6 Đề thi Học kì 1 Vật lí 11 Kết nối tri thức (cấu trúc mới, có đáp án)
Với bộ 6 đề thi Vật lí 11 Học kì 1 Kết nối tri thức năm 2026 theo cấu trúc mới có đáp án và ma trận được biên soạn và chọn lọc từ đề thi Vật lí 11 của các trường THPT trên cả nước sẽ giúp học sinh lớp 11 ôn tập và đạt kết quả cao trong các bài thi Học kì 1 Vật lí 11.
6 Đề thi Học kì 1 Vật lí 11 Kết nối tri thức (cấu trúc mới, có đáp án)
Chỉ từ 90k mua trọn bộ Đề thi Học kì 1 Vật lí 11 Kết nối tri thức theo cấu trúc mới bản word có lời giải chi tiết:
- B1: gửi phí vào tk:
1133836868- CT TNHH DAU TU VA DV GD VIETJACK - Ngân hàng MB (QR) - B2: Nhắn tin tới Zalo VietJack Official - nhấn vào đây để thông báo và nhận đề thi
Sở Giáo dục và Đào tạo ...
Đề thi Học kì 1 - Kết nối tri thức
năm 2025
Môn: Vật Lí 11
Thời gian làm bài: phút
(Đề số 1)
A. TRẮC NGHIỆM KHÁCH QUAN
PHẦN I. Câu trắc nghiệm nhiều phương án lựa chọn. Thí sinh trả lời từ câu 1 đến câu 12. Mỗi câu hỏi thí sinh chỉ lựa chọn một phương án.
Câu 1: Một vật dao động điều hòa với biên độ bằng 4 cm. Khi pha của dao động bằng thì li độ của vật bằng:
A. 2 cm.
B. 4 cm.
C. - 2 cm.
D. - 4 cm.
Câu 2: Tìm phát biểu sai khi nói về dao động điều hoà:
A. Gia tốc sớm pha π so với li độ.
B. Vận tốc và gia tốc luôn ngược pha nhau.
C. Vận tốc luôn trễ pha so với gia tốc.
D. Vận tốc luôn sớm pha so với li độ.
Câu 3: Cơ năng của một vật dao động điều hòa
A. biến thiên tuần hoàn theo thời gian với chu kỳ bằng một nửa chu kỳ dao động của vật.
B. tăng gấp đôi khi biên độ dao động của vật tăng gấp đôi.
C. bằng động năng của vật khi vật tới VTCB.
D. biến thiên tuần hoàn theo thời gian với chu kỳ bằng chu kỳ dao động của vật.
Câu 4. Phát biểu nào sau đây sai? Khi một vật dao động điều hòa thì
A. động năng của vật biến thiên tuần hoàn theo thời gian.
B. thế năng của vật biến thiên tuần hoàn theo thời gian.
C. cơ năng của vật biến thiên tuần hoàn theo thời gian.
D. vận tốc của vật biến thiên điều hòa theo thời gian.
Câu 5. Sóng cơ học là
A. dao động cơ lan truyền trong một môi trường.
B. sự lan truyền vật chất theo thời gian.
C. sự truyền chuyển động của các phần tử trong một môi trường.
D. là một dạng chuyển động đặc biệt của môi trường.
Câu 6. Sóng dọc là
A. sóng truyền dọc theo một sợi dây.
B. sóng trong đó phương dao động (của các phần tử của môi trường) trùng với phương truyền.
C. sóng truyền theo trục tung của trục tọa độ.
D. sóng trong đó các phần tử của môi trường dao động theo phương vuông góc với phương truyền sóng.
Câu 7: Bước sóng của bức xạ da cam trong chân không là 600 nm thì tần số của bức xạ đó là
A. 5.1012 Hz.
B. 5.1013 Hz.
C. 5.1014 Hz.
D. 5.1015 Hz.
Câu 8. Hai nguồn sóng kết hợp là hai nguồn sóng dao động cùng phương, cùng
A. biên độ.
B. tần số.
C. pha ban đầu.
D. tần số và có hiệu số pha không đổi theo thời gian.
Câu 9. Bản chất của sóng dừng là hiện tượng
A. giao thoa sóng.
B. sợi dây bị tách làm đôi.
C. sợi dây đang dao động thì dừng lại.
D. nhiễu xạ sóng.
Câu 10. Cho hai dao động điều hoà lần lượt có phương trình: và . Phát biểu nào sau đây là đúng?
A. Dao động thứ nhất cùng pha với dao động thứ hai.
B. Dao động thứ nhất ngược pha với dao động thứ hai.
C. Dao động thứ nhất vuông pha với dao động thứ hai.
D. Dao động thứ nhất trễ pha so với dao động thứ hai.
Câu 11: Một chất điểm M chuyển động tròn đều trên quỹ đạo tâm O bán kính R với tốc độ 100 cm/s. Gọi P là hình chiếu cùa M trên trục Ox nằm trong mặt phẳng quỹ đạo. Khi P cách O một đoạn 6 (cm) nó có tốc độ là 50 (cm/s). Giá trị R bằng
A. (cm).
B. 2,5 (cm)
C. (cm).
D. 5 (cm)
Câu 12. Trong thí nghiệm I-âng về giao thoa ánh sáng, các khe sáng được chiếu bằng ánh sáng đơn sắc. Khoảng cách giữa hai khe là 2 mm, khoảng cách từ hai khe đến màn là 4 m. Khoảng cách giữa 5 vân sáng liên tiếp đo được là 4,8 mm. Toạ độ của vân sáng bậc 3 là
A. ± 9,6 mm.
B. ± 4,8 mm.
C. ± 3,6 mm.
D. ± 2,4 mm.
PHẦN II. Câu trắc nghiệm đúng sai. Thí sinh trả lời từ câu 1 đến câu 2. Trong mỗi ý a), b), c), d) ở mỗi câu, thí sinh chọn đúng hoặc sai
Câu 1: Phát biểu nào đúng, phát biểu nào sai?
a) Dao động điều hòa thì tuần hoàn.
b) Dao động là chuyển động qua lại quanh một vị trí đặc biệt gọi là vị trí cân bằng.
c) Dao động điều hòa là dao động trong đó li độ của vật là một hàm tan (hay cotan) của thời gian.
d) Dao động tuần hoàn là dao động mà trạng thái của vật được lặp lại như cũ, theo hướng cũ sau những khoảng thời gian bằng nhau xác định.
Câu 2. Phát biểu nào đúng, phát biểu nào sau khi nói về một vật dao động điều hòa khi đang chuyển động từ vị trí cân bằng đến vị trí biên âm thì
a) vận tốc và gia tốc cùng có giá trị dương.
b) độ lớn vận tốc và độ lớn gia tốc cùng giảm.
c) vectơ vận tốc ngược chiều với vectơ gia tốc.
d) độ lớn vận tốc tăng và độ lớn gia tốc không thay đổi.
PHẦN III. Câu trắc nghiệm trả lời ngắn. Thí sinh trả lời từ câu 1 đến câu 4
Câu 1. Một thanh thép mảnh dài 1,2 m được đặt nằm ngang phía dưới một nam châm điện. Cho dòng điện xoay chiều chạy qua nam châm điện thì trên dây thép xuất hiện sóng dừng với 6 bụng sóng với đầu cố định là nút và đầu tự do là bụng. Nếu tốc độ truyền sóng trên thanh là 60 m/s thì tần số của dòng điện xoay chiều là bao nhiêu? (Đơn vị: Hz).
Câu 2. Trong một thí nghiệm về giao thoa sóng trên mặt nước, hai nguồn kết hợp A, B dao động cùng pha, cùng tần số f = 32 Hz. Tại một điểm M trên mặt nước cách các nguồn A, B những khoảng d1 = 28 cm, d2 = 23,5 cm; sóng có biên độ cực đại. Giữa M và đường trung trực AB có 1 dãy cực đại khác. Tốc độ truyền sóng trên mặt nước là bao nhiêu? (Đơn vị: cm/s).
Câu 3. Để đo tốc độ âm trong gang, nhà vật lí Pháp Bi – ô đã dùng một ống bằng gang dài 951,25 m. Một người đập một nhát búa vào một đầu ống gang, một người ở đầu kia nghe thấy hai tiếng gõ, một truyền qua gang và một truyền qua không khí trong ống gang; hai tiếng ấy cách nhau 2,5s. Biết tốc độ truyền âm trong không khí là 340 m/s. Tốc độ truyền âm trong gang là bao nhiêu? (Đơn vị: m/s).
Câu 4. Một hành khách dùng dây cao su treo một chiếc ba lô lên trần toa tàu, ngay phía trên một trục bánh xe của toa tàu. Khối lượng của ba lô 16 (kg), hệ số cứng của dây cao su 900 (N/m), chiều dài mỗi thanh ray là 12,5 (m), ở chỗ nối hai thanh ray có một khe nhỏ. Hỏi tàu chạy với tốc độ bao nhiêu thì ba lô dao động mạnh nhất? (Đơn vị: m/s).
B. TỰ LUẬN
Câu 1. Một con lắc đơn có khối lượng 2 kg và có độ dài 4 m, dao động điều hòa ở nơi có gia tốc trọng trường 9,8 m/s2. Cơ năng dao động của con lắc là 0,2205 J. Biên độ góc của con lắc bằng bao nhiêu? (Đơn vị: độ).
Câu 2. Một sóng cơ truyền dọc theo một sợi dây đàn hồi rất dài với biên độ 8 mm. Tại một thời điểm, hai phần tử trên dây cùng lệch khỏi vị trí cân bằng 4 mm, chuyển động ngược chiều và cách nhau một khoảng ngắn nhất là 7 cm (tính theo phương truyền sóng). Gọi là tỉ số của tốc độ dao động cực đại của một phần tử trên dây với tốc độ truyền sóng gần giá xấp xỉ bao nhiêu?
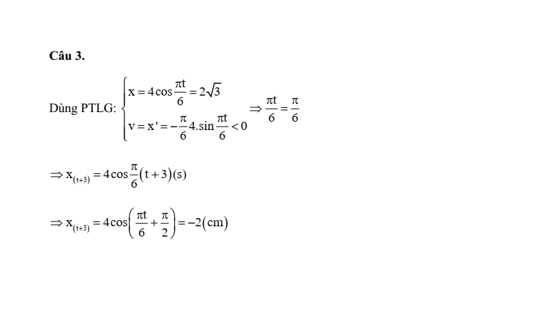
Câu 3. Một vật dao động theo phương trình (t đo bằng giây). Tại thời điểm t1 li độ là cm và đang giảm. Tính li độ sau thời điểm t1 là 3 (s).
Sở Giáo dục và Đào tạo ...
Đề thi Học kì 1 - Kết nối tri thức
năm 2025
Môn: Vật Lí 11
Thời gian làm bài: phút
(Đề số 2)
Câu 1: Chọn phát biểu sai trong các phương án sau:
A. Dao động điều hòa thì tuần hoàn.
B. Dao động là chuyển động qua lại quanh một vị trí đặc biệt gọi là vị trí cân bằng.
C. Dao động điều hòa là dao động trong đó li độ của vật là một hàm tan (hay cotan) của thời gian.
D. Dao động tuần hoàn là dao động mà trạng thái của vật được lặp lại như cũ, theo hướng cũ sau những khoảng thời gian bằng nhau xác định.
Câu 2: Một vật dao động điều hòa với biên độ bằng 4 cm. Khi pha của dao động bằng thì li độ của vật bằng:
A. 2 cm.
B. 4 cm.
C. - 2 cm.
D. - 4 cm.
Câu 3: Tìm phát biểu sai khi nói về dao động điều hoà:
A. Gia tốc sớm pha π so với li độ.
B. Vận tốc và gia tốc luôn ngược pha nhau.
C. Vận tốc luôn trễ pha so với gia tốc.
D. Vận tốc luôn sớm pha so với li độ.
Câu 4: Một vật dao động điều hòa khi đang chuyển động từ vị trí cân bằng đến vị trí biên âm thì
A. vận tốc và gia tốc cùng có giá trị dương.
B. độ lớn vận tốc và độ lớn gia tốc cùng giảm.
C. vectơ vận tốc ngược chiều với vectơ gia tốc.
D. độ lớn vận tốc tăng và độ lớn gia tốc không thay đổi.
Câu 5: Cơ năng của một vật dao động điều hòa
A. biến thiên tuần hoàn theo thời gian với chu kỳ bằng một nửa chu kỳ dao động của vật.
B. tăng gấp đôi khi biên độ dao động của vật tăng gấp đôi.
C. bằng động năng của vật khi vật tới VTCB.
D. biến thiên tuần hoàn theo thời gian với chu kỳ bằng chu kỳ dao động của vật.
Câu 6: Nhận định nào sau đây là sai khi nói về dao động tắt dần?
A. Trong dao động tắt dần, cơ năng giảm dần theo thời gian.
B. Dao động tắt dần là dao động có biên độ giảm dần theo thời gian.
C. Lực ma sát càng lớn thì dao động tắt càng nhanh.
D. Dao động tắt dần là dao động có biên độ không đổi trong quá trình dao động.
Câu 7: Phát biểu nào sau đây sai? Khi một vật dao động điều hòa thì
A. động năng của vật biến thiên tuần hoàn theo thời gian.
B. thế năng của vật biến thiên tuần hoàn theo thời gian.
C. cơ năng của vật biến thiên tuần hoàn theo thời gian.
D. vận tốc của vật biến thiên điều hòa theo thời gian.
Câu 8: Sóng cơ học là
A. dao động cơ lan truyền trong một môi trường.
B. sự lan truyền vật chất theo thời gian.
C. sự truyền chuyển động của các phần tử trong một môi trường.
D. là một dạng chuyển động đặc biệt của môi trường.
Câu 9: Sóng dọc là
A. sóng truyền dọc theo một sợi dây.
B. sóng trong đó phương dao động (của các phần tử của môi trường) trùng với phương truyền.
C. sóng truyền theo trục tung của trục tọa độ.
D. sóng trong đó các phần tử của môi trường dao động theo phương vuông góc với phương truyền sóng.
Câu 10: Bước sóng của bức xạ da cam trong chân không là 600 nm thì tần số của bức xạ đó là
A. 5.1012 Hz.
B. 5.1013 Hz.
C. 5.1014 Hz.
D. 5.1015 Hz.
Câu 11. Hai nguồn sóng kết hợp là hai nguồn sóng dao động cùng phương, cùng
A. biên độ.
B. tần số.
C. pha ban đầu.
D. tần số và có hiệu số pha không đổi theo thời gian.
Câu 12. Bản chất của sóng dừng là hiện tượng
A. giao thoa sóng.
B. sợi dây bị tách làm đôi.
C. sợi dây đang dao động thì dừng lại.
D. nhiễu xạ sóng.
Câu 13. Nhận xét nào sau đây không đúng khi nói về sóng cơ học?
A. Sóng cơ là dao động cơ lan truyền trong một môi trường.
B. Sóng cơ truyền được trong chân không.
C. Biên độ sóng tại một điểm nhất định trong môi trường có sóng truyền qua là biên độ dao động của các phần tử vật chất tại đó.
D. Năng lượng sóng là năng lượng dao động của các phần tử của môi trường có sóng truyền qua.
Câu 14: Một vật dao động điều hòa với biên độ A = 8 cm. Tại thời điểm t = 0, vật có li độ x = -4 cm và đang đi theo chiều âm của trục Ox. Pha ban đầu của dao động bằng:
A. .
B. .
C. .
D. .
Câu 15. Cho hai dao động điều hoà lần lượt có phương trình: và . Phát biểu nào sau đây là đúng?
A. Dao động thứ nhất cùng pha với dao động thứ hai.
B. Dao động thứ nhất ngược pha với dao động thứ hai.
C. Dao động thứ nhất vuông pha với dao động thứ hai.
D. Dao động thứ nhất trễ pha so với dao động thứ hai.
Câu 16: Một chất điểm M chuyển động tròn đều trên quỹ đạo tâm O bán kính R với tốc độ 100 cm/s. Gọi P là hình chiếu cùa M trên trục Ox nằm trong mặt phẳng quỹ đạo. Khi P cách O một đoạn 6 (cm) nó có tốc độ là 50 (cm/s). Giá trị R bằng
A. (cm).
B. 2,5 (cm)
C. (cm).
D. 5 (cm)
Câu 17. Một vật dao động theo phương trình (t đo bằng giây). Tại thời điểm t1 li độ là cm và đang giảm. Tính li độ sau thời điểm t1 là 3 (s).
A. 1,2 cm.
B. -3 cm.
C. -2 cm.
D. 5 cm.
Câu 18: Con lắc lò xo gồm vật nhỏ khối lượng 100g gắn với một lò xo nhẹ. Con lắc dao động điều hòa theo phương ngang với phương trình x = 10cos10πt (cm). Mốc thế năng ở vị trí cân bằng. Lấy π2 = 10. Cơ năng của con lắc bằng :
A. 0,10 J.
B. 0,50 J.
C. 0,05 J.
D. 1,00 J.
Câu 19. Một hành khách dùng dây cao su treo một chiếc ba lô lên trần toa tàu, ngay phía trên một trục bánh xe của toa tàu. Khối lượng của ba lô 16 (kg), hệ số cứng của dây cao su 900 (N/m), chiều dài mỗi thanh ray là 12,5 (m), ở chỗ nối hai thanh ray có một khe nhỏ. Hỏi tàu chạy với tốc độ bao nhiêu thì ba lô dao động mạnh nhất?
A. 10 m/s
B. 15 m/s
C. 27 m/s
D. 32 m/s
Câu 20. Một con lắc đơn có khối lượng 2 kg và có độ dài 4 m, dao động điều hòa ở nơi có gia tốc trọng trường 9,8 m/s2. Cơ năng dao động của con lắc là 0,2205 J. Biên độ góc của con lắc bằng
A. .
B. .
C. .
D. .
Câu 21. Một sóng cơ truyền dọc theo một sợi dây đàn hồi rất dài với biên độ 8 mm. Tại một thời điểm, hai phần tử trên dây cùng lệch khỏi vị trí cân bằng 4 mm, chuyển động ngược chiều và cách nhau một khoảng ngắn nhất là 7 cm (tính theo phương truyền sóng). Gọi là tỉ số của tốc độ dao động cực đại của một phần tử trên dây với tốc độ truyền sóng, gần giá trị nào nhất sau đây?
A. 0,314.
B. 0,115.
C. 0,087.
D. 0,239.
Câu 22. Một sóng âm có tần số 200 Hz lan truyền trong môi trường nước với vận tốc 1500 m/s. Bước sóng của sóng này trong môi trường nước là
A. 75 m.
B. 7,5 m.
C. 0,75 m.
D. 0,075 m.
Câu 23: Khi nói về sóng điện từ, phát biểu nào sau đây là sai?
A. Sóng điện từ mang năng lượng.
B. Sóng điện từ tuân theo các quy luật giao thoa, nhiễu xạ.
C. Sóng điện từ là sóng ngang.
D. Sóng điện từ không truyền được trong chân không.
Câu 24. Trong thí nghiệm I-âng về giao thoa ánh sáng, các khe sáng được chiếu bằng ánh sáng đơn sắc. Khoảng cách giữa hai khe là 2 mm, khoảng cách từ hai khe đến màn là 4 m. Khoảng cách giữa 5 vân sáng liên tiếp đo được là 4,8 mm. Toạ độ của vân sáng bậc 3 là
A. ± 9,6 mm.
B. ± 4,8 mm.
C. ± 3,6 mm.
D. ± 2,4 mm.
Câu 25. Một thanh thép mảnh dài 1,2 m được đặt nằm ngang phía dưới một nam châm điện. Cho dòng điện xoay chiều chạy qua nam châm điện thì trên dây thép xuất hiện sóng dừng với 6 bụng sóng với đầu cố định là nút và đầu tự do là bụng. Nếu tốc độ truyền sóng trên thanh là 60 m/s thì tần số của dòng điện xoay chiều là
A. 60 Hz.
B. 63,1 Hz.
C. 68,75 Hz.
D. 70,3 Hz.
Câu 26: Tính chất nổi bật của tia X là
A. tác dụng lên kính ảnh.
B. làm phát quang một số chất.
C. làm ion hóa không khí.
D. khả năng đâm xuyên.
Câu 27: Vật có đồ thị li độ dao động như hình vẽ.
Biên độ và chu kì của vật là:
A. A = 2 cm, T = 0,8 s.
B. A = 4 cm, T = 0,4 s.
C. A = 2 cm, T = 0,4 s.
D. A = 4 cm, T = 0,8 s.
Câu 28. Trong một thí nghiệm về giao thoa sóng trên mặt nước, hai nguồn kết hợp A, B dao động cùng pha, cùng tần số f = 32 Hz. Tại một điểm M trên mặt nước cách các nguồn A, B những khoảng d1 = 28 cm, d2 = 23,5 cm; sóng có biên độ cực đại. Giữa M và đường trung trực AB có 1 dãy cực đại khác. Tốc độ truyền sóng trên mặt nước là
A. 32 cm/s.
B. 64 cm/s.
C. 72 cm/s.
D. 91 cm/s.
Câu 29: Một con lắc lò xo đang dao động điều hòa, đại lượng nào sau đây của con lắc được bảo toàn?
A. Cơ năng và thế năng.
B. Động năng và thế năng.
C. Cơ năng.
D. Động năng.
Câu 30. Để đo tốc độ âm trong gang, nhà vật lí Pháp Bi – ô đã dùng một ống bằng gang dài 951,25 m. Một người đập một nhát búa vào một đầu ống gang, một người ở đầu kia nghe thấy hai tiếng gõ, một truyền qua gang và một truyền qua không khí trong ống gang; hai tiếng ấy cách nhau 2,5s. Biết tốc độ truyền âm trong không khí là 340 m/s. Tốc độ truyền âm trong gang là
A. 31,708 m/s.
B. 3170,8 m/s.
C. 3,1708 m/s.
D. 0,3708 m/s.
HẾT
HƯỚNG DẪN GIẢI CHI TIẾT
|
1 - C |
2 - A |
3 - B |
4 - C |
5 - C |
6 - D |
7 - C |
8 - A |
9 - B |
10 - C |
|
11 - D |
12 - A |
13 - B |
14 - D |
15 - B |
16 - A |
17 - C |
18 - B |
19 - B |
20 - A |
|
21 - D |
22 - D |
23 - D |
24 - C |
25 - C |
26 - D |
27 - C |
28 - C |
29 - C |
30 - B |
................................
................................
................................
Trên đây tóm tắt một số nội dung miễn phí trong bộ Đề thi Vật lí 11 mới nhất, để mua tài liệu trả phí đầy đủ, Thầy/Cô vui lòng xem thử:
Tham khảo đề thi Vật lí 11 Kết nối tri thức có đáp án hay khác:
Để học tốt lớp 11 các môn học sách mới:
- Giải bài tập Lớp 11 Kết nối tri thức
- Giải bài tập Lớp 11 Chân trời sáng tạo
- Giải bài tập Lớp 11 Cánh diều
Tủ sách VIETJACK shopee lớp 10-11 (cả 3 bộ sách):
Đã có app VietJack trên điện thoại, giải bài tập SGK, SBT Soạn văn, Văn mẫu, Thi online, Bài giảng....miễn phí. Tải ngay ứng dụng trên Android và iOS.
Theo dõi chúng tôi miễn phí trên mạng xã hội facebook và youtube:Nếu thấy hay, hãy động viên và chia sẻ nhé! Các bình luận không phù hợp với nội quy bình luận trang web sẽ bị cấm bình luận vĩnh viễn.
- Giáo án lớp 11 (các môn học)
- Giáo án điện tử lớp 11 (các môn học)
- Giáo án Toán 11
- Giáo án Ngữ văn 11
- Giáo án Tiếng Anh 11
- Giáo án Vật Lí 11
- Giáo án Hóa học 11
- Giáo án Sinh học 11
- Giáo án Lịch Sử 11
- Giáo án Địa Lí 11
- Giáo án KTPL 11
- Giáo án HĐTN 11
- Giáo án Tin học 11
- Giáo án Công nghệ 11
- Giáo án GDQP 11
- Đề thi lớp 11 (các môn học)
- Đề thi Ngữ Văn 11 (có đáp án)
- Chuyên đề Tiếng Việt lớp 11
- Đề cương ôn tập Văn 11
- Đề thi Toán 11 (có đáp án)
- Đề thi Toán 11 cấu trúc mới
- Đề cương ôn tập Toán 11
- Đề thi Tiếng Anh 11 (có đáp án)
- Đề thi Tiếng Anh 11 mới (có đáp án)
- Đề thi Vật Lí 11 (có đáp án)
- Đề thi Hóa học 11 (có đáp án)
- Đề thi Sinh học 11 (có đáp án)
- Đề thi Lịch Sử 11
- Đề thi Địa Lí 11 (có đáp án)
- Đề thi KTPL 11
- Đề thi Tin học 11 (có đáp án)
- Đề thi Công nghệ 11
- Đề thi GDQP 11 (có đáp án)


Giải bài tập SGK & SBT
Tài liệu giáo viên
Sách
Khóa học
Thi online
Hỏi đáp

