Bài 5.13 trang 88 Toán 10 Tập 1 - Kết nối tri thức
Giải Toán 10 Kết nối tri thức Bài 14: Các số đặc trưng đo độ phân tán
Bài 5.13 trang 88 Toán 10 Tập 1: Cho mẫu số liệu gồm 10 số dương không hoàn toàn giống nhau. Các số đo độ phân tán (khoảng biến thiên, khoảng tứ phân vị, độ lệch chuẩn) sẽ thay đổi như thế nào nếu:
a) Nhân mỗi giá trị của mẫu số liệu với 2.
b) Cộng mỗi giá trị của mẫu số liệu với 2.
Lời giải:
a) Gọi các giá trị dương của mẫu số liệu ban đầu theo thứ tự từ bé đến lớn là: a; b; c; d; e; f; g; h; i; k.
Số trung bình cộng của mẫu số liệu là:
Phương sai:
Độ lệch chuẩn:
Giá trị lớn nhất là k, giá trị nhỏ nhất là a. Khi đó khoảng biến thiên: R = k – a.
Vì n = 10 nên trung vị là trung bình cộng hai giá trị chính giữa:
Nửa mẫu số liệu bên trái có tứ phân vị thứ nhất là
Nửa mẫu số liệu bên phải có tứ phân vị thứ ba là .
Khi đó khoảng tứ phân vị là:
Nhân mỗi giá trị của mẫu số liệu với 2 ta được dãy số liệu mới theo thứ tự từ bé đến lớn là: 2a; 2b; 2c; 2d; 2e; 2f; 2g; 2h; 2i; 2k.
Số trung bình cộng của mẫu số liệu là:
Phương sai:
Độ lệch chuẩn:
Giá trị lớn nhất là k, giá trị nhỏ nhất là a. Khi đó khoảng biến thiên: R’ = 2k – 2a = 2R.
Ta có: tứ phân vị thứ nhất là và tứ phân vị thứ ba là . Khi đó khoảng tứ phân vị là:
Vậy các khoảng biến thiên, độ lệch chuẩn, khoảng tứ phân vị của dãy số liệu mới bằng hai lần các khoảng biến thiên, độ lệch chuẩn, khoảng tứ phân vị ban đầu.
b)
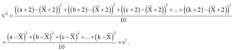
Các giá trị dương của mẫu số liệu khi cộng thêm mẫu số liệu với 2 ta được: a + 2; b + 2; c + 2; d + 2; e + 2; f + 2; g + 2; h + 2; i + 2; k + 2.
Số trung bình cộng của mẫu số liệu là:
Phương sai:
Độ lệch chuẩn:
Giá trị lớn nhất là k, giá trị nhỏ nhất là a. Khi đó khoảng biến thiên: R’ = 2 + k – (2 + a) = k – a = R.
Ta có: tứ phân vị thứ nhất là
và tứ phân vị thứ ba là
.
Khi đó khoảng tứ phân vị là:
Vậy các khoảng biến thiên, độ lệch chuẩn, khoảng tứ phân vị của dãy số liệu mới bằng các khoảng biến thiên, độ lệch chuẩn, khoảng tứ phân vị ban đầu.
Lời giải bài tập Toán 10 Bài 14: Các số đặc trưng đo độ phân tán hay, chi tiết khác:
Mở đầu trang 84 Toán 10 Tập 1: Dưới đây là điểm trung bình môn học kì I của hai bạn An và Bình: ....
Các bài học để học tốt Toán 10 Bài 14: Các số đặc trưng đo độ phân tán:
Xem thêm lời giải bài tập Toán lớp 10 Kết nối tri thức hay, chi tiết khác:
Xem thêm các tài liệu học tốt lớp 10 hay khác:
- Giải sgk Toán 10 Kết nối tri thức
 - Giải Chuyên đề học tập Toán 10 Kết nối tri thức
 - Giải SBT Toán 10 Kết nối tri thức
 - Giải lớp 10 Kết nối tri thức (các môn học)
 - Giải lớp 10 Chân trời sáng tạo (các môn học)
 - Giải lớp 10 Cánh diều (các môn học)
 
Tủ sách VIETJACK shopee lớp 10-11 (cả 3 bộ sách):
Đã có app VietJack trên điện thoại, giải bài tập SGK, SBT Soạn văn, Văn mẫu, Thi online, Bài giảng....miễn phí. Tải ngay ứng dụng trên Android và iOS.
Theo dõi chúng tôi miễn phí trên mạng xã hội facebook và youtube:Nếu thấy hay, hãy động viên và chia sẻ nhé! Các bình luận không phù hợp với nội quy bình luận trang web sẽ bị cấm bình luận vĩnh viễn.
- Soạn văn 10 (hay nhất) - KNTT
 - Soạn văn 10 (ngắn nhất) - KNTT
 - Soạn văn 10 (siêu ngắn) - KNTT
 - Giải sgk Toán 10 - KNTT
 - Giải Tiếng Anh 10 Global Success
 - Giải Tiếng Anh 10 Friends Global
 - Giải sgk Tiếng Anh 10 iLearn Smart World
 - Giải sgk Tiếng Anh 10 Explore New Worlds
 - Giải sgk Vật lí 10 - KNTT
 - Giải sgk Hóa học 10 - KNTT
 - Giải sgk Sinh học 10 - KNTT
 - Giải sgk Địa lí 10 - KNTT
 - Giải sgk Lịch sử 10 - KNTT
 - Giải sgk Kinh tế và Pháp luật 10 - KNTT
 - Giải sgk Tin học 10 - KNTT
 - Giải sgk Công nghệ 10 - KNTT
 - Giải sgk Hoạt động trải nghiệm 10 - KNTT
 - Giải sgk Giáo dục quốc phòng 10 - KNTT
 
   

		                    Giải bài tập SGK & SBT
		                
		                    Tài liệu giáo viên
		                
		                    Sách
		                
		                    Khóa học
		                
		                    Thi online
		                
		                    Hỏi đáp
		                
