Bài tập ôn tập Vật Lí 10 Chân trời sáng tạo Chương 7 (có đúng sai, trả lời ngắn)
Bài tập ôn tập Vật Lí 10 Chân trời sáng tạo Chương 7: Động lượng có đáp án chi tiết đầy đủ các mức độ sẽ giúp học sinh lớp 10 ôn luyện trắc nghiệm Vật Lí 10.
Bài tập ôn tập Vật Lí 10 Chân trời sáng tạo Chương 7 (có đúng sai, trả lời ngắn)
Chỉ từ 200k mua trọn bộ Bài tập ôn tập + Đề kiểm tra Vật Lí 10 Chân trời sáng tạo theo chương theo cấu trúc mới bản word có lời giải chi tiết, trình bày đẹp mắt, dễ dàng chỉnh sửa:
- B1: gửi phí vào tk:
1133836868- CT TNHH DAU TU VA DV GD VIETJACK - Ngân hàng MB (QR) - B2: Nhắn tin tới Zalo VietJack Official - nhấn vào đây để thông báo và nhận đề thi
PHẦN I. Câu trắc nghiệm nhiều phương án lựa chọn
Câu 1. Một hòn đá có khối lượng 5 kg, bay với tốc độ 72 km/h. Động lượng của hòn đá có độ lớn là
A. p = 360 kg.m/s.
B. p = 360 N.s.
C. p = 100 kg.m/s.
D. p = 100 N.m/s.
Câu 2. Thả rơi tự do một vật có khối lượng 500 g từ độ cao 80 m so với mặt đất. Lấy g = 10 m/s2. Động lượng của vật ngay trước khi chạm đất có
A. độ lớn 20 kg.m/s; phương thẳng đứng, chiều từ trên xuống dưới.
B. độ lớn 20 kg.m/s; phương thẳng đứng, chiều từ dưới lên trên.
C. độ lớn 20000 kg.m/s; phương thẳng đứng, chiều từ trên xuống dưới.
D. độ lớn 20000 kg.m/s; phương thẳng đứng, chiều từ dưới lên trên.
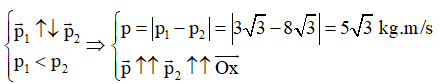
Câu 3. Hai xe 1 và 2 chuyển động đều trên cùng một đường thẳng, ngược chiều. Biết khối lượng và tốc độ tương ứng của hai xe là 4000 kg; 10 m/s và 5 tấn; 54 km/h. Chọn hệ thức đúng về mối quan hệ giữa động lượng của hai xe.
A.
B.
C.
D.
Câu 4. Trên hình vẽ bên là đồ thị tọa độ - thời gian mô tả chuyển động của một vật có khối lượng 2 kg. Độ lớn động lượng của vật tại thời điểm t = 5 là
A. 6 kg.m/s.
B. 10 kg.m/s.
C. 25 kg.m/s.
D. 3 kg.m/s.
Câu 5. Một hệ gồm hai vật m1 và m2 chuyển động thẳng đều trên cùng một đường thẳng AB. Vật m1 có khối lượng 5 kg, chuyển động theo chiều từ A đến B với tốc độ 54 km/h; vật m2 có khối lượng 4 kg chuyển động theo chiều từ B đến A với tốc độ 36 km/h. Động lượng của hệ hai vật có
A. độ lớn là 115 kg.m/s; phương là đường thẳng AB, chiều từ A đến B.
B. độ lớn là 115 kg.m/s; phương là đường thẳng AB, chiều từ B đến A.
C. độ lớn là 35 kg.m/s; phương là đường thẳng AB, chiều từ A đến B.
D. độ lớn là 35 kg.m/s; phương là đường thẳng AB, chiều từ B đến A.
Câu 6. Một hệ gồm ba vật m1; m2; m3 có khối lượng lần lượt là 3 kg; 2 kg; 5 kg. Vật m1 chuyển động theo chiều âm của trục Ox với tốc độ , vật m2 chuyển động theo chiều dương của trục Ox với tốc độ , và vật m3 chuyển động theo chiều dương của trục Oy với tốc độ 1 m/s, hệ trục Oxy vuông góc. Động lượng của hệ ba vật có
A. độ lớn là 10 kg.m/s; có hướng tạo với chiều dương của trục Ox một góc 60o.
B. độ lớn là 10 kg.m/s; có hướng tạo với chiều dương của trục Ox một góc 30o.
C. độ lớn là 14 kg.m/s; có hướng tạo với chiều dương của trục Ox một góc 60o.
D. độ lớn là 14 kg.m/s; có hướng tạo với chiều dương của trục Ox một góc 30o.
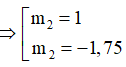
Câu 7. Một hệ gồm hai vật có khối lượng là m1 = 1,5 kg và m2. Vật m1 chuyển động với tốc độ 2 m/s và vật m2 chuyển động với tốc độ 4 m/s theo hướng hợp với hướng chuyển động của vật thứ nhất một góc 60o. Động lượng tổng cộng của hệ có độ lớn là . Giá trị của m2 là
A. 1 kg.
B. 2 kg.
C. 0,5 kg.
D. 3 kg.
Câu 8. Một quả bóng đang bay ngang với động lượng thì đập vuông góc vào một bức tường thẳng đứng, bay ngược trở lại theo phương vuông góc với bức tường với cùng độ lớn vận tốc. Độ biến thiên động lượng của quả bóng là
A.
B.
C. 2
D. -2
Câu 9. Một viên đạn khối lượng 10 g đang bay với tốc độ 600 m/s thì gặp một bức tường. Đạn xuyên qua tường trong thời gian 0,01 s. Sau khi xuyên qua tường, tốc độ của đạn còn 200 m/s. Lực cản của tường tác dụng lên viên đạn
A. ngược hướng chuyển động của viên đạn và có độ lớn 400 N.
B. cùng hướng chuyển động của viên đạn và có độ lớn 400 N.
C. ngược hướng chuyển động của viên đạn và có độ lớn 800 N.
D. cùng hướng chuyển động của viên đạn và có độ lớn 800 N.
Câu 10. Một quả bóng khối lượng 200 g đang bay với tốc độ 72 km/h thì đập vào một bức tường thẳng đứng theo phương nghiêng góc 60o so với mặt tường, rồi bật ngược lại với tốc độ không đổi. Biết va chạm của bóng với tường tuân theo định luật phản xạ của gương phẳng (góc phản xạ bằng góc tới), thời gian va chạm giữa bóng và tường là 0,5 s, lực trung bình do bóng tác dụng lên tường có độ lớn là
A. 8 N.
B. 8 N.
C. 16 N.
D. 16 N.
Câu 11. Một nhà du hành vũ trụ có khối lượng 75 kg đang đi bộ ngoài không gian. Do một sự cố, dây nối người với con tàu bị tuột. Để quay về con tàu vũ trụ, người đó ném một bình ôxi mang theo người có khối lượng 10 kg về phía ngược với tàu với tốc độ v = 12 m/s. Giả sử ban đầu người đang đứng yên so với tàu, hỏi sau khi ném bình khí, người sẽ chuyển động về phía tàu với tốc độ V bằng
A. 1,6 m/s.
B. 90 m/s.
C. 78 m/s.
D. 1,85 m/s.
Câu 12. Một khẩu súng có khối lượng 4 kg bắn ra một viên đạn theo phương ngang có khối lượng 50 g. Khi viên đạn thoát ra khỏi nòng súng thì súng giật lùi với tốc độ 1,2 m/s. Tốc độ của đạn khi ra khỏi nòng súng là
A. 96 m/s.
B. 94,8 m/s.
C. 94,8 cm/s.
D. 96 cm/s.
Câu 13. Một viên đạn đang bay theo phương thẳng đứng với vận tốc 500 m/s thì nổ thành hai mảnh có khối lượng bằng nhau. Mảnh thứ nhất bay theo phương ngang với vận tốc . Mảnh thứ hai bay với tốc độ là
A. 155 m/s.
B. 255 m/s.
C. 1525 m/s.
D. 1225 m/s.
Câu 14. Một viên đạn có khối lượng 3 kg đang rơi tự do, 2 s sau khi rơi thì nổ thành hai mảnh có khối lượng gấp 2 lần nhau. Lấy g = 10 m/s2. Nếu mảnh nhỏ bay theo phương ngang với vận tốc thì vận tốc của mảnh còn lại
A. có độ lớn , hợp với hướng chuyển động của mảnh nhỏ một góc 120o.
B. có độ lớn , hợp với hướng chuyển động của mảnh nhỏ một góc 60o.
C. có độ lớn , hợp với hướng chuyển động của mảnh nhỏ một góc 60o.
D. có độ lớn , hợp với hướng chuyển động của mảnh nhỏ một góc 120o.
Câu 15. Một vật khối lượng m đang chuyển động theo phương ngang với vận tốc v thì va chạm vào vật khối lượng 2 m đang đứng yên. Sau va chạm, hai vật dính vào nhau và chuyển động với cùng vận tốc. Bỏ qua ma sát, vận tốc của hệ sau va chạm là
A.
B. v.
C. 3v.
D.
PHẦN II. Câu trắc nghiệm đúng sai
Câu hỏi. Xét tính đúng/sai của các phát biểu dưới đây khi nói về động lượng.
Phát biểu |
Đúng |
Sai |
|
a |
Động lượng đặc trưng cho sự truyền tương tác (hay chuyển động) giữa các vật. |
||
b |
Động lượng của hai vật có khối lượng khác nhau nhưng chuyển động cùng vận tốc thì có độ lớn như nhau. |
||
c |
Trong những hệ quy chiếu khác nhau, động lượng của vật là như nhau. |
||
d |
Trong chuyển động thẳng chậm dần đều, độ biến thiên động lượng có độ lớn bằng không. |
PHẦN III. Câu trắc nghiệm trả lời ngắn
Câu hỏi: Hai vật 1 và 2 chuyển động thẳng đều vận tốc của hai vật tạo với nhau một góc = 60°, khối lượng tốc độ tương ứng với mỗi vật là 1kg, 2m/s và 3kg, 4m/s. Động lượng của hệ hai vật có độ lớn bằng bao nhiêu kg.m/s? (kết quả làm tròn đến phần nguyên)
................................
................................
................................
Xem thêm bài tập ôn tập Vật Lí lớp 10 Chân trời sáng tạo có đáp án hay khác:
Bài tập ôn tập Vật Lí 10 Chân trời sáng tạo Chương 1 (có đúng sai, trả lời ngắn)
Bài tập ôn tập Vật Lí 10 Chân trời sáng tạo Chương 2 (có đúng sai, trả lời ngắn)
Bài tập ôn tập Vật Lí 10 Chân trời sáng tạo Chương 3 (có đúng sai, trả lời ngắn)
Bài tập ôn tập Vật Lí 10 Chân trời sáng tạo Chương 4 (có đúng sai, trả lời ngắn)
Bài tập ôn tập Vật Lí 10 Chân trời sáng tạo Chương 5 (có đúng sai, trả lời ngắn)
Bài tập ôn tập Vật Lí 10 Chân trời sáng tạo Chương 6 (có đúng sai, trả lời ngắn)
Bài tập ôn tập Vật Lí 10 Chân trời sáng tạo Chương 8 (có đúng sai, trả lời ngắn)
Bài tập ôn tập Vật Lí 10 Chân trời sáng tạo Chương 9 (có đúng sai, trả lời ngắn)
Xem thêm các tài liệu học tốt lớp 10 hay khác:
- Giải sgk Vật lí 10 Chân trời sáng tạo
- Giải Chuyên đề học tập Vật lí 10 Chân trời sáng tạo
- Giải SBT Vật lí 10 Chân trời sáng tạo
- Giải lớp 10 Chân trời sáng tạo (các môn học)
- Giải lớp 10 Kết nối tri thức (các môn học)
- Giải lớp 10 Cánh diều (các môn học)
Tủ sách VIETJACK shopee lớp 10-11 (cả 3 bộ sách):
Đã có app VietJack trên điện thoại, giải bài tập SGK, SBT Soạn văn, Văn mẫu, Thi online, Bài giảng....miễn phí. Tải ngay ứng dụng trên Android và iOS.
Theo dõi chúng tôi miễn phí trên mạng xã hội facebook và youtube:Nếu thấy hay, hãy động viên và chia sẻ nhé! Các bình luận không phù hợp với nội quy bình luận trang web sẽ bị cấm bình luận vĩnh viễn.
- Soạn văn 10 (hay nhất) - CTST
- Soạn văn 10 (ngắn nhất) - CTST
- Soạn văn 10 (siêu ngắn) - CTST
- Giải Toán 10 - CTST
- Giải Tiếng Anh 10 Global Success
- Giải Tiếng Anh 10 Friends Global
- Giải sgk Tiếng Anh 10 iLearn Smart World
- Giải sgk Tiếng Anh 10 Explore New Worlds
- Giải sgk Vật lí 10 - CTST
- Giải sgk Hóa học 10 - CTST
- Giải sgk Sinh học 10 - CTST
- Giải sgk Địa lí 10 - CTST
- Giải sgk Lịch sử 10 - CTST
- Giải sgk Kinh tế và Pháp luật 10 - CTST
- Giải sgk Hoạt động trải nghiệm 10 - CTST


Giải bài tập SGK & SBT
Tài liệu giáo viên
Sách
Khóa học
Thi online
Hỏi đáp

