Mở đầu trang 84 Toán 10 Tập 1 - Kết nối tri thức
Giải Toán 10 Kết nối tri thức Bài 14: Các số đặc trưng đo độ phân tán
Mở đầu trang 84 Toán 10 Tập 1: Dưới đây là điểm trung bình môn học kì I của hai bạn An và Bình:
Điểm trung bình môn học kì của An và Bình đều là 8,0 nhưng rõ ràng Bình “học đều” hơn An. Có thể dùng những số đặc trưng nào để đo mức độ “học đều”?
Lời giải:
Bài học này sẽ giới thiệu một vài số đặc trưng như (khoảng biến thiên, khoảng tứ phân vị, độ lệch chuẩn và phương sai).
Ở đây ta sẽ sử dụng độ lệch chuẩn để so sánh
Điểm trung bình môn học kì I của An là:
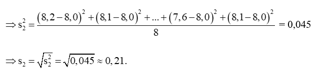
Điểm trung bình môn học kì I của Bình là
Vì s2 < s1 nên độ phân tán của số liệu 2 nhỏ hơn độ phân tán của số liệu 1 hay bạn Bình học đều hơn bạn An.
Lời giải bài tập Toán 10 Bài 14: Các số đặc trưng đo độ phân tán hay, chi tiết khác:
Các bài học để học tốt Toán 10 Bài 14: Các số đặc trưng đo độ phân tán:
Xem thêm lời giải bài tập Toán lớp 10 Kết nối tri thức hay, chi tiết khác:
Xem thêm các tài liệu học tốt lớp 10 hay khác:
- Giải sgk Toán 10 Kết nối tri thức
- Giải Chuyên đề học tập Toán 10 Kết nối tri thức
- Giải SBT Toán 10 Kết nối tri thức
- Giải lớp 10 Kết nối tri thức (các môn học)
- Giải lớp 10 Chân trời sáng tạo (các môn học)
- Giải lớp 10 Cánh diều (các môn học)
Tủ sách VIETJACK shopee lớp 10-11 (cả 3 bộ sách):
Đã có app VietJack trên điện thoại, giải bài tập SGK, SBT Soạn văn, Văn mẫu, Thi online, Bài giảng....miễn phí. Tải ngay ứng dụng trên Android và iOS.
Theo dõi chúng tôi miễn phí trên mạng xã hội facebook và youtube:Nếu thấy hay, hãy động viên và chia sẻ nhé! Các bình luận không phù hợp với nội quy bình luận trang web sẽ bị cấm bình luận vĩnh viễn.
- Soạn văn 10 (hay nhất) - KNTT
- Soạn văn 10 (ngắn nhất) - KNTT
- Soạn văn 10 (siêu ngắn) - KNTT
- Giải sgk Toán 10 - KNTT
- Giải Tiếng Anh 10 Global Success
- Giải Tiếng Anh 10 Friends Global
- Giải sgk Tiếng Anh 10 iLearn Smart World
- Giải sgk Tiếng Anh 10 Explore New Worlds
- Giải sgk Vật lí 10 - KNTT
- Giải sgk Hóa học 10 - KNTT
- Giải sgk Sinh học 10 - KNTT
- Giải sgk Địa lí 10 - KNTT
- Giải sgk Lịch sử 10 - KNTT
- Giải sgk Kinh tế và Pháp luật 10 - KNTT
- Giải sgk Tin học 10 - KNTT
- Giải sgk Công nghệ 10 - KNTT
- Giải sgk Hoạt động trải nghiệm 10 - KNTT
- Giải sgk Giáo dục quốc phòng 10 - KNTT


Giải bài tập SGK & SBT
Tài liệu giáo viên
Sách
Khóa học
Thi online
Hỏi đáp

