Đề kiểm tra Hóa học 12 Cánh diều Chủ đề 2 (có lời giải)
Đề kiểm tra Hóa học 12 Cánh diều Chủ đề 2: Carbohydrate có đáp án chi tiết đầy đủ các mức độ sẽ giúp học sinh lớp 12 ôn luyện Hóa học 12.
Đề kiểm tra Hóa học 12 Cánh diều Chủ đề 2 (có lời giải)
Chỉ từ 200k mua trọn bộ Bài tập ôn tập + Đề kiểm tra Hóa học 12 Cánh diều theo chương theo cấu trúc mới bản word có lời giải chi tiết, trình bày đẹp mắt, dễ dàng chỉnh sửa:
- B1: gửi phí vào tk:
1133836868- CT TNHH DAU TU VA DV GD VIETJACK - Ngân hàng MB (QR) - B2: Nhắn tin tới Zalo VietJack Official - nhấn vào đây để thông báo và nhận đề thi
Phần 1. Trắc nghiệm nhiều phương án lựa chọn
Câu 1. Carbohydrate có thành phần nguyên tố gồm
A. C, H, O, N.
B. C, H, O.
C. C, H, O, P.
D. C, H, O, Cl.
Câu 2. Carbohydrate là hợp chất hữu cơ tạp chức, thường có công thức chung dạng là
A.
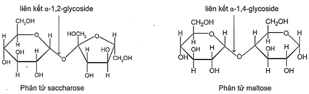
B.
C.
D.
Câu 3. Chất nào dưới đây là một polysaccharide?
A. Saccharose.
B. Tinh bột.
C. Glucose.
D. Fructose.
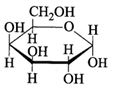
Câu 4. Ở trạng thái rắn, glucose chủ yếu tồn tại ở dạng mạch vòng β-glucose. Công thức cấu trúc của β-glucose là
A.
B.
C.
D.
Câu 5. Trong cấu tạo của glucose không có nhóm chức nào?
A. Ketone.
B. Aldehyde.
C. Hydroxy.
D. Hemiacetal.
Câu 6. Chất nào sau đây có phản ứng tráng bạc?
A. Cellulose.
B. Glucose.
C. Tinh bột.
D. Saccharose.
Câu 7. Phát biểu nào sau đây không đúng về maltose?
A. Không làm mất màu nước bromine.
B. Có phản ứng thủy phân.
C. Là một disaccharide.
D. Phân tử còn một nhóm -OH hemiacetal.
Câu 8. Phát biểu nào sau đây không đúng?
A. Tinh bột tham gia phản ứng màu với dung dịch iodine.
B. Tinh bột tan tốt trong nước lạnh.
C. Tinh bột không tham gia phản ứng tráng bạc.
D. Tinh bột có tham gia phản ứng thuỷ phân.
Câu 9. Cho các chất sau: glucose, fructose, saccharose, maltose, tinh bột và cellulose. Số chất có phản ứng thủy phân là
A. 5.
B. 4.
C. 3.
D. 2.
Câu 10. Trong quá trình sản xuất bia bằng phương pháp lên men sinh học, dưới tác dụng của enzyme sẽ xảy ra quá trình chuyển hóa: X → maltose → Y. Chất X, Y tương ứng là
A. tinh bột và glucose.
B. cellulose và glucose.
C. cellulose và fructose.
D. tinh bột và fructose.
Câu 11. Chỉ dùng thuốc thử Tollens, đun nóng có thể phân biệt được cặp chất nào sau đây?
A. Glucose và maltose.
B. Glucose và glycerol.
C. Saccharose và glycerol.
D. Glucose và fructose.
Câu 12. Trong công nghiệp thực phẩm, saccharose được sử dụng phổ biến làm nguyên liệu để sản xuất bánh kẹo, nước giải khát,... Phát biểu nào sau đây là sai?
A. Saccharose thuộc loại polysaccharide.
B. Dung dịch saccharose hoà tan được cho dung dịch màu xanh lam.
C. Thuỷ phân saccharose thu được glucose và fructose.
D. Saccharose thường được tách từ nguyên liệu là cây mía, củ cải đường,...,
Câu 13. Trong điều kiện thích hợp, glucose được lên men tạo thành khí carbon dioxide và chất nào dưới đây?
A.
B.
C. HCOOH.
D.
Câu 14. Cho các carbohydrate sau: glucose, fructose, maltose, saccharose. Số carbohydrate đã cho có liên kết α-1,2-glycoside trong phân tử là
A. 4.
B. 3.
C. 2.
D. 1.
Câu 15. Cho các phát biểu sau về carbohydrate:
a) Số nhóm –OH trong phân tử saccharose là 8.
b) Amylopectin phân nhánh là do sự xuất hiện của liên kết α-1,6-glycoside.
c) Cellulose không phân nhánh do chỉ xuất hiện liên kết β-1,4-glycoside.
d) Saccharose và fructose không phải là đường khử.
Số phát biểu sai là
A. 1.
Β. 2.
С. 3.
D. 4.
Câu 16. Người ta dùng 1 tấn bột sắn (có 85% tinh bột về khối lượng) để sản xuất cồn. Khối lượng riêng của ethanol nguyên chất là 0,8 g/mL. Biết hiệu suất của toàn bộ quá trình này là 40%. Thể tích cồn 90o điều chế được là
A. 268,18 L.
B. 127,03 L.
C. 254,06 L.
D. 134,4 L.
Câu 17. Nồng độ glucose trong máu là 6 mmol/L có nghĩa là 1 dL máu chứa bao nhiêu mg glucose?
A. 10,8.
B. 108,0.
C. 1 080,0.
D. 10 800,0.
Câu 18. Cho sơ đồ phản ứng sau:
(1)
(2) Y + ammonium gluconate + Ag +
(3) Y E + Z
(4)
Các chất X, Y, Z lần lượt là
A. cellulose, fructose, carbon dioxide.
B. cellulose, saccharose, carbon dioxide.
C. tinh bột, glucose, carbon dioxide.
D. tinh bột, glucose, ethanol.
Phần 2. Trắc nghiệm đúng sai. Trong mỗi ý a, b, c, d ở mỗi câu, học sinh chọn đúng hoặc sai.
Câu 19. Cho cấu trúc dạng mạch vòng của glucose và fructose như sau:
a. Glucose và fructose đều có thể tham gia phản ứng thủy phân.
b. Glucose và fructose đều có công thức phân tử là
c. Glucose và fructose đều có thể mở vòng thành dạng mạch hở.
d. Glucose và fructose là đồng phân của nhau.
Câu 20. Thuỷ phân saccharose, thu được hai monosaccharide X và Y. Chất X thường có trong quả nho chín nên còn được gọi là đường nho.
a. X và Y đều không tan trong nước.
b. Y có không có phản ứng tráng bạc.
c. X và Y là đồng phân cấu tạo.
d. Y có tính chất của alcohol đa chức.
Câu 21. Cho cấu trúc phân tử saccharose và maltose như sau:
a. Saccharose và maltose đều là các disaccharide và là đồng phân của nhau.
b. Phân tử saccharose không còn nhóm -OH hemiacetal và nhóm -OH hemiketal.
c. Phân tử saccharose được tạo bởi một đơn vị β-glucose và một đơn vị α-fructose, liên kết với nhau qua nguyên tử oxygen giữa C1 của đơn vị β-glucose và C4 của đơn vị α-fructose.
d. Phân tử saccharose và maltose đều không có khả năng mở vòng.
Câu 22. Cho các phát biểu sau đây về hợp chất carbohydrate.
a. Tinh bột gồm amylose và amylopectin.
b. Cellulose và tinh bột đều là các disaccharide có trong tự nhiên.
c. Cellulose tan trong dung dịch chứa phức chất của với ammonia.
d. Glucose phản ứng với methyl alcohol (có mặt khí HCl) do trong cấu tạo có nhóm-OH hemiacetal.
Phần 3. Trắc nghiệm yêu cầu trả lời ngắn
Câu 23. Đường khử là thuật ngữ để chỉ các carbohydrate đóng vai trò chất khử do phân tử có sự hiện diện các nhóm aldehyde (-CHO) hoặc nhóm ketone (-CO-). Cho các carbohydrate gồm glucose, fructose, saccharose và maltose. Số chất carbohydrate là đường khử?
Câu 24. Cho các chất sau: fructose, glucose, saccharose, maltose, cellulose và tinh bột. Trong số các chất trên, có bao nhiêu chất tạo hợp chất màu xanh lam với ở nhiệt độ phòng?
Câu 25. Rỉ đường là sản phẩm phụ của quá trình tinh chế đường. Một loại rỉ đường chứa 41,04% saccharose, 20% hỗn hợp glucose và fructose (về khối lượng), còn lại là tạp chất trơ. Khi thủy phân 100 kg rỉ đường đã nêu ở trên với hiệu suất 80% thu được dung dịch X có chứa bao nhiêu kg hỗn hợp glucose, fructose?
Câu 26. Trong quá trình hô hấp, glucose phản ứng với oxygen tạo thành carbon dioxide và nước, giải phóng năng lượng cung cấp cho các hoạt động của cơ thể theo phương trình phản ứng:
Cho enthalpy tạo thành chuẩn của các chất như sau:
Chất |
||||
- 1 273,3 |
0 |
- 393,5 |
- 241,8 |
Giá trị biến thiên enthalpy chuẩn () của phản ứng trên là bao nhiêu kJ? (Làm tròn kết quả đến hàng đơn vị)
Câu 27. Một mẫu nước cam có khối lượng riêng 1,05 g/mL, chứa 2,5% fructose và 2,0% glucose về khối lượng. Tổng khối lượng của glucose và fructose có trong 200 mL mẫu nước cam trên là bao nhiêu?
Câu 28. Để sản xuất ethyl alcohol, người ta dùng nguyên liệu là mùn cưa và vỏ bào từ gỗ chứa 50% cellulose. Nếu muốn điều chế 100 kg ethyl alcohol, hiệu suất quá trình là 35%, thì khối lượng nguyên liệu mà nhà máy đó cần dùng là bao nhiêu kg? (Làm tròn kết quả đến hàng đơn vị)
................................
................................
................................
Xem thêm đề kiểm tra Hóa học lớp 12 Cánh diều có đáp án hay khác:
Xem thêm các tài liệu học tốt lớp 12 hay khác:
- Giải sgk Hóa học 12 Cánh diều
- Giải Chuyên đề học tập Hóa 12 Cánh diều
- Giải SBT Hóa học 12 Cánh diều
- Giải lớp 12 Cánh diều (các môn học)
- Giải lớp 12 Kết nối tri thức (các môn học)
- Giải lớp 12 Chân trời sáng tạo (các môn học)
Đã có app VietJack trên điện thoại, giải bài tập SGK, SBT Soạn văn, Văn mẫu, Thi online, Bài giảng....miễn phí. Tải ngay ứng dụng trên Android và iOS.
Theo dõi chúng tôi miễn phí trên mạng xã hội facebook và youtube:Nếu thấy hay, hãy động viên và chia sẻ nhé! Các bình luận không phù hợp với nội quy bình luận trang web sẽ bị cấm bình luận vĩnh viễn.
- Soạn văn 12 Cánh diều (hay nhất)
- Soạn văn 12 Cánh diều (ngắn nhất)
- Giải sgk Toán 12 Cánh diều
- Giải Tiếng Anh 12 Global Success
- Giải sgk Tiếng Anh 12 Smart World
- Giải sgk Tiếng Anh 12 Friends Global
- Giải sgk Vật Lí 12 - Cánh diều
- Giải sgk Hóa học 12 - Cánh diều
- Giải sgk Sinh học 12 - Cánh diều
- Giải sgk Lịch Sử 12 - Cánh diều
- Giải sgk Địa Lí 12 - Cánh diều
- Giải sgk Giáo dục KTPL 12 - Cánh diều
- Giải sgk Tin học 12 - Cánh diều
- Giải sgk Công nghệ 12 - Cánh diều
- Giải sgk Hoạt động trải nghiệm 12 - Cánh diều
- Giải sgk Giáo dục quốc phòng 12 - Cánh diều
- Giải sgk Âm nhạc 12 - Cánh diều


Giải bài tập SGK & SBT
Tài liệu giáo viên
Sách
Khóa học
Thi online
Hỏi đáp

