Đề minh họa Toán vào lớp 10 Sở GD&ĐT Đồng Tháp (Chuyên) năm 2026
Bài viết cập nhật Đề minh họa Toán vào lớp 10 Sở GD&ĐT Đồng Tháp (Chuyên) năm 2026 giúp học sinh làm quen với cách ra đề từ đó có thêm tài liệu ôn thi vào lớp 10 môn Toán. Mời các bạn đón đọc:
Đề minh họa Toán vào lớp 10 Sở GD&ĐT Đồng Tháp (Chuyên) năm 2026
Chỉ từ 450k mua trọn bộ Đề ôn thi vào 10 môn Toán năm 2026 theo cấu trúc mới bản word có lời giải chi tiết:
- B1: gửi phí vào tk:
1133836868- CT TNHH DAU TU VA DV GD VIETJACK - Ngân hàng MB (QR) - B2: Nhắn tin tới Zalo VietJack Official - nhấn vào đây để thông báo và nhận giáo án
|
SỞ GIÁO DỤC VÀ ĐÀO TẠO TỈNH ĐỒNG THÁP
(Đề thi có 02 trang) |
KỲ THI TUYỂN SINH LỚP 10 THPT NĂM HỌC 2026-2027 Môn: TOÁN (CHUYÊN TOÁN) Thời gian làm bài: 150 phút, không kể thời gian giao đề |
--------------------------------------------------------------------------------------
Bài 1 (4,0 điểm).
Cho số thực và biểu thức
với x > 0 và x ≠ 4.
a) Rút gọn a và P(x), sau đó tính giá trị của biểu thức P(x) tại x = a.
b) Đặt Q(x) = P(x)(x - + 1) với x > 0 và x ≠ 1. Chứng minh rằng Q(x) > 2.
Bài 2 (3,0 điểm).
a) Một người đi xe đạp từ A đến B cách nhau 24 km. Khi từ B về A, nhờ xuôi chiều gió nên tốc độ lúc về nhanh hơn tốc độ lúc đi là 4 km/h. Vì thế, thời gian về ít hơn thời gian đi là 30 phút. Tính tốc độ của xe đạp khi đi từ A đến B.
b) Giải hệ phương trình
Bài 3 (3 điểm).
a) Trong mặt phẳng tọa độ Oxy, cho hàm số bậc hai y = x2 có đồ thị là một parabol (P) và đường thẳng d : y = 2(m - 3)x - m + 4. Chứng minh rằng parabol (P) và đường thẳng d luôn cắt nhau tại hai điểm phân biệt có hoành độ x1, x2 với mọi giá trị thực của tham số m, và nếu hai hoành độ này dương thì chúng thỏa mãn (x1 - 2)(x2 - 2) < 0.
b) Cho hai phương trình bậc hai với ẩn x sau: x2 + x + m = 0 và x2 + mx + 1 = 0 (m là tham số). Định m để hai phương trình trên có ít nhất một nghiệm chung.
Bài 4 (2,0 điểm).
Cho n số nguyên dương phân biệt tùy ý, không vượt quá 2025.
a) Với n = 1014, chứng minh luôn tồn tại ba số a, b, c trong n số đó sao cho a = b + c.
b) Tìm giá trị nhỏ nhất của n để luôn tồn tại ba số a, b, c trong n số đó sao cho a = b + c.
Bài 5 (2,0 điểm).
Tìm tất cả các bộ ba số nguyên dương (a, k, m). Cho ba số nguyên dương a, k, m thỏa mãn đẳng thức k + ak = m + 2am (1).
a) Chứng minh k > m.
b) Tìm tất cả các bộ ba số nguyên dương (a, k, m) thỏa mãn (1).
Bài 6 (4,0 điểm).
Cho tam giác ABC vuông cân tại C, nội tiếp đường tròn tâm O. Trên đoạn thẳng AB lấy điểm D sao cho BD = BC. Vẽ DH vuông góc AC tại H, tia phân giác của góc cắt DH tại K và cắt đường tròn (O) tại E. Tia CK cắt AB tại M và cắt đường tròn (O) tại F. Tia AC và tia BE cắt nhau tại N.
a) Tính số đo của
b) Chứng minh
c) Chứng minh M là trung điểm của đoạn thẳng AD
d) Đường phân giác của cắt BF tại U và đường tròn (O) tại L. Đường tròn tâm (I) tiếp xúc trong với đường tròn (O) tại S (S thuộc cung nhỏ BC) và tiếp xúc với BF tại T, đồng thời đường tròn (I) cắt CL tại R, V (R bằm giữa C và V). Tia BV cắt (O) tại P. Vẽ dây PQ song song với CF. Chứng minh B, R, Q thẳng hàng.
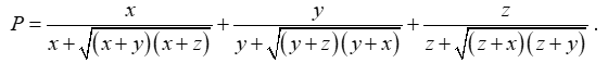
Bài 7 (2,0 điểm).
Cho x, u, z là các số thực dương.
a) Chứng minh .
b) Tìm giá trị nhỏ nhất của biểu thức
------------------------------------------------- HẾT -----------------------------------------------
Xem thêm Đề minh họa Toán vào lớp 10 năm 2026 hay khác:
Đề minh họa Toán vào lớp 10 Sở GD&ĐT Đồng Tháp (Chung) năm 2026
Đề minh họa Toán vào lớp 10 Sở GD&ĐT Lạng Sơn (Chung) năm 2026
Đề tham khảo tuyển sinh vào lớp 10 Toán (không chuyên) Phú Thọ năm 2026
Đề tham khảo tuyển sinh vào lớp 10 Toán (Chuyên) Phú Thọ năm 2026
Đề tham khảo tuyển sinh vào lớp 10 Toán (không chuyên) Ninh Bình năm 2026
Đề tham khảo tuyển sinh vào lớp 10 Toán (Chuyên) Ninh Bình năm 2026
Đề minh họa Toán vào lớp 10 Sở GD&ĐT Đồng Nai (Chung) năm 2026
Đề minh họa Toán vào lớp 10 Sở GD&ĐT Khánh Hòa (Chung) năm 2026
Đề minh họa Toán vào lớp 10 Sở GD&ĐT Hưng Yên (Chung) năm 2026
Để học tốt lớp 10 các môn học sách mới:
- Giải bài tập Lớp 10 Kết nối tri thức
- Giải bài tập Lớp 10 Chân trời sáng tạo
- Giải bài tập Lớp 10 Cánh diều
Đã có app VietJack trên điện thoại, giải bài tập SGK, SBT Soạn văn, Văn mẫu, Thi online, Bài giảng....miễn phí. Tải ngay ứng dụng trên Android và iOS.
Theo dõi chúng tôi miễn phí trên mạng xã hội facebook và youtube:Loạt bài Đề thi vào lớp 10 môn Toán (có đáp án) được các Giáo viên hàng đầu biên soạn theo cấu trúc ra đề thi Trắc nghiệm, Tự luận mới giúp bạn ôn luyện và giành được điểm cao trong kì thi vào lớp 10 môn Toán.
Nếu thấy hay, hãy động viên và chia sẻ nhé! Các bình luận không phù hợp với nội quy bình luận trang web sẽ bị cấm bình luận vĩnh viễn.
- Giáo án lớp 9 (các môn học)
- Giáo án điện tử lớp 9 (các môn học)
- Giáo án Toán 9
- Giáo án Ngữ văn 9
- Giáo án Tiếng Anh 9
- Giáo án Khoa học tự nhiên 9
- Giáo án Vật Lí 9
- Giáo án Hóa học 9
- Giáo án Sinh học 9
- Giáo án Địa Lí 9
- Giáo án Lịch Sử 9
- Giáo án GDCD 9
- Giáo án Tin học 9
- Giáo án Công nghệ 9
- Đề thi lớp 9 (các môn học)
- Đề thi Ngữ Văn 9 (có đáp án)
- Đề thi Toán 9 (có đáp án)
- Đề thi Tiếng Anh 9 mới (có đáp án)
- Đề thi Tiếng Anh 9 (có đáp án)
- Đề thi Khoa học tự nhiên 9 (có đáp án)
- Đề thi Lịch Sử và Địa Lí 9 (có đáp án)
- Đề thi GDCD 9 (có đáp án)
- Đề thi Tin học 9 (có đáp án)
- Đề thi Công nghệ 9 (có đáp án)


Giải bài tập SGK & SBT
Tài liệu giáo viên
Sách
Khóa học
Thi online
Hỏi đáp

