27 Đề thi Học kì 1 Toán 8 Kết nối tri thức (cấu trúc mới, có đáp án)
Với bộ 27 Đề thi Toán 8 Học kì 1 Kết nối tri thức năm 2026 theo cấu trúc mới có đáp án và ma trận được biên soạn và chọn lọc từ đề thi Toán 8 của các trường THCS trên cả nước sẽ giúp học sinh lớp 8 ôn tập và đạt kết quả cao trong các bài thi Học kì 1 Toán 8.
27 Đề thi Học kì 1 Toán 8 Kết nối tri thức (cấu trúc mới, có đáp án)
Chỉ từ 150k mua trọn bộ Đề thi Học kì 1 Toán 8 Kết nối tri thức theo cấu trúc mới bản word có lời giải chi tiết:
- B1: gửi phí vào tk:
1133836868- CT TNHH DAU TU VA DV GD VIETJACK - Ngân hàng MB (QR) - B2: Nhắn tin tới Zalo VietJack Official - nhấn vào đây để thông báo và nhận đề thi
Đề thi Học kì 1 Toán 8 Kết nối tri thức (Giáo viên VietJack)
50+ Đề thi Toán 8 Cuối kì 1 năm 2025-2026 (cả nước)
Đề thi Học kì 1 Toán 8 trường THCS Hoàng Văn Thụ (Tp. HCM) năm 2025-2026
Đề thi Học kì 1 Toán 8 trường THCS Phan Chu Trinh (Hà Nội) năm 2025-2026
Đề thi Học kì 1 Toán 8 trường THCS Nguyễn Gia Thiều (Tp. HCM) năm 2025-2026
Đề thi Học kì 1 Toán 8 trường THCS Nguyễn Trường Tộ (Hà Nội) năm 2025-2026
Đề thi Học kì 1 Toán 8 trường THCS Phạm Ngọc Thạch (Tp. HCM) năm 2025-2026
Đề thi Học kì 1 Toán 8 trường THPT chuyên Hà Nội – Amsterdam năm 2025-2026
Đề thi Học kì 1 Toán 8 trường Lương Thế Vinh (Hà Nội) năm 2025-2026
Đề thi Học kì 1 Toán 8 trường THCS Đông Thạnh (Tp. HCM) năm 2025-2026
Phòng Giáo dục và Đào tạo ...
Đề thi Học kì 1 - Kết nối tri thức
năm 2025
Môn: Toán 8
Thời gian làm bài: phút
(Đề số 1)
A. TRẮC NGHIỆM (7,0 điểm)
Phần 1. Câu trắc nghiệm nhiều phương án lựa chọn (3,0 điểm)
Trong mỗi câu hỏi từ câu 1 đến câu 12, hãy viết chữ cái in hoa đứng trước phương án đúng duy nhất vào bài làm.
Câu 1. Cho các biểu thức đại số sau:
Có bao nhiêu đơn thức trong các biểu thức đã cho ở trên?
A. 5.
B. 4.
C. 3.
D. 2.
Câu 2. Bậc của đơn thức 2x2y(2y3)2là
A. 5.
B. 7.
C. 8.
D. 9.
Câu 3. Khẳng định nào sau đây là đúng?
A. (A + B)2 = A2 + 2AB + B2.
B. (A + B)2 = A2 + AB + B2.
C. (A + B)2 = A2 + B2.
D. (A + B)2 = A2 - 2AB + B2.
Câu 4. Phân tích đa thức 3x2 - 6xy + 3y2 - 12z2 thành nhân tử ta được
A. 3(x - y - 2z)(x + y + 2z).
B. 3(x + y - 2z)(x - y + 2z).
C. 3(x + y - 2z)(x + y + 2z).
D. 3(x + y - 2z)(x + y + 2z).
Câu 5. Trong các khẳng định sau, khẳng định nào là sai?
A. Trong hình chữ nhật có hai đường chéo bằng nhau.
B. Tứ giác có ba góc vuông là hình chữ nhật.
C. Trong hình chữ nhật có hai đường chéo cắt nhau tại trung điểm mỗi đường.
D. Trong hình chữ nhật có hai cạnh kề bằng nhau.
Câu 6. Hình thoi cần thêm yếu tố nào để trở thành hình vuông?
A. Hai đường chéo vuông góc.
B. Hai đường chéo bằng nhau.
C. Hai cạnh kề bằng nhau.
D. Hai cạnh kề bằng nhau.
Câu 7. Đường trung bình của tam giác là đoạn thẳng đi qua
A. trung điểm của một cạnh của một tam giác.
B. trung điểm của hai cạnh của một tam giác.
C. hai đỉnh của một tam giác.
D. một đỉnh và một trung điểm của một cạnh của một tam giác.
Câu 8. Cho ∆ABC có AB = 4 cm; AC = 9 cm. Gọi AD là tia phân giác của Tỉ số bằng
A.
B.
C.
D.
Câu 9. Trong các dãy dữ liệu sau đây, dữ liệu nào là số liệu liên tục?
A. Số học sinh của mỗi lớp khối 8.
B. Tên các bạn tổ 1 của lớp 8A.
C. Tuổi nghề của các công nhân trong một phân xưởng.
D. Nhiệt độ trung bình (độ C) của các ngày trong năm.
Câu 10. Nhiệt độ trung bình các tháng trong năm của một quốc gia được biểu diễn trong bảng sau:
Biểu đồ thích hợp để biểu diễn dữ liệu trong bảng trên là
A. Biểu đồ hình quạt tròn.
B. Biểu đồ cột tranh.
C. Biểu đồ đoạn thẳng.
D. Không thể biểu diễn được.
Câu 11. Mỗi câu lạc bộ tại trường Trung học cơ sở Kim Đồng có 15 học sinh. Số lượng học sinh nam và học sinh nữ của mỗi câu lạc bộ được biểu diễn trong bảng số liệu sau đây.
Biết trong biểu đồ trên có dữ liệu thống kê của câu lạc bộ chưa chính xác, đó là
A. Cầu lông.
B. Bóng bán.
C. Cờ vua.
D. Cầu lông, cờ vua.
Câu 12. Thống kê số lượt hành khách vận chuyển bằng đường bộ ở Khánh Hòa trong các năm 2015; 2018; 2019; 2020 bằng bảng dưới đây:
Hỏi số lượt hành khách vận chuyển bằng đường bộ ở Khánh Hòa năm 2020 giảm bao nhiêu phần trăm so với năm 2019? (Kết quả làm tròn đến hàng phần mười)
A. 35,6%.
B. 52,5%.
C. 32,5%.
D. 61,9%.
Phần 2. Câu trắc nghiệm đúng sai (2,0 điểm)
Trong câu 13 và câu 14, hãy chọn đúng hoặc sai cho mỗi ý a), b), c), d).
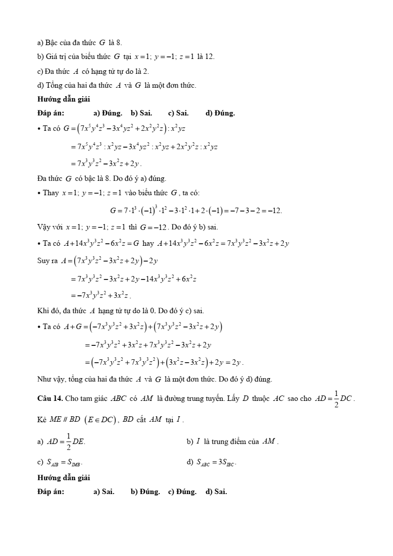
Câu 13. Cho đa thức G = (7x5y4z3 - 3x3yz2 + 2x2y2z) : x2yz.
Đa thức A thỏa mãn A + 14x3y3z2 - 6x2z = G.
a) Bậc của đa thức G là 8.
b) Giá trị của biểu thức G tại x = 1; y = -1; z = 1 là 12.
c) Đa thức A có hạng tử tự do là 2.
d) Tổng của hai đa thức A và G là một đơn thức.
Câu 14. Cho tam giác ABC có AM là đường trung tuyến. Lấy D thuộc AC sao cho . Kẻ ME // BD (E ∈ DC), BD cắt AM tại I.
a)
b) I là trung điểm của AM.
c) SAIB = SIMB
d) SABC = 3SIBC
Phần 3. Câu hỏi trắc nghiệm trả lời ngắn (2,0 điểm)
Trong mỗi câu hỏi từ câu 15 đến câu 18, hãy viết câu trả lời/ đáp án vào bài làm mà không cần trình bày lời giải chi tiết.
Câu 15. Cho biểu thức M = (x + 3)3 - (x + 9)(x2 + 27). Giá trị của biểu thức M bằng bao nhiêu?
Câu 16. Có bao nhiêu giá trị của x thỏa mãn 2x(x - 3) - 5(3 - x) = 0?
Câu 17. Cho tứ giác MNPQ có PM là tia phân giác của góc Biết và Tính số đo của (đơn vị: độ).
Câu 18. Cho biết ∆ABC có AB = 4 cm, BC = 6 cm, CA = 8 cm và AD là đường phân giác của ∆ABC. Tính độ dài cạnh DB theo đơn vị cm.
B. TỰ LUẬN (3,0 điểm)
Bài 1. (1,5 điểm) Biểu đồ đoạn thẳng biểu diễn vốn sản xuất kinh doanh bình quân hàng năm của doanh nghiệp nhà nước của Việt Nam qua các năm 2015; 2017; 2018; 2019; 2020. (đơn vị: nghìn tỷ đồng).
(Nguồn: Niên giám thống kê 2021)
a) Biểu đồ trên là biểu đồ gì? Để thu được dữ liệu được biểu diễn ở biểu đồ trên, ta sử dụng phương pháp thu thập trực tiếp hay gián tiếp?
b) Năm 2020 vốn sản xuất kinh doanh bình quân của doanh nghiệp nhà nước tăng bao nhiêu phần trăm so năm 2015 (làm tròn kết quả đến hàng phần mười)?
c) Tính tỉ số phần trăm vốn sản xuất kinh doanh bình quân của doanh nghiệp nhà nước trong năm 2020 và tổng số vốn sản xuất kinh doanh bình quân của doanh nghiệp nhà nước trong các năm còn lại (làm tròn kết quả đến hàng phần mười).
Bài 2. (1,0 điểm) Cho tam giác ABC vuông ở A. Gọi E, G, F lần lượt là trung điểm của AB, BC, AC. Từ E kẻ đường thẳng song song với BF, đường thẳng này cắt GF tại I.
a) Chứng minh tứ giác BEIF là hình bình hành.
b) Tìm điều kiện của tam giác ABC để tứ giác AGCI là hình vuông.
Bài 3. (0,5 điểm) Bố Bình có một vườn cây hình tam giác, 3 đỉnh góc vườn có lắp 3 vòi tưới, 3 mép vườn lần lượt trồng ổi, táo và bưởi. Vì hàng bưởi dài nên bố Bình muốn lắp thêm một vòi tưới số 4 tại hàng bưởi sao cho khoảng cách từ vòi này tới vòi 2 và tới vòi 3 tỉ lệ với độ dài hàng ổi và hàng táo, biết góc vườn tại vòi 1 là 110°.
Hãy xác định vị trí của điểm đặt vòi 4 và cho biết khoảng cách từ vòi tưới số 4 tới vòi tưới số 3, biết khoảng cách từ vòi 2 đến vòi 4 là 12 m và chiều dài hàng ổi là 15m, hàng táo là 20 m.
-----HẾT-----
Phòng Giáo dục và Đào tạo ...
Đề thi Học kì 1 - Kết nối tri thức
năm 2025
Môn: Toán 8
Thời gian làm bài: phút
(Đề số 2)
PHẦN I. TRẮC NGHIỆM KHÁCH QUAN (3,0 điểm)
Hãy viết chữ cái in hoa đứng trước phương án đúng duy nhất trong mỗi câu sau vào bài làm.
Câu 1. Đa thức có bao nhiêu hạng tử?
A. 3.
B. 4.
C. 5.
D. 6.
Câu 2. Thương của phép chia (3x5 - 2x3 + 4x2) : 2x2 bằng
A. .
B. .
C. .
D. .
Câu 3. Giá trị biểu thức x + y - x2 + y2 tại x = 8và y = 8 bằng
A. 16.
B. -1.
C. -64.
D. 64.
Câu 4. Kết quả của khai triển phép tính là
A. .
B. .
C. .
D. .
Câu 5. Để biểu thức 4x2 - 20x + 5a là bình phương của một hiệu thì giá trị của a bằng
A. 10.
B. -10.
C. 5.
D. -5.
Câu 6. Cho các hình vẽ sau:
Trong các hình sau, những hình nào là hình vuông?
A. Hình 1.
B. Hình 2.
C. Hình 2.
D. Hình 4.
Câu 7. Trong các khẳng định sau, khẳng định nào sai?
A. Tứ giác có các cạnh đối song song là hình bình hành.
B. Tứ giác có các cạnh đối bằng nhau là hình bình hành.
C. Tứ giác có hai góc đối bằng nhau là hình bình hành.
D. Tứ giác có hai đường chéo cắt nhau tại trung điểm mỗi đường là hình bình hành.
Câu 8. Cho tam giác ABC cân tại A. Gọi D, E theo thứ tự thuộc các cạnh bên AB, AC sao cho DE // BC.
Chọn đáp án đúng nhất. Tứ giác BDEC là hình gì?
A. Hình thang cân.
B. Hình thang vuông.
C. Hình tam giác.
D. Cả A, B, C đều sai.
Câu 9. Cho tam giác ABC có BM là tia phân giác của thì
A. .
B. .
C. .
D. .
|
Câu 10. Cho hình vẽ. Giá trị của x là A. 5,5. B. 10. C. 3. D. 1,75. |
|
Câu 11. Các món ăn yêu thích của học sinh lớp 8A ghi lại trong bảng sau:
|
Món ăn ưa thích |
Số bạn yêu thích |
|
Bánh mì |
8 |
|
Chân gà |
11 |
|
Ngô nướng |
7 |
|
Xúc xích |
9 |
Dữ liệu định lượng trong bảng là
A. Món ăn ưa thích: Bánh mì, Chân gà, Ngô nướng, Xúc xích.
B. Số bạn yêu thích: 8; 11; 7; 9.
C. Bánh mì, Chân gà, Ngô nướng, Xúc xích, 8, 11, 7, 9.
D. Cả A, B, C đều đúng.
Câu 12. Thành phần của một loại thép được biểu diễn trong biểu đồ dưới đây:
Khối lượng sắt trong một thanh thép nặng 1 kg là
A. 953 g.
B. 26 g.
C. 21 g.
D. 95,3 g.
PHẦN II. TỰ LUẬN (7,0 điểm)
Bài 1. (1,0 điểm) Tính và thu gọn các biểu thức sau:
a) 5y - 4x - 8 - (y + 2x - 3).
b) (2x - y)(4x - 3y) - 20z3y2 : (-2x2y).
Bài 2. (1,5 điểm) Phân tích đa thức thành nhân tử:
a) x2 - 10x + 25 - y2;
b) x3 + y3 - 3x - 3y;
c) x3 + 2x2y + xy2 - 4x.
Bài 3. (1,0 điểm) Biểu đồ cột biểu diễn sản lượng khoai lang ở Phú Thọ qua các năm 2015; 2018; 2019; 2020 (đơn vị: nghìn tấn):
(Nguồn: Niên giám thống kê 2021)
a) Biểu đồ trên là biểu đồ gì? Để thu được dữ liệu được biểu diễn ở biểu đồ trên, ta sử dụng phương pháp thu thập trực tiếp hay gián tiếp?
b) Năm 2019 sản lượng khoai lang ở Phú Thọ tăng hay giảm bao nhiêu phần trăm so với năm 2015 (làm tròn kết quả đến hàng phần mười)? Em có nhận xét gì về sản lượng khoai lang ở Phú Thọ qua các năm 2015; 2018; 2019; 2020.
Bài 4. (1,0 điểm) Với số liệu được ghi trên hình vẽ bên dưới. Tính khoảng cách CD từ con tàu đến trạm quan trắc đặt tại điểm C
Bài 5. (2,0 điểm) Cho nhọn có AB < AC. Gọi N là trung điểm củaAC. Lấy điểm D trên tia BN sao cho BN = ND. Kẻ .
a) Chứng minh N là trung điểm của PQ.
b) Tam giác ABC cần thêm điều kiện gì để tứ giác ABCD là hình vuông.
Bài 6. (0,5 điểm) Cho hai số x, y thỏa mãn điều kiện . Tính giá trị của biểu thức .
−−−−−HẾT−−−−−
ĐÁP ÁN & HƯỚNG DẪN GIẢI
PHẦN I. TRẮC NGHIỆM KHÁCH QUAN (3,0 điểm)
Bảng đáp án trắc nghiệm:
|
Câu |
1 |
2 |
3 |
4 |
5 |
6 |
7 |
8 |
9 |
10 |
11 |
12 |
|
Đáp án |
B |
D |
A |
D |
C |
B |
C |
A |
C |
A |
C |
A |
PHẦN II. TỰ LUẬN (7,0 điểm)
Bài 1. (1,0 điểm):
a) 5y - 4x - 8 - (y + 2x - 3)
= 5y - 4x - 8 - y + 2x - 3
= (-2x - 4x) + (5y - y) + (3 - 8)
= -6x + 4y - 5.
b) (2x - y)(4x - 3y) - 20z3y2 : (-2x2y)
=
=
= .
Bài 2. (1,5 điểm):
a) x2 - 10x + 25 - y2
= (x - 5)2 - y2
= (x - 5 + y)(x - 5 - y)
= (x + y - 5)(x - y - 5).
b) x3 + y3 - 3x - 3y
= (x3 + y3) - (3x - 3y)
= (x + y)(x2 - xy + y2) - 3(x + y)
= (x + y)(x2 - xy + y2 - 3).
c) x3 + 2x2y + xy2 - 4x
= x(x2 + 2xy + y2) - 4x
= x(x + y)2 - 4x
= x[(x + y)2 - 22]
= x(x + y + 2)(x + y -2)
Bài 3. (1,0 điểm):
a) Biểu đồ đã cho là biểu đồ cột.
Để thu được dữ liệu được biểu diễn ở biểu đồ trên, ta sử dụng phương pháp thu thập gián tiếp bằng cách truy cập website của Niên giám thống kê 2021.
b) Ta thấy sản lượng khoai lang Phú Thọ năm 2019 nhỏ hơn sản lượng khoai lang Phú Thọ năm 2015 (vì 10,2 < 14,5).
Do đó, sản lượng khoai lang Phú Thọ năm 2019 giảm so với năm 2015.
Tỉ số phần trăm sản lượng khoai lang ở Phú Thọ trong năm 2019 so với năm 2015 là: .
Vậy năm 2019 sản lượng khoai lang ở Phú Thọ tăng khoảng 100% - 70,3% = 29,7% so với năm 2015.
Nhận xét: Dựa vào số liệu được biểu diễn trên biểu đồ, ta thấy sản lượng khoai lang ở Phú Thọ giảm dần qua các năm 2015; 2018; 2019; 2020.
Bài 4. (1,0 điểm):
Ta có: mà hai góc ở vị trí đồng vị nên CD // BE.
Ta có AC = AB + BC = 200 + 400 = 600 (m).
Theo hệ quả định lí Thalès, ta có:
Hay suy ra CD = = 360 (m).
Vậy khoảng cách từ con tàu đến trạm quan trắc là 360 m.
Bài 5. (2,0 điểm):
b) Tứ giác ABCD có hai đường chéo AC, BD cắt nhau tại trung điểm N của mỗi đường nên là hình bình hành.
Để tứ giác ABCD là hình vuông thì ta cần , AB = BC hay vuông cân tại B.
Vậy để tứ giác ABCD là hình vuông thì tam giác ABC vuông cân tại B.
Bài 6. (0,5 điểm):
−−−−−HẾT−−−−−
................................
................................
................................
Trên đây tóm tắt một số nội dung miễn phí trong bộ Đề thi Toán 8 năm 2026 mới nhất, để mua tài liệu trả phí đầy đủ, Thầy/Cô vui lòng xem thử:
Tham khảo đề thi Toán 8 Kết nối tri thức có đáp án hay khác:
Tủ sách VIETJACK shopee lớp 6-8 (2025):
Đã có app VietJack trên điện thoại, giải bài tập SGK, SBT Soạn văn, Văn mẫu, Thi online, Bài giảng....miễn phí. Tải ngay ứng dụng trên Android và iOS.
Theo dõi chúng tôi miễn phí trên mạng xã hội facebook và youtube:Bộ đề thi các môn học lớp 8 năm 2025 Học kì 1, Học kì 2 của chúng tôi được biên soạn và sưu tầm từ đề thi khối lớp 8 của các trường THCS trên cả nước.
Nếu thấy hay, hãy động viên và chia sẻ nhé! Các bình luận không phù hợp với nội quy bình luận trang web sẽ bị cấm bình luận vĩnh viễn.
- Giải Tiếng Anh 8 Global Success
- Giải sgk Tiếng Anh 8 Smart World
- Giải sgk Tiếng Anh 8 Friends plus
- Lớp 8 - Kết nối tri thức
- Soạn văn 8 (hay nhất) - KNTT
- Soạn văn 8 (ngắn nhất) KNTT
- Giải sgk Toán 8 - KNTT
- Giải sgk Khoa học tự nhiên 8 - KNTT
- Giải sgk Lịch Sử 8 - KNTT
- Giải sgk Địa Lí 8 - KNTT
- Giải sgk Giáo dục công dân 8 - KNTT
- Giải sgk Tin học 8 - KNTT
- Giải sgk Công nghệ 8 - KNTT
- Giải sgk Hoạt động trải nghiệm 8 - KNTT
- Giải sgk Âm nhạc 8 - KNTT
- Lớp 8 - Chân trời sáng tạo
- Soạn văn 8 (hay nhất) - CTST
- Soạn văn 8 (ngắn nhất) - CTST
- Giải sgk Toán 8 - CTST
- Giải sgk Khoa học tự nhiên 8 - CTST
- Giải sgk Lịch Sử 8 - CTST
- Giải sgk Địa Lí 8 - CTST
- Giải sgk Giáo dục công dân 8 - CTST
- Giải sgk Tin học 8 - CTST
- Giải sgk Công nghệ 8 - CTST
- Giải sgk Hoạt động trải nghiệm 8 - CTST
- Giải sgk Âm nhạc 8 - CTST
- Lớp 8 - Cánh diều
- Soạn văn 8 Cánh diều (hay nhất)
- Soạn văn 8 Cánh diều (ngắn nhất)
- Giải sgk Toán 8 - Cánh diều
- Giải sgk Khoa học tự nhiên 8 - Cánh diều
- Giải sgk Lịch Sử 8 - Cánh diều
- Giải sgk Địa Lí 8 - Cánh diều
- Giải sgk Giáo dục công dân 8 - Cánh diều
- Giải sgk Tin học 8 - Cánh diều
- Giải sgk Công nghệ 8 - Cánh diều
- Giải sgk Hoạt động trải nghiệm 8 - Cánh diều
- Giải sgk Âm nhạc 8 - Cánh diều


Giải bài tập SGK & SBT
Tài liệu giáo viên
Sách
Khóa học
Thi online
Hỏi đáp

