Đề kiểm tra Vật Lí 12 Kết nối tri thức Chương 3 (có lời giải)
Đề kiểm tra Vật Lí 12 Kết nối tri thức Chương 3: Từ trường có đáp án chi tiết đầy đủ các mức độ sẽ giúp học sinh lớp 12 ôn luyện Vật Lí 12.
Đề kiểm tra Vật Lí 12 Kết nối tri thức Chương 3 (có lời giải)
Chỉ từ 200k mua trọn bộ Bài tập ôn tập + Đề kiểm tra Vật Lí 12 Kết nối tri thức theo chương theo cấu trúc mới bản word có lời giải chi tiết, trình bày đẹp mắt, dễ dàng chỉnh sửa:
- B1: gửi phí vào tk:
1133836868- CT TNHH DAU TU VA DV GD VIETJACK - Ngân hàng MB (QR) - B2: Nhắn tin tới Zalo VietJack Official - nhấn vào đây để thông báo và nhận đề thi
PHẦN I. Câu trắc nhiệm nhiều phương án lựa chọn (4,5 điểm).
Thí sinh trả lời từ câu 1 đến câu 18. Mỗi câu hỏi thí sinh chỉ chọn một phương án.
Mỗi câu trả lời đúng thí sinh được 0,25 điểm.
Câu 1. Lực nào sau đây không phải lực từ?
A. Lực Trái Đất tác dụng lên vật nặng;
B. Lực Trái đất tác dụng lên kim nam châm ở trạng thái tự do làm nó định hướng theo phương bắc nam.
C. Lực nam châm tác dụng lên dây dẫn bằng nhôm mang dòng điện.
D. Lực hai dây dẫn mang dòng điện tác dụng lên nhau.
Câu 2. Các đường sức từ là các đường cong vẽ trong không gian có từ trường sao cho
A. pháp tuyến tại mọi điểm trùng với hướng của từ trường tại điểm đó.
B. tiếp tuyến tại mọi điểm trùng với hướng của từ trường tại điểm đó.
C. pháp tuyến tại mỗi điểm tạo với hướng của từ trường một góc không đổi.
D. tiếp tuyến tại mọi điểm tạo với hướng của từ trường một góc không đổi.
Câu 3. Các đường sức từ của dòng điện thẳng dài có dạng là các đường
A. thẳng vuông góc với dòng điện.
B. tròn đồng tâm vuông góc với dòng điện.
C. tròn đồng tâm vuông góc với dòng điện, tâm trên dòng điện.
D. tròn vuông góc với dòng điện.
Câu 4. Lực từ tác dụng lên đoạn dây dẫn không phụ thuộc trực tiếp vào
A. độ lớn cảm ứng từ.
B. cường độ dòng điện chạy trong dây dẫn.
C. chiêu dài dây dẫn mang dòng điện.
D. điện trở dây dẫn.
Câu 5. Hình nào biểu diễn đúng hướng lực từ tác dụng lên một đoạn dây dẫn thẳng mang dòng điện I có chiều như hình vẽ đặt trong từ trường đều, đường sức từ có hướng như hình vẽ?
A. Hình 1
B. Hình 2
C. Hình 3
D. Hình 4
Câu 6. Đặt một khung dây dẫn hình chữ nhật có dòng điện chạy qua trong từ trường sao cho mặt phẳng khung dây vuông góc với các đường cảm ứng từ chiều như hình vẽ thì lực từ có tác dụng gì?
A. làm dãn khung.
B. làm khung dây quay.
C. làm nén khung dây.
D. lực từ không tác dụng lên khung dây.
Câu 7. 1 Wb bằng
A. 1 T.m2.
B. 1 T/m.
C. 1 T.m.
D. 1 T/ m2.
Câu 8. Dòng điện cảm ứng trong mạch kín có chiều
A. sao cho từ trường cảm ứng có chiều chống lại sự biến thiên từ thông ban đầu qua mạch.
B. hoàn toàn ngẫu nhiên.
C. sao cho từ trường cảm ứng luôn cùng chiều với từ trường ngoài.
D. sao cho từ trường cảm ứng luôn ngược chiều với từ trường ngoài.
Câu 9. Xác định chiều dòng điện cảm ứng trong vòng dây khi nhìn vào mặt trên trong trường hợp cho nam châm rơi thẳng đứng xuyên qua tâm vòng dây giữ cố định như hình vẽ.
A. Lúc đầu dòng điện cùng kim đồng hồ, khi nam châm xuyên qua đổi chiều ngược kim đồng hồ.
B. Lúc đầu dòng điện ngược kim đồng hồ, khi nam châm xuyên qua đổi chiều cùng kim đồng hồ.
C. Không có dòng điện cảm ứng trong vòng dây.
D. Dòng điện cảm ứng cùng kim đồng hồ.
Câu 10. Độ lớn của suất điện động cảm ứng trong mạch kín tỉ lệ với
A. tốc độ biến thiên từ thông qua mạch ấy.
B. độ lớn từ thông qua mạch.
C. điện trở của mạch.
D. diện tích của mạch.
Câu 11. Một máy biến áp lý tưởng đang hoạt động. Gọi U1 và U2 lần lượt là điện áp hiệu dụng ở hai đầu cuộn sơ cấp và ở hai đầu cuộn thứ cấp để hở. Nếu máy biến áp là máy hạ áp thì
A.
B.
C.
D.
Câu 12. Khi nói về sóng điện từ, phát biểu nào sau đây là sai?
A. Sóng điện từ chỉ truyền được trong môi trường vật chất đàn hồi.
B. Sóng điện từ là sóng ngang.
C. Sóng điện từ lan truyền trong chân không với vận tốc c = 3.108 m/s.
D. Sóng điện từ bị phản xạ khi gặp mặt phân cách giữa hai môi trường.
Câu 13. Tại thời điểm t = 5 (s), cường độ dòng điện xoay chiều qua mạch bằng 3 A, đó là
A. cường độ hiệu dụng.
B. cường độ cực đại.
C. cường độ tức thời.
D. cường độ trung bình.
Câu 14. Dòng điện . Dòng điện này có
A. tần số là 50 Hz.
B. cường độ hiệu dụng của dòng điện là 2.
C. số lần đổi chiều trung bình trong 1 s là 100.
D. chu kì dòng điện là 0,02 s.
Câu 15. Một dòng điện chạy trong một đoạn mạch có cường độ i = 4cos(2πft + )(A) (f > 0). Đại lượng f gọi là
A. pha ban đầu của dòng điện.
B. tần số của dòng điện.
C. tần số góc của dòng điện.
D. chu kì của dòng điện.
Câu 16. Khung dây kim loại phẳng có diện tích S = 100 cm2, có N = 500 vòng dây, quay đều với tốc độ 3000 vòng/phút quanh quanh trục vuông góc với đường sức của một từ trường đều B = 0,1 (T). Chọn gốc thời gian t = 0 là lúc pháp tuyến của khung dây có chiều trùng với chiều của vectơ cảm ứng từ B. Biểu thức xác định suất điện động cảm ứng xuất hiện trong khung dây là
A. e = 15,7sin(314t) V.
B. e = 157sin(314t) V.
C. e = 15,7cos(314t) V.
D. e = 157cos(314t) V.
Câu 17. Máy phát điện xoay chiều một pha phần ứng gồm 2 cuộn dây mắc nối tiếp. Suất điện động của máy ra là 220V - 50Hz. Từ thông cực đại qua mỗi vòng dây là 5 mWb. Số vòng dây của mỗi cuộn dây phần ứng là
A. 20.
B. 198.
C. 50.
D. 99.
Câu 18. Một khung dây đặt trong từ trường đều có trục quay Δ của khung vuông góc với các đường cảm ứng từ. Cho khung quay đều quanh trục Δ, thì từ thông gởi qua khung có biểu thức . Biểu thức suất điện động cảm ứng xuất hiện trong khung là
A.
B.
C.
D.
Phần II. Câu trắc nghiệm đúng sai (4 điểm).
Thí sinh trả lời từ câu 1 đến câu 4. Trong mỗi ý a), b), c), d) ở mỗi câu, thí sinh chọn đúng hoặc sai.
Điểm tối đa của 01 câu hỏi là 1 điểm.
- Thí sinh chỉ lựa chọn chính xác 01 ý trong 1 câu hỏi được 0,1 điểm.
- Thí sinh chỉ lựa chọn chính xác 02 ý trong 1 câu hỏi được 0,25 điểm.
- Thí sinh chỉ lựa chọn chính xác 03 ý trong 1 câu hỏi được 0,5 điểm.
- Thí sinh lựa chọn chính xác cả 04 ý trong 1 câu hỏi được 1 điểm.
Câu 1. Một dòng điện xoay chiều có cường độ i = 4cos(100πt + π/4) A.
|
|
Phát biểu |
Đúng |
Sai |
|
a |
Cường độ hiệu dụng bằng 4 (A) |
|
|
|
b |
Chu kỳ dòng điện là 0,02 (s). |
|
|
|
c |
Tần số dòng điện là 100π (Hz). |
|
|
|
d |
Pha ban đầu của dòng điện là π/4 rad |
|
|
Câu 2. Suất điện động trong một vòng dây có biểu thức
|
|
Phát biểu |
Đúng |
Sai |
|
a |
Suất điện động hiệu dụng bằng 2 V. |
|
|
|
b |
Tần số góc của suất điện động này là (rad/s). |
|
|
|
c |
Từ thông cực đại xuyên qua vòng dây này có giá trị . |
|
|
|
d |
Tại thời điểm 0,25 giây suất điện động có giá trị là . |
Câu 3. Khi nói về từ thông.
|
|
Phát biểu |
Đúng |
Sai |
|
a |
Từ thông qua mặt S là đại lượng được xác định theo công thức với là góc tạo bởi cảm ứng từ và pháp tuyến dương của mặt S. |
|
|
|
b |
Từ thông là một đại lượng véctơ. |
|
|
|
c |
Từ thông qua mặt S chỉ phụ thuộc diện tích của mặt S, không phụ thuộc góc nghiêng của mặt đó so với hướng của các đường sức từ. |
|
|
|
d |
Từ thông qua mặt S được đo bằng đơn vị Vêbe (Wb) và có giá trị lớn nhất khi mặt này vuông góc với các đường sức từ. |
|
|
Câu 4. Khi nói về sóng điện từ.
|
|
Phát biểu |
Đúng |
Sai |
|
a |
Sóng điện từ truyền được trong cả môi trường chân không và các môi trường vật chất. |
|
|
|
b |
Tốc độ lan truyền của sóng điện từ trong chân không bằng với tốc độ ánh sáng trong chân không. |
|
|
|
c |
Trong sóng điện từ, vectơ cường độ điện trường và vectơ cảm ứng từ dao động vuông góc với nhau và cùng phương với phương truyền sóng. |
|
|
|
d |
Sóng điện từ có thể truyền qua môi trường kim loại mà không bị hấp thụ hoặc phản xạ. |
|
|
Phần III. Câu trắc nghiệm trả lời ngắn (1,5 điểm).
Thí sinh trả lời từ câu 1 đến câu 6. Mỗi câu trả lời đúng thí sinh được 0,25 điểm.
Câu 1. Một đoạn dây đặt trong từ trường đều có cảm ứng từ 0,5 T, dây hợp với đường sức từ một góc 300 Dòng điện qua dây có cường độ 0,5 A, thì lực từ tác dụng lên đoạn dây là 4.10-2 N. Chiều dài đoạn dây dẫn là bao nhiêu cm?
Câu 2. Một khung dây phẳng giới hạn diện tích S = 5 cm2 gồm 20 vòng dây đặt trong từ trường đều có cảm ứng từ từ B = 0,1 T sao cho mặt phẳng khung dây hợp với véc tơ cảm ứng từ một góc 600. Từ thông qua diện tích giới hạn bởi khung dây có giá trị bằng bao nhiêu mWb? (Kết quả làm tròn sau dấu phẩy hai chữ số thập phân).
Câu 3. Một khung dây có 1000 vòng được đặt trong từ trường đều sao cho các đường sức từ vuông góc với mặt phẵng của khung. Diện tích mặt phẳng giới hạn bởi mỗi vòng là 2 dm2. Cảm ứng từ của từ trường giảm đều từ 0,5 T đến 0,2 T trong thời gian 0,1 s. Suất điện động cảm ứng xuất hiện trong trong khung dây có giá trị bằng bao nhiêu V?
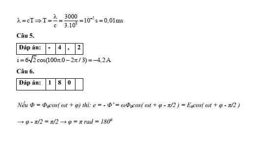
Câu 4. Một sóng điện từ lan truyền trong chân không có bước sóng 3000 m. Lấy c = 3.108 m/s. Biết trong sóng điện từ, thành phần từ trường tại một điểm biến thiên điều hòa với chu kì T. Giá trị của T là bao nhiêu ms?
Câu 5. Cường độ dòng điện trong một đoạn mạch có biểu thức là i = 6cos(100πt - 2π/3)(A). Tại thời điểm t = 0, giá trị của i là bao nhiêu A? (Kết quả làm tròn sau dấu phẩy một chữ số thập phân).
Câu 6. Một khung dây dẫn phẳng quay đều với tốc độ góc ω quanh một trục cố định nằm trong mặt phẳng khung dây, trong một từ trường đều có vectơ cảm ứng từ vuông góc với trục quay của khung. Suất điện động cảm ứng trong khung có biểu thức e = E0cos( ωt + π/2). Tại thời điểm t = 0, vectơ pháp tuyến của mặt phẳng khung dây hợp với vectơ cảm ứng từ một góc bằng bao nhiêu độ?
................................
................................
................................
Xem thêm đề kiểm tra Vật Lí lớp 12 Kết nối tri thức có đáp án hay khác:
Đề kiểm tra Vật Lí 12 Kết nối tri thức Chương 1 (có lời giải)
Đề kiểm tra Vật Lí 12 Kết nối tri thức Chương 2 (có lời giải)
Đề kiểm tra Vật Lí 12 Kết nối tri thức Chương 4 (có lời giải)
Xem thêm các tài liệu học tốt lớp 12 hay khác:
- Giải sgk Vật Lí 12 Kết nối tri thức
- Giải Chuyên đề Vật Lí 12 Kết nối tri thức
- Giải SBT Vật Lí 12 Kết nối tri thức
- Giải lớp 12 Kết nối tri thức (các môn học)
- Giải lớp 12 Chân trời sáng tạo (các môn học)
- Giải lớp 12 Cánh diều (các môn học)
Đã có app VietJack trên điện thoại, giải bài tập SGK, SBT Soạn văn, Văn mẫu, Thi online, Bài giảng....miễn phí. Tải ngay ứng dụng trên Android và iOS.
Theo dõi chúng tôi miễn phí trên mạng xã hội facebook và youtube:Nếu thấy hay, hãy động viên và chia sẻ nhé! Các bình luận không phù hợp với nội quy bình luận trang web sẽ bị cấm bình luận vĩnh viễn.
- Soạn văn 12 (hay nhất) - KNTT
- Soạn văn 12 (ngắn nhất) - KNTT
- Giải sgk Toán 12 - KNTT
- Giải Tiếng Anh 12 Global Success
- Giải sgk Tiếng Anh 12 Smart World
- Giải sgk Tiếng Anh 12 Friends Global
- Giải sgk Vật Lí 12 - KNTT
- Giải sgk Hóa học 12 - KNTT
- Giải sgk Sinh học 12 - KNTT
- Giải sgk Lịch Sử 12 - KNTT
- Giải sgk Địa Lí 12 - KNTT
- Giải sgk Giáo dục KTPL 12 - KNTT
- Giải sgk Tin học 12 - KNTT
- Giải sgk Công nghệ 12 - KNTT
- Giải sgk Hoạt động trải nghiệm 12 - KNTT
- Giải sgk Giáo dục quốc phòng 12 - KNTT
- Giải sgk Âm nhạc 12 - KNTT
- Giải sgk Mĩ thuật 12 - KNTT


Giải bài tập SGK & SBT
Tài liệu giáo viên
Sách
Khóa học
Thi online
Hỏi đáp

