Đề thi Học kì 2 Toán 10 trường THPT Lê Hồng Phong (Đắk Lắk) năm 2024-2025
Với đề thi Học kì 2 Toán 10 trường THPT Lê Hồng Phong, Đắk Lắk năm 2024-2025 có đáp án sẽ giúp học sinh lớp 10 ôn tập và đạt điểm cao trong bài thi Toán 10.
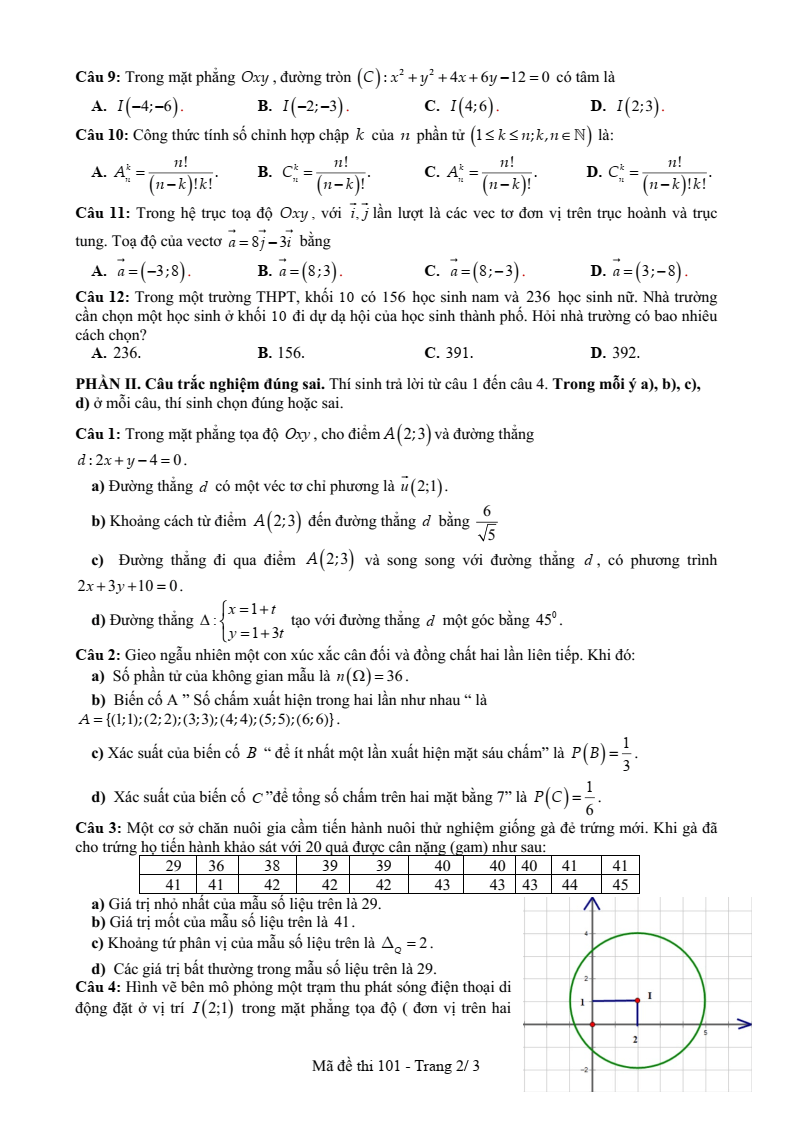
Đề thi Học kì 2 Toán 10 trường THPT Lê Hồng Phong (Đắk Lắk) năm 2024-2025
Xem thử Đề Toán 10 Cuối kì 2 KNTT Xem thử Đề Toán 10 Cuối kì 2 Cánh diều Xem thử Đề Toán 10 Cuối kì 2 CTST
Chỉ từ 150k mua trọn bộ Đề thi Toán 10 Cuối kì 2 (mỗi bộ sách) theo cấu trúc mới bản word có lời giải chi tiết:
- B1: gửi phí vào tk:
1133836868- CT TNHH DAU TU VA DV GD VIETJACK - Ngân hàng MB (QR) - B2: Nhắn tin tới Zalo VietJack Official - nhấn vào đây để thông báo và nhận đề thi
................................
................................
................................
Xem thử Đề Toán 10 Cuối kì 2 KNTT Xem thử Đề Toán 10 Cuối kì 2 Cánh diều Xem thử Đề Toán 10 Cuối kì 2 CTST
Xem thêm đề thi Toán 10 Học kì 2 các trường trên cả nước hay khác:
Đề thi Học kì 2 Toán 10 trường THPT Ngô Gia Tự (Đắk Lắk) năm 2024-2025
Đề thi Học kì 2 Toán 10 trường THPT chuyên Vị Thanh (Hậu Giang) năm 2024-2025
Đề thi Học kì 2 Toán 10 trường THPT Thị xã Quảng Trị năm 2024-2025
Đề thi Học kì 2 Toán 10 trường THPT Chế Lan Viên (Quảng Trị) năm 2024-2025
Đề thi Học kì 2 Toán 10 trường THPT Lý Thái Tổ (Bắc Ninh) năm 2024-2025
Đề thi Học kì 2 Toán 10 trường chuyên Thoại Ngọc Hầu (An Giang) năm 2024-2025
Đề thi Học kì 2 Toán 10 trường THPT Hồ Nghinh (Quảng Nam) năm 2024-2025
Đề thi Học kì 2 Toán 10 trường THPT Quế Sơn (Quảng Nam) năm 2024-2025
Để học tốt lớp 10 các môn học sách mới:
- Giải bài tập Lớp 10 Kết nối tri thức
- Giải bài tập Lớp 10 Chân trời sáng tạo
- Giải bài tập Lớp 10 Cánh diều
Tủ sách VIETJACK shopee lớp 10-11 (cả 3 bộ sách):
Đã có app VietJack trên điện thoại, giải bài tập SGK, SBT Soạn văn, Văn mẫu, Thi online, Bài giảng....miễn phí. Tải ngay ứng dụng trên Android và iOS.
Theo dõi chúng tôi miễn phí trên mạng xã hội facebook và youtube:Nếu thấy hay, hãy động viên và chia sẻ nhé! Các bình luận không phù hợp với nội quy bình luận trang web sẽ bị cấm bình luận vĩnh viễn.
- Giáo án lớp 10 (các môn học)
- Giáo án điện tử lớp 10 (các môn học)
- Giáo án Ngữ văn 10
- Giáo án Toán 10
- Giáo án Tiếng Anh 10
- Giáo án Vật Lí 10
- Giáo án Hóa học 10
- Giáo án Sinh học 10
- Giáo án Lịch Sử 10
- Giáo án Địa Lí 10
- Giáo án Kinh tế Pháp luật 10
- Giáo án Tin học 10
- Giáo án Công nghệ 10
- Giáo án Giáo dục quốc phòng 10
- Giáo án Hoạt động trải nghiệm 10
- Đề thi lớp 10 (các môn học)
- Đề thi Ngữ Văn 10 (có đáp án)
- Chuyên đề Tiếng Việt lớp 10
- Đề cương ôn tập Văn 10
- Đề thi Toán 10 (có đáp án)
- Đề thi cương ôn tập Toán 10
- Đề thi Toán 10 cấu trúc mới (có đáp án)
- Đề thi Tiếng Anh 10 (có đáp án)
- Đề thi Vật Lí 10 (có đáp án)
- Đề thi Hóa học 10 (có đáp án)
- Đề thi Sinh học 10 (có đáp án)
- Đề thi Lịch Sử 10 (có đáp án)
- Đề thi Địa Lí 10 (có đáp án)
- Đề thi Kinh tế & Pháp luật 10 (có đáp án)
- Đề thi Tin học 10 (có đáp án)
- Đề thi Công nghệ 10 (có đáp án)
- Đề thi Giáo dục quốc phòng 10 (có đáp án)


Giải bài tập SGK & SBT
Tài liệu giáo viên
Sách
Khóa học
Thi online
Hỏi đáp

