trong quá trình đẳng tích, áp suất của một lượng khí xác định tỉ lệ nghịch với nhiệt độ tuyệt đối.
b. Khi giữ nhiệt độ không đổi, nếu thể tích khí tăng thì áp suất khí giảm.
c. Khi tốc độ của mỗi phân tử tăng lên gấp đôi, áp suất cũng tăng lên gấp đôi.
d. Khi khối khí giảm nhiệt độ, tương ứng động năng trung bình của các phân tử khí cũng giảm nhưng giảm chậm hơn sự giảm nhiệt độ.
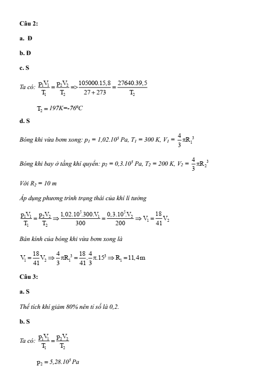
Câu 2: Quả bóng thời tiết hay còn gọi là bóng thám không, là một công cụ quan trọng trong việc thu thập dữ liệu khí tượng phục vụ dự báo thời tiết.
a. Bóng thường được bơm khí hiếm nhẹ hơn không khí, nhờ đó có thể bay lên các tầng không khí khác nhau để thu thập thông tin về nhiệt độ, độ ẩm, áp suất, tốc độ gió…
b. Bóng thám không thường chỉ bay tới độ cao khoảng 30km đến 40km là bị vỡ do áp suất trong bóng lớn hơn áp suất không khí bên ngoài, chênh lệch này vượt giới hạn của bóng.
c. Một quả bóng thời tiết được thả vào không gian, khí trong nó có thể tích 15,8 m3 và áp suất ban đầu bằng 105 000 Pa và nhiệt độ là 27 °C. Quả bóng thời tiết sẽ bị nổ ở áp suất 27640 Pa, thể tích tăng tới 39,5 m3 và tại đó, nhiệt độ của khí gần bằng - 700C.
d. Người ta muốn chế tạo một bóng thám không có thể tăng bán kính lên tới 15 m, khi bay ở tầng khí quyển có áp suất 0,3.105 Pa và nhiệt độ 200 K. Bóng được bơm ở áp suất 1,02.105 Pa và nhiệt độ 300 K. Khi vừa bơm xong bán kính của bóng là 10,4m.
Câu 3: Một lốp ô tô được bơm căng không khí ở 27,0 °C. Áp suất ban đầu của khí ở áp suất khí quyển bình thường là 1,013.105 Pa. Trong quá trình bơm, không khí vào trong lốp bị nén lại và giảm 80,0% thể tích ban đầu (khi không khí còn ở bên ngoài lốp), nhiệt độ khí trong lốp tăng lên đến 40,0 °C.
a. Tỉ số giữa thể tích khí sau khi đưa vào trong lốp và thể tích khí khi ở ngoài lốp là 0,3.
b. Áp suất khí trong lốp là 4,25.105 Pa.
c. Sau khi ô tô chạy ở tốc độ cao, nhiệt độ không khí trong lốp tăng đến 75,0 °C và thể tích khí bên trong lốp tăng bằng 102% thể tích khi lốp ở 40,0 °C. Áp suất mới của khí trong lốp là 4,76.105 Pa.
d. Biết phần lốp tiếp xúc với mặt đường có dạng hình chữ nhật, diện tích 205 cm2. Áp lực lốp xe lên mặt đường cỡ 2000 N.
Câu 4: Cho đồ thị sau biểu diễn chu trình biến đổi trạng thái của khối khí lý tưởng:
a. Trong chu trình, có hai quá trình biến đổi đẳng áp.
b. Từ 1 đến 2 có quá trình biến đổi đẳng tích.
c. Từ 3 đến 4 là quá trình đẳng tích, T giảm, p tăng.
d. Vẽ đồ thị các quá trình liên tục từ 1-2-3-4-1 trong hệ trục p,V thì đồ thị mới sẽ có dạng một hình chữ nhật.
3. Câu trắc nghiệm trả lời ngắn (1,5 điểm)
Thí sinh trả lời từ câu 1 đến câu 6. Mỗi câu trả lời đúng thí sinh được 0,25 điểm
Câu 1: Bình kín đựng khí Helium chứa 1,505.1023 nguyên tử Helium ở điều kiện 0°C và áp suất trong bình là 1 atm. Khối lượng Helium có trong bình là bao nhiêu gam?
Câu 2: Nồi áp suất có van là 1 lỗ tròn có diện tích lcm luôn được áp chặt bởi 1 lò xo có độ cứng 1300 (N/m) và luôn bị nén lcm. Ban đầu ở áp suất khí quyển 105 N/m2 và nhiệt độ 27°C. Hỏi để van mở ra thì phải đun đến nhiệt độ bằng bao nhiêu °C?
Câu 3: Trong xilanh của một động cơ đốt trong có 2dm3 hỗn hợp khí dưới áp suất 175atm và nhiệt độ 47°C. Pit tông nén xuống làm cho thế tích của hỗn hợp khí chỉ còn 0,2 dm3 và áp suất tăng lên 21atm. Tính nhiệt độ của hỗn hợp khí nén theo °C?
Câu 4: Một bình thủy tinh có dung tích 14cm3 chứa không khí ở nhiệt độ 77°C được nối với ống thủy tinh nằm ngang chứa đầy thủy ngân. Đầu kia của ống để hở. Làm lạnh không khí trong bình đến nhiệt độ 27°C . Tính khối lượng thủy ngân đã chảy vào bình theo đơn vị gam, dung tích của bình coi như không đổi, khối lượng riêng của thủy ngân là 13,6Jkg/dm3.
Câu 5: Cho đồ thị biến đổi trạng thái của một lượng khí lí tưởng từ 1 đến 2.
Nhiệt độ gấp bao nhiêu lần nhiệt độ ?
Câu 6: Một chất khí mà các phân tử có tốc độ căn quân phương là 460m/s ở Tốc độ căn quân phương của các phân tử khí này ở nhiệt độ là bao nhiêu m/s ?
................................
................................
................................
Xem thêm đề kiểm tra Vật Lí lớp 12 Kết nối tri thức có đáp án hay khác:
Đề kiểm tra Vật Lí 12 Kết nối tri thức Chương 1 (có lời giải)
Đề kiểm tra Vật Lí 12 Kết nối tri thức Chương 3 (có lời giải)
Đề kiểm tra Vật Lí 12 Kết nối tri thức Chương 4 (có lời giải)
Xem thêm các tài liệu học tốt lớp 12 hay khác:
- Giải sgk Vật Lí 12 Kết nối tri thức
- Giải Chuyên đề Vật Lí 12 Kết nối tri thức
- Giải SBT Vật Lí 12 Kết nối tri thức
- Giải lớp 12 Kết nối tri thức (các môn học)
- Giải lớp 12 Chân trời sáng tạo (các môn học)
- Giải lớp 12 Cánh diều (các môn học)
Đã có app VietJack trên điện thoại, giải bài tập SGK, SBT Soạn văn, Văn mẫu, Thi online, Bài giảng....miễn phí. Tải ngay ứng dụng trên Android và iOS.
Theo dõi chúng tôi miễn phí trên mạng xã hội facebook và youtube:Nếu thấy hay, hãy động viên và chia sẻ nhé! Các bình luận không phù hợp với nội quy bình luận trang web sẽ bị cấm bình luận vĩnh viễn.
- Soạn văn 12 (hay nhất) - KNTT
- Soạn văn 12 (ngắn nhất) - KNTT
- Giải sgk Toán 12 - KNTT
- Giải Tiếng Anh 12 Global Success
- Giải sgk Tiếng Anh 12 Smart World
- Giải sgk Tiếng Anh 12 Friends Global
- Giải sgk Vật Lí 12 - KNTT
- Giải sgk Hóa học 12 - KNTT
- Giải sgk Sinh học 12 - KNTT
- Giải sgk Lịch Sử 12 - KNTT
- Giải sgk Địa Lí 12 - KNTT
- Giải sgk Giáo dục KTPL 12 - KNTT
- Giải sgk Tin học 12 - KNTT
- Giải sgk Công nghệ 12 - KNTT
- Giải sgk Hoạt động trải nghiệm 12 - KNTT
- Giải sgk Giáo dục quốc phòng 12 - KNTT
- Giải sgk Âm nhạc 12 - KNTT
- Giải sgk Mĩ thuật 12 - KNTT


Giải bài tập SGK & SBT
Tài liệu giáo viên
Sách
Khóa học
Thi online
Hỏi đáp

