Đề cương ôn tập Học kì 2 Toán 6 trường THCS Nguyễn Bỉnh Khiêm (Hà Nội) năm 2025-2026
Với đề cương ôn tập Học kì 2 Toán 6 năm 2025-2026 trường THCS Nguyễn Bỉnh Khiêm, Hà Nội sẽ giúp học sinh lớp 6 ôn tập và đạt điểm cao trong bài thi Toán 6.
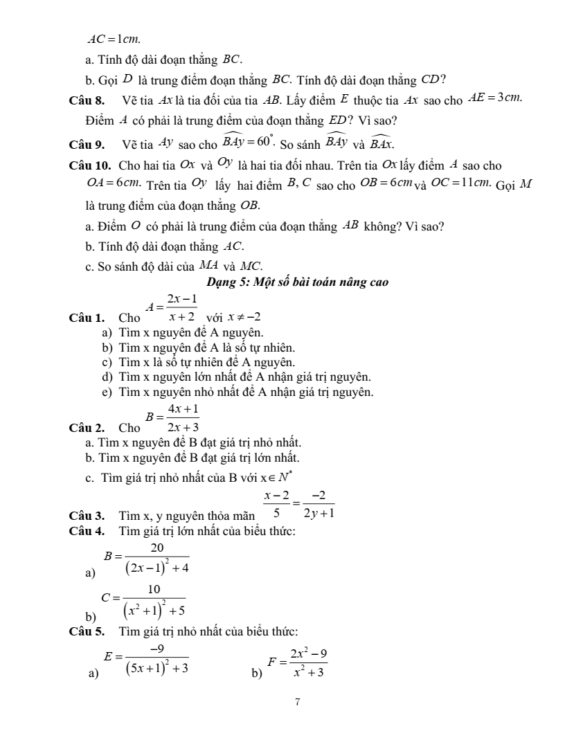
Đề cương ôn tập Học kì 2 Toán 6 trường THCS Nguyễn Bỉnh Khiêm (Hà Nội) năm 2025-2026
Xem thử Đề cương ôn tập Toán 6 CK2 KNTT Xem thử Đề cương ôn tập Toán 6 CK2 CTST Xem thử Đề cương ôn tập Toán 6 CK2 CD
Chỉ từ 80k mua trọn bộ đề cương ôn tập Toán 6 Học kì 2 theo cấu trúc mới bản word có lời giải chi tiết, trình bày đẹp mắt, dễ dàng chỉnh sửa:
- B1: gửi phí vào tk:
1133836868- CT TNHH DAU TU VA DV GD VIETJACK - Ngân hàng MB (QR) - B2: Nhắn tin tới Zalo VietJack Official - nhấn vào đây để thông báo và nhận giáo án
Xem thử Đề cương ôn tập Toán 6 CK2 KNTT Xem thử Đề cương ôn tập Toán 6 CK2 CTST Xem thử Đề cương ôn tập Toán 6 CK2 CD
Xem thêm các đề cương ôn tập Học kì 2 Toán 6 có đáp án, hay khác:
Đề cương ôn tập Học kì 2 Toán 6 trường THCS Nguyễn Trường Tộ (Hà Nội) năm 2025-2026
Đề cương ôn tập Học kì 2 Toán 6 trường THCS Dương Văn Mạnh (TP HCM) năm 2025-2026
Đề cương ôn tập Học kì 2 Toán 6 trường THCS Phú Thị năm 2024-2025
Đề cương ôn tập Học kì 2 Toán 6 trường THCS Mạo Khê II năm 2024-2025
Đã có app VietJack trên điện thoại, giải bài tập SGK, SBT Soạn văn, Văn mẫu, Thi online, Bài giảng....miễn phí. Tải ngay ứng dụng trên Android và iOS.
Theo dõi chúng tôi miễn phí trên mạng xã hội facebook và youtube:Nếu thấy hay, hãy động viên và chia sẻ nhé! Các bình luận không phù hợp với nội quy bình luận trang web sẽ bị cấm bình luận vĩnh viễn.
- Giáo án lớp 6 (các môn học)
- Giáo án điện tử lớp 6 (các môn học)
- Giáo án Ngữ văn 6
- Giáo án Toán 6
- Giáo án Tiếng Anh 6
- Giáo án Khoa học tự nhiên 6
- Giáo án Lịch Sử 6
- Giáo án Địa Lí 6
- Giáo án GDCD 6
- Giáo án Tin học 6
- Giáo án Công nghệ 6
- Giáo án HĐTN 6
- Giáo án Âm nhạc 6
- Giáo án Vật Lí 6
- Giáo án Sinh học 6
- Đề thi lớp 6 (các môn học)
- Đề thi Toán 6 (có đáp án)
- Đề cương ôn tập Toán lớp 6
- Chuyên đề dạy thêm Toán 6 năm 2024 (có lời giải)
- Đề thi Ngữ Văn 6 (có đáp án)
- Chuyên đề Tiếng Việt lớp 6
- Bộ Đề thi Tiếng Anh 6 (có đáp án)
- Bộ Đề thi Khoa học tự nhiên 6 (có đáp án)
- Đề thi Lịch Sử & Địa Lí 6 (có đáp án)
- Đề thi Địa Lí 6 (có đáp án)
- Đề thi Lịch Sử 6 (có đáp án)
- Đề thi GDCD 6 (có đáp án)
- Đề thi Tin học 6 (có đáp án)
- Đề thi Công nghệ 6 (có đáp án)
- Đề thi Toán Kangaroo cấp độ 3 (Lớp 5, 6)


Giải bài tập SGK & SBT
Tài liệu giáo viên
Sách
Khóa học
Thi online
Hỏi đáp

