Đề thi Học kì 2 Toán 9 phòng GD&ĐT Hà Đông (Hà Nội) năm 2024-2025
Với đề thi Học kì 2 Toán 9 phòng GD&ĐT Hà Đông, Hà Nội năm 2024-2025 có đáp án sẽ giúp học sinh lớp 9 ôn tập và đạt điểm cao trong bài thi Toán 9.
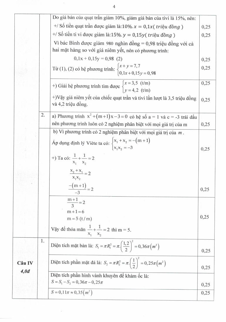
Đề thi Học kì 2 Toán 9 phòng GD&ĐT Hà Đông (Hà Nội) năm 2024-2025
Xem thử Đề thi CK2 Toán 9 KNTT Xem thử Đề thi CK2 Toán 9 CTST Xem thử Đề thi CK2 Toán 9 CD
Chỉ từ 150k mua trọn bộ đề thi Toán 9 Học kì 2 theo cấu trúc mới bản word có lời giải chi tiết, dễ dàng chỉnh sửa:
- B1: gửi phí vào tk:
1133836868- CT TNHH DAU TU VA DV GD VIETJACK - Ngân hàng MB (QR) - B2: Nhắn tin tới Zalo VietJack Official - nhấn vào đây để thông báo và nhận giáo án
Xem thử Đề thi CK2 Toán 9 KNTT Xem thử Đề thi CK2 Toán 9 CTST Xem thử Đề thi CK2 Toán 9 CD
Xem thêm đề thi Toán 9 Học kì 2 các trường trên cả nước hay khác:
Đề thi Học kì 2 Toán 9 phòng GD&ĐT Gia Lâm (Hà Nội) năm 2024-2025
Đề thi Học kì 2 Toán 9 phòng GD&ĐT Hoài Đức (Hà Nội) năm 2024-2025
Đề thi Học kì 2 Toán 9 trường M.V. Lômônôxốp (Hà Nội) năm 2024-2025
Đề thi Học kì 2 Toán 9 phòng GD&ĐT Thạch Thất (Hà Nội) năm 2024-2025
Đề thi Học kì 2 Toán 9 phòng GD&ĐT Ba Đình (Hà Nội) năm 2024-2025
Đề thi Học kì 2 Toán 9 trường THPT chuyên Hà Nội – Amsterdam năm 2024-2025
Đề thi Học kì 2 Toán 9 phòng GD&ĐT Hai Bà Trưng (Hà Nội) năm 2024-2025
Đề thi Học kì 2 Toán 9 trường THCS thị trấn Văn Điển (Hà Nội) năm 2024-2025
Đề thi Học kì 2 Toán 9 trường THCS Chu Văn An (Hà Nội) năm 2024-2025
Đề thi Học kì 2 Toán 9 phòng GD&ĐT Cầu Giấy (Hà Nội) năm 2024-2025
Tủ sách VIETJACK luyện thi vào 10 cho 2k11 (2026):
Đã có app VietJack trên điện thoại, giải bài tập SGK, SBT Soạn văn, Văn mẫu, Thi online, Bài giảng....miễn phí. Tải ngay ứng dụng trên Android và iOS.
Theo dõi chúng tôi miễn phí trên mạng xã hội facebook và youtube:Loạt bài Đề thi các môn học lớp 9 năm 2025 học kì 1 và học kì 2 được biên soạn bám sát cấu trúc ra đề thi mới Tự luận và Trắc nghiệm giúp bạn giành được điểm cao trong các bài thi lớp 9.
Nếu thấy hay, hãy động viên và chia sẻ nhé! Các bình luận không phù hợp với nội quy bình luận trang web sẽ bị cấm bình luận vĩnh viễn.
- Giáo án lớp 9 (các môn học)
- Giáo án điện tử lớp 9 (các môn học)
- Giáo án Toán 9
- Giáo án Ngữ văn 9
- Giáo án Tiếng Anh 9
- Giáo án Khoa học tự nhiên 9
- Giáo án Vật Lí 9
- Giáo án Hóa học 9
- Giáo án Sinh học 9
- Giáo án Địa Lí 9
- Giáo án Lịch Sử 9
- Giáo án GDCD 9
- Giáo án Tin học 9
- Giáo án Công nghệ 9
- Đề thi lớp 9 (các môn học)
- Đề thi Ngữ Văn 9 (có đáp án)
- Đề thi Toán 9 (có đáp án)
- Đề thi Tiếng Anh 9 mới (có đáp án)
- Đề thi Tiếng Anh 9 (có đáp án)
- Đề thi Khoa học tự nhiên 9 (có đáp án)
- Đề thi Lịch Sử và Địa Lí 9 (có đáp án)
- Đề thi GDCD 9 (có đáp án)
- Đề thi Tin học 9 (có đáp án)
- Đề thi Công nghệ 9 (có đáp án)


Giải bài tập SGK & SBT
Tài liệu giáo viên
Sách
Khóa học
Thi online
Hỏi đáp

