Đề tham khảo tuyển sinh vào lớp 10 Toán (Chuyên) Ninh Bình năm 2026
Bài viết cập nhật Đề tham khảo tuyển sinh vào lớp 10 Toán (Chuyên) Ninh Bình năm 2026 giúp học sinh làm quen với cách ra đề từ đó có thêm tài liệu ôn thi vào lớp 10 môn Toán.
Đề tham khảo tuyển sinh vào lớp 10 Toán (Chuyên) Ninh Bình năm 2026
Chỉ từ 150k mua trọn bộ Đề ôn thi vào 10 môn Toán năm 2026 theo cấu trúc mới bản word có lời giải chi tiết:
- B1: gửi phí vào tk:
1133836868- CT TNHH DAU TU VA DV GD VIETJACK - Ngân hàng MB (QR) - B2: Nhắn tin tới Zalo VietJack Official - nhấn vào đây để thông báo và nhận giáo án
A. CẤU TRÚC ĐỀ THI TUYỂN SINH VÀO LỚP 10 TOÁN (CHUYÊN) NINH BÌNH NĂM 2026
I. Quy định chung
1. Thời gian làm bài: 150 phút.
2. Hình thức thi: Tự luận.
3. Điểm toàn bài: 10,0 điểm.
4. Phạm vi kiến thức: Nội dung kiến thức của đề thi nằm trong chương trình môn Toán cấp THCS ban hành kèm theo Thông tư số 32/2018/TT-BGDĐT ngày 26/12/2018 của Bộ trưởng Bộ Giáo dục và Đào tạo, chủ yếu là lớp 9.
5. Lưu ý:
- Câu hỏi ứng dụng giải quyết vấn đề thực tiễn chiếm khoảng 1,0 điểm;
- Thí sinh được sử dụng kiến thức sau đây mà không phải chứng minh: Quan hệ giữa cạnh và đường cao trong tam giác vuông; bất đẳng AM-GM, Cauchy-Schwarz.
6. Cấp độ nhận thức: Thông hiểu khoảng 40%; Vận dụng khoảng 40%; Vận dụng cao khoảng 20%.
II. Cấu trúc đề thi
|
TT |
Phần - Nội dung |
Điểm |
|
1 |
Biểu thức đại số và các vấn đề liên quan: - Rút gọn biểu thức và các hệ thức liên quan; - Đa thức và các vấn đề liên quan. |
2,0 |
|
2 |
Phương trình, hệ phương trình: - Phương trình, hệ phương trình đại số; - Các bài toán liên quan thực tế. |
2,0 |
|
3 |
Hình học phẳng: - Chứng minh đồng quy, thẳng hàng, vuông góc, song song; - Bài toán liên quan đến tam giác, tứ giác, đường tròn; - Bài toán về đẳng thức, bất đẳng thức, giá trị biểu thức hình học. |
3,0 |
|
4 |
Số học: - Các vấn đề về số nguyên, nghiệm nguyên của phương trình; - Tính chất chia hết trên tập số nguyên; - Đồng dư, định lý Fermat nhỏ. |
1,5 |
|
5 |
Tổ hợp: bài toán suy luận logic. |
0,75 |
|
6 |
- Bất đẳng thức, giá trị lớn nhất, nhỏ nhất; - Bài toán tìm GTLN, GTNN có liên quan thực tế. |
0,75 |
B. ĐỀ THI THAM KHẢO TUYỂN SINH VÀO LỚP 10 TOÁN (CHUYÊN) NINH BÌNH NĂM 2026
|
SỞ GIÁO DỤC VÀ ĐÀO TẠO NINH BÌNH ĐỀ THI THAM KHẢO |
KỲ THI TUYỂN SINH LỚP 10 THPT Môn: Toán – Đề thi chuyên Thời gian làm bài: 150 phút (Đề thi gồm: 02 trang) |
Câu 1. (2,0 điểm)
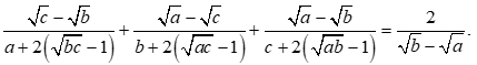
1) Cho a, b, clà các số thực dương đôi một phân biệt thoả mãn: a+ b + c = 5 và Chứng minh rằng:
2) Tìm đa thức (fx) biết rằng f(x) chia cho x - 2 thì dư 2, f(x) chia cho x - 3 thì dư 7 và f(x) chia cho x2 - 5x - 6 thì được thương là 1 - x2 và còn dư.
Câu 2. (2,0 điểm)
1) Giải phương trình
2) Hai tỉnh A, B cách nhau 150 km. Cùng một lúc, một ô tô đi từ A đến B và một xe máy đi từ B về A, hai xe gặp nhau ở thị trấn C. Từ C đến B ô tô đi hết 1 giờ nữa, còn từ C về A xe máy đi hết 2 giờ 15 phút nữa. Tính vận tốc của ô tô và xe máy, biết rằng trên quãng đường AB cả hai xe đều chạy với vận tốc không đổi.
Câu 3. (3,0 điểm)
Cho 2 đường tròn (O) và (O’) cắt nhau tại A và B. Trên tia đối của tia AB lấy điểm M. Qua M kẻ các tiếp tuyến MC, MD đến (O’) (C và D là các tiếp điểm, D nằm trong (O)). Các đường thẳng AC và AD cắt (O) tại các điểm thứ 2 là P và Q. Tiếp tuyến tại A của (O’) cắt (O) tại K. Gọi E là giao điểm của CD và BP, F là giao điểm của BK và AD. Chứng minh:
a) Các điểm B, D, E, F cùng thuộc một đường tròn;
b) ;
c) Đường thẳng CD đi qua trung điểm của PQ.
Câu 4. (1,5 điểm)
1) Tìm các số nguyên x, y thoả mãn (x + 2y)(x+ y)2 + 3x + 7y = 2.
2) Chứng minh nếu một số nguyên dương chia cho 4 dư 3 thì có ước nguyên tố chia cho 4 dư 3.
3) Chứng minh phương trình y2 = x3 + 11 không có nghiệm nguyên.
Câu 5. (1,5 điểm)
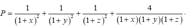
1) Xét các số thực dương x, y, z hỏa mãn y + z = x(y2 + z2). Tìm giá trị nhỏ nhất của biểu thức
2) Cho 6 điểm trên mặt phẳng, khoảng cách giữa đôi một trong chúng là phân biệt. Nối tất cả các đoạn thẳng có đầu mút là hai trong số các điểm. Chứng minh tồn tại một đoạn là cạnh nhỏ nhất của tam giác này nhưng là cạnh lớn nhất của tam giác khác.
----------HẾT---------
Xem thêm đề tham khảo vào 10 Toán năm 2026 trên cả nước khác:
Đề tham khảo tuyển sinh vào lớp 10 Toán (không chuyên) Phú Thọ năm 2026
Đề tham khảo tuyển sinh vào lớp 10 Toán (Chuyên) Phú Thọ năm 2026
Đề tham khảo tuyển sinh vào lớp 10 Toán (không chuyên) Ninh Bình năm 2026
Để học tốt lớp 10 các môn học sách mới:
- Giải bài tập Lớp 10 Kết nối tri thức
- Giải bài tập Lớp 10 Chân trời sáng tạo
- Giải bài tập Lớp 10 Cánh diều
Tủ sách VIETJACK luyện thi vào 10 cho 2k11 (2026):
Đã có app VietJack trên điện thoại, giải bài tập SGK, SBT Soạn văn, Văn mẫu, Thi online, Bài giảng....miễn phí. Tải ngay ứng dụng trên Android và iOS.
Theo dõi chúng tôi miễn phí trên mạng xã hội facebook và youtube:Loạt bài Đề thi vào lớp 10 môn Toán (có đáp án) được các Giáo viên hàng đầu biên soạn theo cấu trúc ra đề thi Trắc nghiệm, Tự luận mới giúp bạn ôn luyện và giành được điểm cao trong kì thi vào lớp 10 môn Toán.
Nếu thấy hay, hãy động viên và chia sẻ nhé! Các bình luận không phù hợp với nội quy bình luận trang web sẽ bị cấm bình luận vĩnh viễn.
- Giáo án lớp 9 (các môn học)
- Giáo án điện tử lớp 9 (các môn học)
- Giáo án Toán 9
- Giáo án Ngữ văn 9
- Giáo án Tiếng Anh 9
- Giáo án Khoa học tự nhiên 9
- Giáo án Vật Lí 9
- Giáo án Hóa học 9
- Giáo án Sinh học 9
- Giáo án Địa Lí 9
- Giáo án Lịch Sử 9
- Giáo án GDCD 9
- Giáo án Tin học 9
- Giáo án Công nghệ 9
- Đề thi lớp 9 (các môn học)
- Đề thi Ngữ Văn 9 (có đáp án)
- Đề thi Toán 9 (có đáp án)
- Đề thi Tiếng Anh 9 mới (có đáp án)
- Đề thi Tiếng Anh 9 (có đáp án)
- Đề thi Khoa học tự nhiên 9 (có đáp án)
- Đề thi Lịch Sử và Địa Lí 9 (có đáp án)
- Đề thi GDCD 9 (có đáp án)
- Đề thi Tin học 9 (có đáp án)
- Đề thi Công nghệ 9 (có đáp án)


Giải bài tập SGK & SBT
Tài liệu giáo viên
Sách
Khóa học
Thi online
Hỏi đáp

