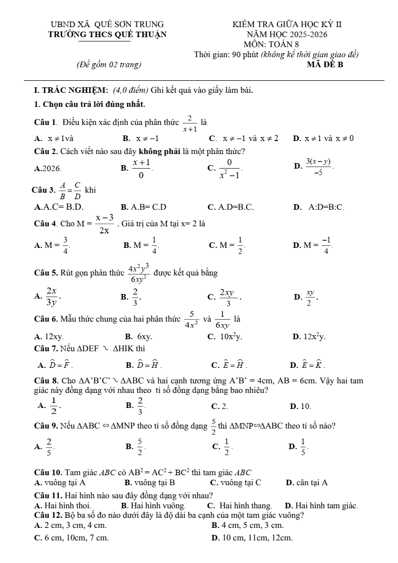
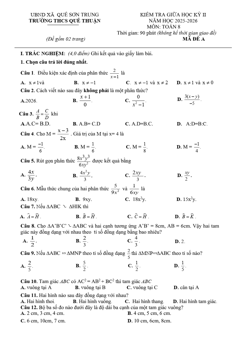
Đề thi Giữa kì 2 Toán 8 trường THCS Quế Thuận (Đà Nẵng) năm 2025-2026
Với đề thi Giữa kì 2 Toán 8 năm 2025-2026 trường THCS Quế Thuận, Đà Nẵng có đáp án sẽ giúp học sinh lớp 8 ôn tập và đạt điểm cao trong bài thi Toán 8.
Đề thi Giữa kì 2 Toán 8 trường THCS Quế Thuận (Đà Nẵng) năm 2025-2026
Xem thử Đề thi GK2 Toán 8 KNTT Xem thử Đề thi GK2 Toán 8 CTST Xem thử Đề thi GK2 Toán 8 CD
Chỉ từ 150k mua trọn bộ đề thi Toán 8 Giữa kì 2 theo cấu trúc mới bản word có lời giải chi tiết, dễ dàng chỉnh sửa:
- B1: gửi phí vào tk:
1133836868- CT TNHH DAU TU VA DV GD VIETJACK - Ngân hàng MB (QR) - B2: Nhắn tin tới Zalo VietJack Official - nhấn vào đây để thông báo và nhận đề thi
Xem thử Đề thi GK2 Toán 8 KNTT Xem thử Đề thi GK2 Toán 8 CTST Xem thử Đề thi GK2 Toán 8 CD
Xem thêm đề thi Toán 8 Giữa kì 2 các trường trên cả nước hay khác:
Đề thi Giữa kì 2 Toán 8 trường THCS Đồi Ngô (Bắc Ninh) năm 2025-2026
Đề thi Giữa kì 2 Toán 8 trường THCS Trần Bích San (Ninh Bình) năm 2025-2026
Đề thi Giữa kì 2 Toán 8 trường THCS Động Đạt I (Thái Nguyên) năm 2025-2026
Đề thi Giữa kì 2 Toán 8 trường THCS Nguyên Khê (Hà Nội) năm 2025-2026
Đề thi Giữa kì 2 Toán 8 trường THCS Phương Liệt (Hà Nội) năm 2025-2026
Đề thi Giữa kì 2 Toán 8 trường THCS Văn Yên (Hà Nội) năm 2025-2026
Đề thi Giữa kì 2 Toán 8 trường THCS Nghĩa Tân (Hà Nội) năm 2025-2026
Đề thi Giữa kì 2 Toán 8 trường THCS Phan Chu Trinh (Hà Nội) năm 2025-2026
Đề thi Giữa kì 2 Toán 8 trường THCS&THPT Lương Thế Vinh (Hà Nội) năm 2025-2026
Đã có app VietJack trên điện thoại, giải bài tập SGK, SBT Soạn văn, Văn mẫu, Thi online, Bài giảng....miễn phí. Tải ngay ứng dụng trên Android và iOS.
Theo dõi chúng tôi miễn phí trên mạng xã hội facebook và youtube:Bộ đề thi các môn học lớp 8 năm 2025 Học kì 1, Học kì 2 của chúng tôi được biên soạn và sưu tầm từ đề thi khối lớp 8 của các trường THCS trên cả nước.
Nếu thấy hay, hãy động viên và chia sẻ nhé! Các bình luận không phù hợp với nội quy bình luận trang web sẽ bị cấm bình luận vĩnh viễn.
- Giải Tiếng Anh 8 Global Success
- Giải sgk Tiếng Anh 8 Smart World
- Giải sgk Tiếng Anh 8 Friends plus
- Lớp 8 - Kết nối tri thức
- Soạn văn 8 (hay nhất) - KNTT
- Soạn văn 8 (ngắn nhất) KNTT
- Giải sgk Toán 8 - KNTT
- Giải sgk Khoa học tự nhiên 8 - KNTT
- Giải sgk Lịch Sử 8 - KNTT
- Giải sgk Địa Lí 8 - KNTT
- Giải sgk Giáo dục công dân 8 - KNTT
- Giải sgk Tin học 8 - KNTT
- Giải sgk Công nghệ 8 - KNTT
- Giải sgk Hoạt động trải nghiệm 8 - KNTT
- Giải sgk Âm nhạc 8 - KNTT
- Lớp 8 - Chân trời sáng tạo
- Soạn văn 8 (hay nhất) - CTST
- Soạn văn 8 (ngắn nhất) - CTST
- Giải sgk Toán 8 - CTST
- Giải sgk Khoa học tự nhiên 8 - CTST
- Giải sgk Lịch Sử 8 - CTST
- Giải sgk Địa Lí 8 - CTST
- Giải sgk Giáo dục công dân 8 - CTST
- Giải sgk Tin học 8 - CTST
- Giải sgk Công nghệ 8 - CTST
- Giải sgk Hoạt động trải nghiệm 8 - CTST
- Giải sgk Âm nhạc 8 - CTST
- Lớp 8 - Cánh diều
- Soạn văn 8 Cánh diều (hay nhất)
- Soạn văn 8 Cánh diều (ngắn nhất)
- Giải sgk Toán 8 - Cánh diều
- Giải sgk Khoa học tự nhiên 8 - Cánh diều
- Giải sgk Lịch Sử 8 - Cánh diều
- Giải sgk Địa Lí 8 - Cánh diều
- Giải sgk Giáo dục công dân 8 - Cánh diều
- Giải sgk Tin học 8 - Cánh diều
- Giải sgk Công nghệ 8 - Cánh diều
- Giải sgk Hoạt động trải nghiệm 8 - Cánh diều
- Giải sgk Âm nhạc 8 - Cánh diều


Giải bài tập SGK & SBT
Tài liệu giáo viên
Sách
Khóa học
Thi online
Hỏi đáp

