Đề kiểm tra Toán 9 Cánh diều Chương 1 (có lời giải)
Đề kiểm tra Toán 9 Cánh diều Chương 1: Phương trình và hệ phương trình bậc nhất có đáp án chi tiết theo cấu trúc mới với bài tập đa dạng đầy đủ các mức độ sẽ giúp học sinh lớp 9 ôn luyện Toán 9.
Đề kiểm tra Toán 9 Cánh diều Chương 1 (có lời giải)
Chỉ từ 250k mua trọn bộ Bài tập ôn tập + Đề kiểm tra Toán 9 Cánh diều theo Chương theo cấu trúc mới bản word có lời giải chi tiết, trình bày đẹp mắt, dễ dàng chỉnh sửa:
- B1: gửi phí vào tk:
1133836868- CT TNHH DAU TU VA DV GD VIETJACK - Ngân hàng MB (QR) - B2: Nhắn tin tới Zalo VietJack Official - nhấn vào đây để thông báo và nhận đề thi
Phần 1. Trắc nghiệm nhiều phương án lựa chọn
Mỗi câu hỏi thí sinh chỉ chọn một phương án.
Câu 1. Điều kiện xác định của phương trình là
A. .
B. .
C. và .
D. và .
Câu 2. Mẫu thức chung đơn giản nhất khi quy đồng mẫu thức hai vế của phương trình là
A. .
B. .
C. .
D. .
Câu 3. Phương trình nào sau đây là phương trình bậc nhất hai ẩn?
A. .
B. .
C. .
D. .
Câu 4. Giá trị của m để phương trình 4mx - 3y = -8 có nghiệm (2; 0) là
A. m = 1.
B. m = -1.
C. m = -2.
D. m = 2.
Câu 5. Cho phương trình với . Nghiệm của phương trình được biểu diễn bởi
A. .
B. .
C. .
D. .
Câu 6. Một đoàn xe cần vận chuyển hàng hóa thiết yếu tới các vùng có lũ. Nếu xếp mỗi xe 15 tấn thì còn thừa lại 5 tấn, còn nếu xếp mỗi xe 16 tấn thì chở được thêm 3 tấn nữa. Gọi x và y lần lượt là số xe và số tấn hàng cần vận chuyển. Khi đó hệ phương trình biểu diễn mối quan hệ giữa x và y là
A.
B.
C.
D.
Phần 2. Trắc nghiệm đúng sai
Trong mỗi ý a), b), c), d) ở mỗi câu, thí sinh chọn đúng hoặc sai.
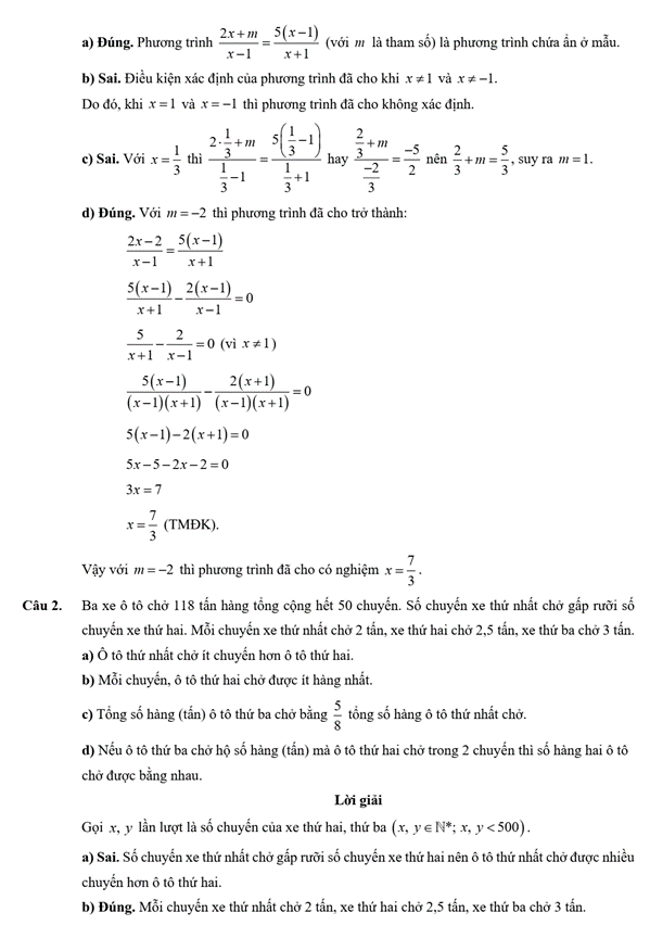
Câu 1. Cho phương trình (với m là tham số).
a) Phương trình đã cho là phương trình chứa ẩn ở mẫu.
b) Khi x = 1 và x = -1 thì phương trình đã cho không xác định.
c) Khi , ta thay vào phương trình đãcho ta tìm được m = 1.
d) Với m = -2 thì phương trình có nghiệm
Câu 2. Ba xe ô tô chở 118 tấn hàng tổng cộng hết 50 chuyến. Số chuyến xe thứ nhất chở gấp rưỡi số chuyến xe thứ hai. Mỗi chuyến xe thứ nhất chở 2 tấn, xe thứ hai chở 2,5 tấn, xe thứ ba chở 3 tấn.
a) Ô tô thứ nhất chở ít chuyến hơn ô tô thứ hai.
b) Mỗi chuyến, ô tô thứ hai chở được ít hàng nhất.
c) Tổng số hàng (tấn) ô tô thứ ba chở bằng tổng số hàng ô tô thứ nhất chở.
d) Nếu ô tô thứ ba chở hộ số hàng (tấn) mà ô tô thứ hai chở trong 2 chuyến thì số hàng hai ô tô chở được bằng nhau.
Phần 3. Trắc nghiệm trả lời ngắn
Trong mỗi câu hỏi, thí sinh viết câu trả lời/ đáp án vào bài làm mà không cần trình bày lời giải chi tiết.
Câu 1.Cho hai biểu thức và Có bao nhiêu giá trị nào của x để hai biểu thức A và B có cùng một giá trị?
Câu 2. Cho hệ phương trình với cặp số (x0; y0) là nghiệm của hệ. Tính giá trị của m để biểu thức đạt giá trị nhỏ nhất (viết kết quả dưới dạng số thập phân).
Câu 3. Qua nghiên cứu, người ta nhận thấy rằng với mỗi người trung bình nhiệt độ môi trường giảm đi 1°C thì lượng calo cần tăng thêm khoảng 30 calo. Tại 21°C, một người làm việc cần sử dụng khoảng 3000 calo mỗi ngày. Người ta thấy mối quan hệ giữa hai đại lượng này là một hàm số bậc nhất y = ax + b (x là đại lượng biểu thị cho nhiệt độ môi trường và y là đại lượng biểu thị cho lượng calo). Nếu một người làm việc ở sa mạc Sahara trong nhiệt độ 50°C thì cần bao nhiêu calo?
................................
................................
................................
Xem thêm đề kiểm tra Toán lớp 9 Cánh diều có đáp án hay khác:
Xem thêm các tài liệu học tốt lớp 9 hay khác:
- Giải sgk Toán 9 Cánh diều
- Giải SBT Toán 9 Cánh diều
- Giải lớp 9 Cánh diều (các môn học)
- Giải lớp 9 Kết nối tri thức (các môn học)
- Giải lớp 9 Chân trời sáng tạo (các môn học)
Tủ sách VIETJACK luyện thi vào 10 cho 2k11 (2026):
Đã có app VietJack trên điện thoại, giải bài tập SGK, SBT Soạn văn, Văn mẫu, Thi online, Bài giảng....miễn phí. Tải ngay ứng dụng trên Android và iOS.
Theo dõi chúng tôi miễn phí trên mạng xã hội facebook và youtube:Loạt bài Giải sgk Toán 9 Tập 1 & Tập 2 của chúng tôi được biên soạn bám sát nội dung sgk Toán 9 Cánh diều (NXB Đại học Sư phạm).
Nếu thấy hay, hãy động viên và chia sẻ nhé! Các bình luận không phù hợp với nội quy bình luận trang web sẽ bị cấm bình luận vĩnh viễn.
- Soạn văn 9 Cánh diều (hay nhất)
- Soạn văn 9 Cánh diều (ngắn nhất)
- Giải sgk Toán 9 - Cánh diều
- Giải Tiếng Anh 9 Global Success
- Giải sgk Tiếng Anh 9 Smart World
- Giải sgk Tiếng Anh 9 Friends plus
- Giải sgk Khoa học tự nhiên 9 - Cánh diều
- Giải sgk Lịch Sử 9 - Cánh diều
- Giải sgk Địa Lí 9 - Cánh diều
- Giải sgk Giáo dục công dân 9 - Cánh diều
- Giải sgk Tin học 9 - Cánh diều
- Giải sgk Công nghệ 9 - Cánh diều
- Giải sgk Hoạt động trải nghiệm 9 - Cánh diều
- Giải sgk Âm nhạc 9 - Cánh diều
- Giải sgk Mĩ thuật 9 - Cánh diều


Giải bài tập SGK & SBT
Tài liệu giáo viên
Sách
Khóa học
Thi online
Hỏi đáp

