54+ Đề thi Giữa kì 1 Toán 11 Kết nối tri thức (cấu trúc mới, có đáp án)
Với bộ 54+ Đề thi Toán 11 Giữa kì 1 Kết nối tri thức năm 2026 theo cấu trúc mới có đáp án và ma trận được biên soạn và chọn lọc từ đề thi Toán 11 của các trường THPT trên cả nước sẽ giúp học sinh lớp 11 ôn tập và đạt kết quả cao trong các bài thi Giữa học kì 1 Toán 11.
54+ Đề thi Giữa kì 1 Toán 11 Kết nối tri thức (cấu trúc mới, có đáp án)
Chỉ từ 150k mua trọn bộ Đề thi Giữa kì 1 Toán 11 Kết nối tri thức theo cấu trúc mới bản word có lời giải chi tiết:
- B1: gửi phí vào tk:
1133836868- CT TNHH DAU TU VA DV GD VIETJACK - Ngân hàng MB (QR) - B2: Nhắn tin tới Zalo VietJack Official - nhấn vào đây để thông báo và nhận đề thi
Đề thi Giữa kì 1 Toán 11 Kết nối tri thức (Giáo viên VietJack)
Đề thi Giữa kì 1 Toán 11 năm 2025-2026 (trên cả nước)
Đề thi Giữa kì 1 Toán 11 THCS&THPT Nguyễn Bỉnh Khiêm năm 2025-2026
Đề thi Giữa kì 1 Toán 11 THPT Nguyễn Thị Minh Khai năm 2025-2026
Sở Giáo dục và Đào tạo ...
Đề thi Giữa kì 1 - Kết nối tri thức
năm 2025
Môn: Toán 11
Thời gian làm bài: phút
(Đề số 1)
Phần I. Câu trắc nghiệm nhiều phương án lựa chọn. Học sinh trả lời từ câu 1 đến câu 12. Mỗi câu hỏi, học sinh chỉ chọn một phương án
Câu 1. Góc có số đo 108° đổi sang radian là
A.
B.
C.
D.
Câu 2. Chọn khẳng định đúng trong các khẳng định sau:
A.
B.
C.
D.
Câu 3. Tập giá trị của hàm số y = cosx là tập hợp nào sau đây?
A.
B. ℝ.
C.
D. [-1; 1]
Câu 4. Tập xác định của hàm số là
A. D = ℝ.
B. D = ℝ \ {0}.
C.
D.
Câu 5. Phương trình có nghiệm là
A.
B.
C.
D.
Câu 6. Cho các dãy số sau. Dãy số nào không là dãy số tăng?
A. 1; 1; 1; 1....
B. 1; 3; 5; 7...
C. 2; 4; 6; 8...
D.
Câu 7. Cho cấp số nhân và công bội . Số hạng thứ 5 của là
A.
B.
C.
D.
Câu 8. Cho cấp số cộng có và công sai d = 3. Tổng 4 số hạng đầu của là:
A.
B.
C.
D.
Câu 9. Cho hình chóp tứ giác S.ABCD. Giao tuyến của hai mặt phẳng (SAB) và (SBC) là
A. SA.
B. SB.
C. SC.
D. AC.
Câu 10. Trong không gian, hai đường thẳng không có điểm chung thì
A. cắt nhau.
B. chéo nhau hoặc song song.
C. chéo nhau.
D. song song.
Câu 11. Cho hình chóp S.ABCD có điểm O là giao điểm của hai đường chéo AC, BD. Giao điểm của đường thẳng AC với mặt phẳng (SBD) là điểm nào?
A. Điểm B.
B. Điểm A.
C. Điểm O.
D. Điểm S.
Câu 12. Cho hình chóp S.ABCD có mặt đáy (ABCD) là hình bình hành. Gọi đường thẳng d là giao tuyến của hai mặt phẳng SAD) và (SBC). Khẳng định nào sau đây là đúng?
A. Đường thẳng d đi qua S và song song với AB.
B. Đường thẳng d đi qua S và song song với DC.
C. Đường thẳng d đi qua S và song song với BC.
D. Đường thẳng d đi qua S và song song với BD.
Phần II. Câu trắc nghiệm đúng sai. Học sinh trả lời từ câu 1 đến câu 4. Trong mỗi ý a), b), c), d) ở mỗi câu hỏi, học sinh chọn Đúng hoặc Sai.
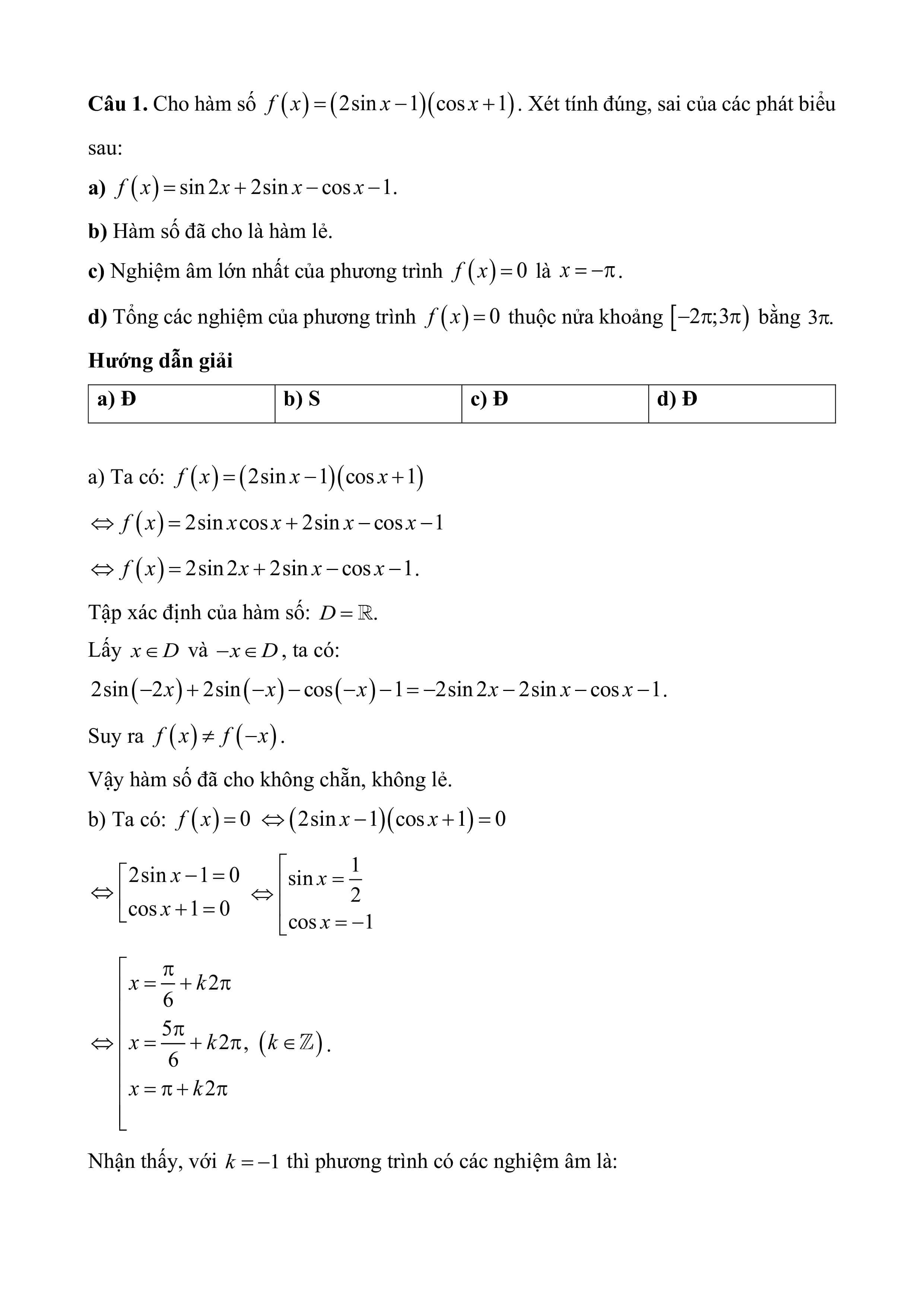
Câu 1. Cho hàm số f(x) = (2sinx - 1)(cosx + 1). Xét tính đúng, sai của các phát biểu sau:
a) f(x) = sin2x + 2sinx - cosx - 1
b) Hàm số đã cho là hàm lẻ.
c) Nghiệm âm lớn nhất của phương trình f(x) = 0 là x = -π.
d) Tổng các nghiệm của phương trình f(x) thuộc nửa khoảng [-2π; 3π) bằng 3π.
Câu 2. Một vật dao động xung quanh vị trí cân bằng theo phương trình trong đó t là thời gian được tính bằng giây và quãng đường, h = |x| được tính bằng mét là khoảng cách theo phương ngang của chất điểm đối với vị trí cân bằng. Xét tính đúng sai của các khẳng định sau:
a) Vật ở xa vị trí cân bằng nhất nghĩa là h = 1,5 m.
b) Trong 10 giây đầu tiên, có hai thời điểm vật ở xa vị trí cân bằng nhất.
c) Khi vật ở vị trí cân bằng thì .
d) Trong khoảng từ 0 đến 20 giây thì vật qua vị trí cân bằng 4 lần.
Câu 3. Cho cấp số cộng (un) có u1 = 5 và d = -7. Xét tính đúng sai của các khẳng định sau:
a) u11 = -65.
b) u5 + u7 = -50.
c) Số -849 là số hạng thứ 123 của cấp số cộng.
d) Số -114là số hạng thứ 18 của cấp số cộng.
Câu 4. Cho hình chóp S.ABCD có đáy ABCD là hình bình hành. Gọi M là trung điểm SC. Gọi I là giao điểm của đường thẳng AM và mặt phẳng (SBD). Khi đó:
a)
b) IA = 3IM.
c) Giao điểm E của đường thẳng SD và (ABM) là điểm thuộc đường thẳng BI.
d) Gọi N là một điểm tùy ý trên cạnh AB. Khi đó giao điểm của đường thẳng MN và mặt phẳng (SBD) là điểm thuộc giao tuyến của hai mặt phẳng (SBD) và (SNC).
Phần III. Câu trắc nghiệm trả lời ngắn. Học sinh trả lời từ câu 1 đến câu 6.
Câu 1. Tính giá trị lớn nhất của hàm số .
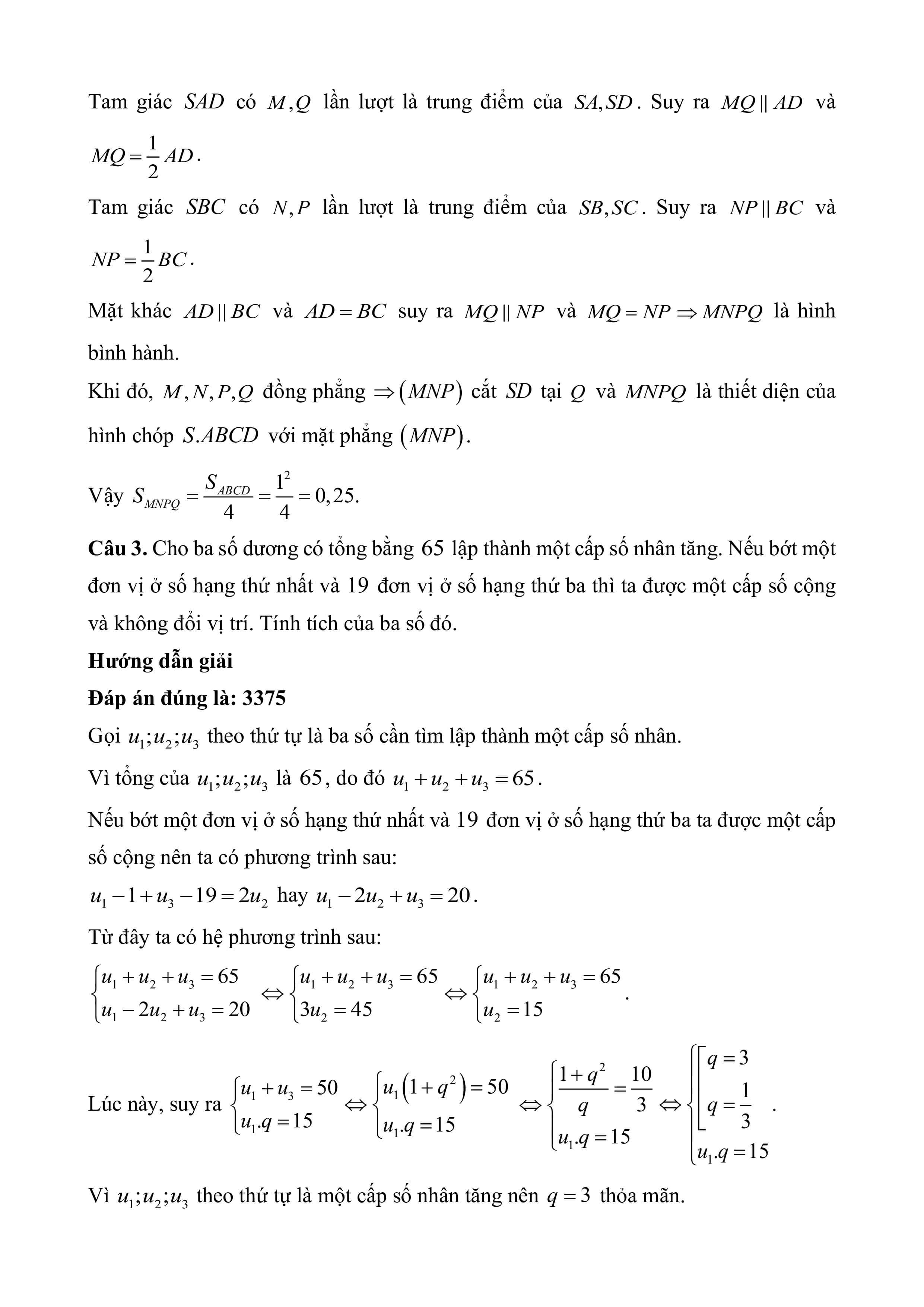
Câu 2. Cho hình chóp tứ giác đều S.ABCD có cạnh đáy bằng 1. Các điểm M, N, P lần lượt là trung điểm của SA, SB, SC. Mặt phẳng (MNP) cắt hình chóp theo một thiết diện có diện tích bằng bao nhiêu?
Câu 3. Cho ba số dương có tổng bằng 65 lập thành một cấp số nhân tăng. Nếu bớt một đơn vị ở số hạng thứ nhất và 19 đơn vị ở số hạng thứ ba thì ta được một cấp số cộng và không đổi vị trí. Tính tích của ba số đó.
Câu 4. Hằng ngày mực nước của con kênh lên xuống theo thủy triều. Độ sâu h (mét) của mực nước trong kênh được tính tại thời điểm t (giờ) trong một ngày bởi công thức . Mực nước của kênh cao nhất khi t bằng bao nhiêu?
Câu 5. Một đa giác có n cạnh và có chu vi bằng 158 cm. Biết số đo các cạnh của đa giác lập thành một cấp số cộng và công sai d = 3 cm và cạnh lớn nhất có độ dài là 44 cm. Đa giác đó có bao nhiêu cạnh?
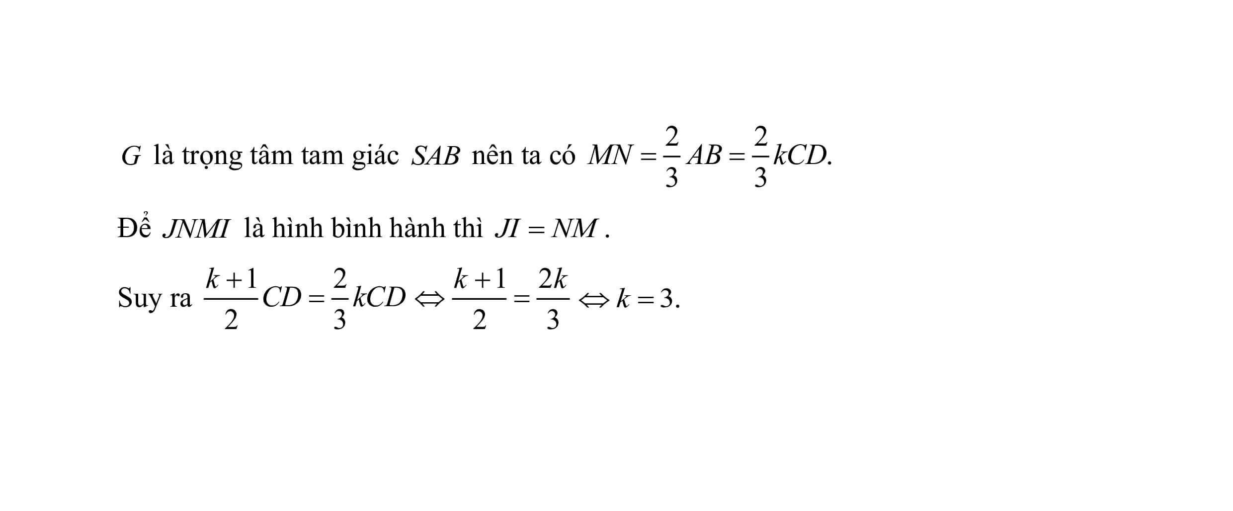
Câu 6. Cho hình chóp tứ giác S.ABCD, đáy là hình thang ABCD. Gọi O là giao điểm của hai đường chéo AC và BD. I, J lần lượt là trung điểm AD, BC và G là trọng tâm tam giác SAB. Tìm k với AB = kCD để thiết diện của mặt phẳng (GIJ) với hình chóp S.ABCD là hình bình hành.
Sở Giáo dục và Đào tạo ...
Đề thi Giữa kì 1 - Kết nối tri thức
năm 2025
Môn: Toán 11
Thời gian làm bài: phút
(Đề số 2)
I. Trắc nghiệm (7 điểm)
Câu 1. Đổi số đo của góc sang rađian.
A.
B.
C.
D.
Câu 2. Cho Khẳng định nào sau đây đúng?
A.
B.
C.
D.
Câu 3.Công thức nào dưới đây SAI?
A. .
B. .
C. .
D. .
Câu 4. Rút gọn ?
A. .
B. .
C. .
D. .
Câu 5. Cho hàm số có đồ thị như hình vẽ.
Đồ thị hàm số là đồ thị của hàm số nào dưới đây?
A. .
B. .
C. .
D. .
Câu 6. Trong các khẳng định sau, khẳng định nào sai ?
A.Tập xác định của hàm số là .
B. Tập xác định của hàm số là .
C. Tập xác định của hàm số là .
D. Tập xác định của hàm số là
Câu 7. Trong các hàm số cho dưới đây, hàm số nào là hàm số tuần hoàn?
A. .
B. .
C. .
D. .
Câu 8. Phương trình có tập nghiệm là
A. .
B. .
C. .
D. .
Câu 9. Nghiệm của phương trình là
A. .
B. .
C. .
D. .
Câu 10. Phương trình nào dưới đây tương đương với phương trình ?
A. .
B. .
C. .
D. .
Câu 11. Cho dãy số là dãy số tự nhiên lẻ theo thứ tự tăng dần và . Năm số hạng đầu của dãy số là:
A. .
B. .
C. .
D. .
Câu 12. Cho dãy số được xác định bởi . Khẳng định nào sau đây đúng?
A. là dãy số tăng.
B. là dãy số giảm.
C. không là dãy số tăng cũng không là dãy số giảm .
D. là dãy số không đổi.
Câu 13. Trong các dãy số sau, dãy số nào là một cấp số cộng?
A.
B.
C.
D.
Câu 14. Cho dãy số là cấp số cộng với:
A. Số hạng đầu tiên là , công sai là
B. Số hạng đầu tiên là , công sai là
C. Số hạng đầu tiên là 0, công sai là
D. Số hạng đầu tiên là 0, công sai là
Câu 15. Dãy số nào sau đây không phải là cấp số nhân?
A. .
B. .
C. .
D. .
Câu 16. Cho cấp số nhân với và Viết bốn số hạng đầu tiên của cấp số nhân.
A.
B.
C.
D.
Câu 17. Bảng thống kê sau cho biết tốc độ (km/h) của một số xe máy khi đi qua vị trí có cảnh sát giao thông đang làm nhiệm vụ.
Tốc độ |
||||||
Số phương tiện giao thông |
27 |
70 |
8 |
3 |
1 |
1 |
Quan sát mẫu số liệu trên và cho biết mệnh đề nào sau đây là đúng?
A. Số xe được đo tốc độ là 100 xe.
B. Mẫu số liệu đã cho gồm 5 nhóm có độ dài bằng nhau.
C. Tổng độ dài các nhóm là 80.
D. Số xe máy thuộc nhóm là ít nhất.
Câu 18. Điều tra về chiều cao của 100 học Sinh 10 trường THPT Lý Thường Kiệt, ta được kết quả:
Chiều cao (cm) |
[150; 152) |
[152; 154) |
[154; 156) |
[156; 158) |
[158; 160) |
[160; 162) |
[162; 168) |
Số học sinh |
5 |
18 |
40 |
25 |
8 |
3 |
1 |
Số học sinh có chiều cao từ 156 cm trở lên là
A. 37.
B. 77.
C. 12.
D. 25.
Câu 19. Cho bảng phân phối tần số ghép lớp:
Mệnh đề nào sau đúng là
A. Giá trị đại diện của lớp là 53.
B. Tần số của lớp là 95.
C. Tần số của lớp là 35.
D. Số 50 không phụ thuộc lớp .
Câu 20. Nhóm chứa mốt của mẫu số liệu trong Câu 19 là
A. .
B. .
C. .
D. .
Câu 21. Cho với . Tính .
A. .
B. .
C. .
D. .
Câu 22. Rút gọn biểu thức .
A.
B.
C.
D.
Câu 23. Cho Tính giá trị biểu thức .
A. .
B. .
C. .
D. .
Câu 24. Tìm giá trị lớn nhất Mvà giá trị nhỏ nhất mcủa hàm số .
A. .
B. .
C. .
D. .
Câu 25. Hàm số tuần hoàn với chu kì bằng
A. .
B. .
C. .
D. .
Câu 26. Tất cả nghiệm của phương trình là
A. .
B. .
C. và .
D. và .
Câu 27. Phương trình có số nghiệm thuộc đoạn là
A. 3.
B. 5.
C. 2.
D. 4.
Câu 28. Biết năm số hạng đầu của dãy số là . Tìm một công thức truy hồi của dãy số trên.
A. .
B. .
C.
D. .
Câu 29. Cho dãy số được xác định bởi . Tìm công thức số hạng tổng quát của .
A. với .
B. với .
C. với .
D. với .
Câu 30. Cho cấp số cộng biết , . Khi đó bằng
A. .
B. .
C. .
D. .
Câu 31. Tổng của bao nhiêu số hạng đầu của cấp số cộng bằng .
A. 100.
B. 99.
C. 101.
D. 98.
Câu 32. Cho cấp số nhân có các số hạng lần lượt là Mệnh đề nào sau đây là đúng?
A.
B.
C.
D.
Câu 33. Cho cấp số nhân có các số hạng lần lượt là . Tìm số hạng tổng quát của cấp số nhân đã cho.
A.
B.
C.
D.
Câu 34. Tìm hiểu thời gian chạy cự li 1000 m (đơn vị: giây) của các bạn học sinh trong một lớp thu được kết quả sau:
Thời gian (giây) chạy trung bình cự li 1000 m của các bạn học sinh là
A. .
B. .
C. .
D. .
Câu 35.Trung vị của mẫu số liệu ghép nhóm trong Câu 34 là
A. .
B. .
C. .
D. .
II. Tự luận (3 điểm)
Bài 1. (1 điểm) Tìm m để hàm số xác định với mọi x.
Bài 2. (1 điểm) Một hãng taxi áp dụng mức giá đối với khách hàng theo hình thức bậc thang như sau: Mỗi bậc áp dụng cho 10 km. Bậc 1 (áp dụng cho 10 km đầu) có giá trị 10 000 đồng/1 km, giá mỗi km ở các bậc tiếp theo giảm 5% so với giá của bậc trước đó. Bạn An thuê hãng taxi đó để đi quãng đường 114 km, nhưng khi đi được 50 km thì bạn Bình đi chung hết quãng đường còn lại. Tính số tiền mà bạn An phải trả, biết rằng mức giá áp dụng từ lúc xe xuất phát và số tiền trên quãng đường đi chung bạn An chỉ phải trả 20% (Kết quả làm tròn đến hàng nghìn).
Bài 3. (1 điểm)Tìm hiểu thời gian hoàn thành một bài tập (đơn vị: phút) của một số học sinh thu được kết quả sau:
Hãy cho biết ngưỡng thời gian để xác định 25% học sinh hoàn thành bài tập với thời gian lâu nhất.
-----HẾT-----
ĐÁP ÁN ĐỀ SỐ 1
I. Bảng đáp án trắc nghiệm
|
1. C |
2. D |
3. D |
4. B |
5. B |
6. A |
7. A |
|
8. C |
9. A |
10. B |
11. C |
12. B |
13. A |
14. B |
|
15. D |
16. B |
17. C |
18. A |
19. D |
20. A |
21. C |
|
22. C |
23. A |
24. C |
25. D |
26. D |
27. C |
28. A |
|
29. A |
30. D |
31. A |
32. C |
33. B |
34. A |
35. C |
II. Đáp án tự luận
Bài 1. Với thì thỏa mãn yêu cầu bài toán.
Bài 2. Số tiền bạn An cần trả là 539 000 (đồng).
Bài 3. Ngưỡng thời gian cần tìm là 14 phút.
................................
................................
................................
Trên đây tóm tắt một số nội dung miễn phí trong bộ Đề thi Toán 11 Kết nối tri thức năm 2026 mới nhất, để mua tài liệu trả phí đầy đủ, Thầy/Cô vui lòng xem thử:
Tham khảo đề thi Toán 11 Kết nối tri thức có đáp án hay khác:
Để học tốt lớp 11 các môn học sách mới:
- Giải bài tập Lớp 11 Kết nối tri thức
- Giải bài tập Lớp 11 Chân trời sáng tạo
- Giải bài tập Lớp 11 Cánh diều
Tủ sách VIETJACK shopee lớp 10-11 (cả 3 bộ sách):
Đã có app VietJack trên điện thoại, giải bài tập SGK, SBT Soạn văn, Văn mẫu, Thi online, Bài giảng....miễn phí. Tải ngay ứng dụng trên Android và iOS.
Theo dõi chúng tôi miễn phí trên mạng xã hội facebook và youtube:Nếu thấy hay, hãy động viên và chia sẻ nhé! Các bình luận không phù hợp với nội quy bình luận trang web sẽ bị cấm bình luận vĩnh viễn.
- Giáo án lớp 11 (các môn học)
- Giáo án điện tử lớp 11 (các môn học)
- Giáo án Toán 11
- Giáo án Ngữ văn 11
- Giáo án Tiếng Anh 11
- Giáo án Vật Lí 11
- Giáo án Hóa học 11
- Giáo án Sinh học 11
- Giáo án Lịch Sử 11
- Giáo án Địa Lí 11
- Giáo án KTPL 11
- Giáo án HĐTN 11
- Giáo án Tin học 11
- Giáo án Công nghệ 11
- Giáo án GDQP 11
- Đề thi lớp 11 (các môn học)
- Đề thi Ngữ Văn 11 (có đáp án)
- Chuyên đề Tiếng Việt lớp 11
- Đề cương ôn tập Văn 11
- Đề thi Toán 11 (có đáp án)
- Đề thi Toán 11 cấu trúc mới
- Đề cương ôn tập Toán 11
- Đề thi Tiếng Anh 11 (có đáp án)
- Đề thi Tiếng Anh 11 mới (có đáp án)
- Đề thi Vật Lí 11 (có đáp án)
- Đề thi Hóa học 11 (có đáp án)
- Đề thi Sinh học 11 (có đáp án)
- Đề thi Lịch Sử 11
- Đề thi Địa Lí 11 (có đáp án)
- Đề thi KTPL 11
- Đề thi Tin học 11 (có đáp án)
- Đề thi Công nghệ 11
- Đề thi GDQP 11 (có đáp án)


Giải bài tập SGK & SBT
Tài liệu giáo viên
Sách
Khóa học
Thi online
Hỏi đáp

