Đề kiểm tra Toán 9 Cánh diều Chương 2 (có lời giải)
Đề kiểm tra Toán 9 Cánh diều Chương 2: Bất đẳng thức. Bất phương trình bậc nhất một ẩn có đáp án chi tiết theo cấu trúc mới với bài tập đa dạng đầy đủ các mức độ sẽ giúp học sinh lớp 9 ôn luyện Toán 9.
Đề kiểm tra Toán 9 Cánh diều Chương 2 (có lời giải)
Chỉ từ 250k mua trọn bộ Bài tập ôn tập + Đề kiểm tra Toán 9 Cánh diều theo Chương theo cấu trúc mới bản word có lời giải chi tiết, trình bày đẹp mắt, dễ dàng chỉnh sửa:
- B1: gửi phí vào tk:
1133836868- CT TNHH DAU TU VA DV GD VIETJACK - Ngân hàng MB (QR) - B2: Nhắn tin tới Zalo VietJack Official - nhấn vào đây để thông báo và nhận đề thi
Phần 1. Trắc nghiệm nhiều phương án lựa chọn
Mỗi câu hỏi thí sinh chỉ chọn một phương án.
Câu 1. Bất đẳng thức mô tả phát biểu “x là số không âm” là
A.
B.
C.
D.
Câu 2. Cho . So sánh hai số và . Khẳng định nào dưới đây là đúng?
A. .
B. .
C. .
D. .
Câu 3. Tìm hai số dương khi biết tổng của chúng là 81 và hiệu của chúng là 13. Nếu gọi số lớn là x, số bé là y thì điều kiện của số lớn là
A. .
B. .
C. .
D. .
Câu 4. Giá trị x = 2 là nghiệm của bất phương trình nào sau đây?
A. .
B. .
C. .
D. .
Câu 5. Với giá trị nào của x thì biểu thức 4x + 1 là số âm?
A.
B.
C.
D.
Câu 6. Bạn Tiên dùng 85000 đồng đi mua vở: Loại 1 giá 7500 đồng/quyển, loại 2 giá 6000 đồng/quyển. Gọi x là số vở mỗi loại bạn mua thì bất phương trình lập được thể hiện mối quan hệ giữa số tiền Tiên mua và Tiên mang đi là
A. .
B. .
C. .
D. .
Phần 2. Trắc nghiệm đúng sai
Trong mỗi ý a), b), c), d) ở mỗi câu, thí sinh chọn đúng hoặc sai.
Câu 1. Cho ba số và
a)
b) với c > 0
c) với c < 0
d)
Câu 2. Cho bất phương trình .
a) Bất phương trình trên là bất phương trình bậc nhất một ẩn.
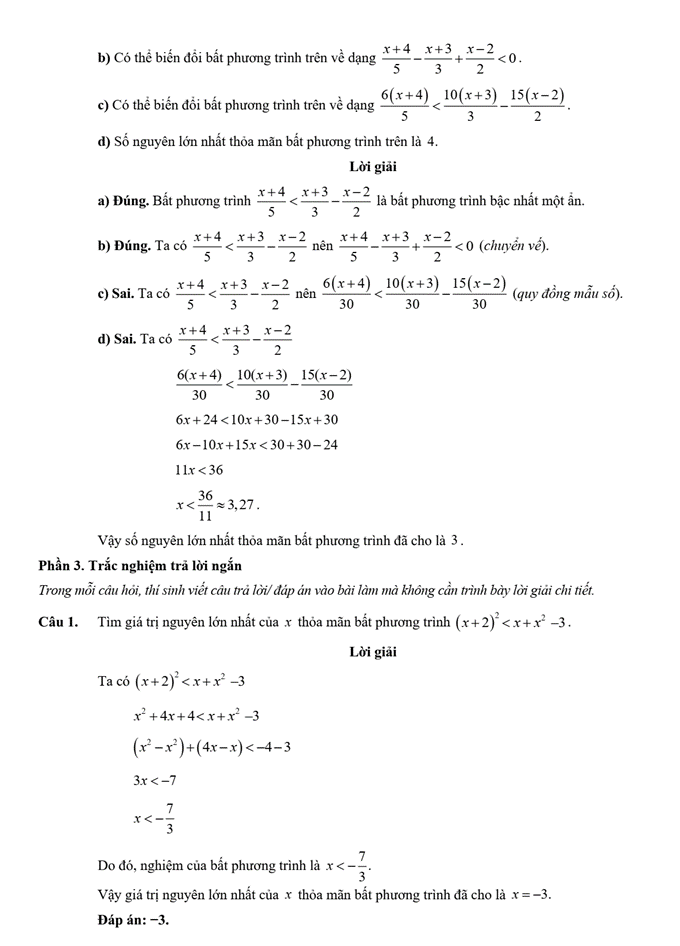
b) Có thể biến đổi bất phương trình trên về dạng .
c) Có thể biến đổi bất phương trình trên về dạng .
d) Số nguyên lớn nhất thỏa mãn bất phương trình trên là 4.
Phần 3. Trắc nghiệm trả lời ngắn
Trong mỗi câu hỏi, thí sinh viết câu trả lời/ đáp án vào bài làm mà không cần trình bày lời giải chi tiết.
Câu 1. Tìm giá trị nguyên lớn nhất của x thỏa mãn bất phương trình .
Câu 2. Người ta dùng một loại xe tải để chở sữa tươi cho một nhà máy. Biết mỗi thùng sữa loại 180 ml nặng trung bình 10 kg. Theo khuyến nghị, trọng tải của xe (tức là tổng khối lượng tối đa cho phép mà xe có thể chở) là 5,25 tấn. Hỏi xe có thể chở được tối đa bao nhiêu thùng sữa như vậy, biết bác lái xe nặng 65 kg?
Câu 3. Một ngân hàng đang áp dụng lãi suất gửi tiết kiệm kì hạn 12 tháng là 6,8% / năm. Ông Kiên dự kiến gửi một số tiền và muốn số lãi hàng năm của mình ít nhất là 70 triệu để chi tiêu. Hỏi số tiền ông Kiên cần gửi tiết kiệm ít nhất là bao nhiêu (làm tròn đến hàng triệu đồng)?
................................
................................
................................
Xem thêm đề kiểm tra Toán lớp 9 Cánh diều có đáp án hay khác:
Xem thêm các tài liệu học tốt lớp 9 hay khác:
- Giải sgk Toán 9 Cánh diều
- Giải SBT Toán 9 Cánh diều
- Giải lớp 9 Cánh diều (các môn học)
- Giải lớp 9 Kết nối tri thức (các môn học)
- Giải lớp 9 Chân trời sáng tạo (các môn học)
Tủ sách VIETJACK luyện thi vào 10 cho 2k11 (2026):
Đã có app VietJack trên điện thoại, giải bài tập SGK, SBT Soạn văn, Văn mẫu, Thi online, Bài giảng....miễn phí. Tải ngay ứng dụng trên Android và iOS.
Theo dõi chúng tôi miễn phí trên mạng xã hội facebook và youtube:Loạt bài Giải sgk Toán 9 Tập 1 & Tập 2 của chúng tôi được biên soạn bám sát nội dung sgk Toán 9 Cánh diều (NXB Đại học Sư phạm).
Nếu thấy hay, hãy động viên và chia sẻ nhé! Các bình luận không phù hợp với nội quy bình luận trang web sẽ bị cấm bình luận vĩnh viễn.
- Soạn văn 9 Cánh diều (hay nhất)
- Soạn văn 9 Cánh diều (ngắn nhất)
- Giải sgk Toán 9 - Cánh diều
- Giải Tiếng Anh 9 Global Success
- Giải sgk Tiếng Anh 9 Smart World
- Giải sgk Tiếng Anh 9 Friends plus
- Giải sgk Khoa học tự nhiên 9 - Cánh diều
- Giải sgk Lịch Sử 9 - Cánh diều
- Giải sgk Địa Lí 9 - Cánh diều
- Giải sgk Giáo dục công dân 9 - Cánh diều
- Giải sgk Tin học 9 - Cánh diều
- Giải sgk Công nghệ 9 - Cánh diều
- Giải sgk Hoạt động trải nghiệm 9 - Cánh diều
- Giải sgk Âm nhạc 9 - Cánh diều
- Giải sgk Mĩ thuật 9 - Cánh diều


Giải bài tập SGK & SBT
Tài liệu giáo viên
Sách
Khóa học
Thi online
Hỏi đáp

