Đề kiểm tra Toán 9 Chân trời sáng tạo Chương 2 (có lời giải)
Đề kiểm tra Toán 9 Chân trời sáng tạo Chương 2: Bất đẳng thức. Bất phương trình bậc nhất một ẩn có đáp án chi tiết theo cấu trúc mới với bài tập đa dạng đầy đủ các mức độ sẽ giúp học sinh lớp 9 ôn luyện Toán 9.
Đề kiểm tra Toán 9 Chân trời sáng tạo Chương 2 (có lời giải)
Chỉ từ 250k mua trọn bộ Bài tập ôn tập + Đề kiểm tra Toán 9 Chân trời sáng tạo theo Chương theo cấu trúc mới bản word có lời giải chi tiết, trình bày đẹp mắt, dễ dàng chỉnh sửa:
- B1: gửi phí vào tk:
1133836868- CT TNHH DAU TU VA DV GD VIETJACK - Ngân hàng MB (QR) - B2: Nhắn tin tới Zalo VietJack Official - nhấn vào đây để thông báo và nhận đề thi
Phần 1. Trắc nghiệm nhiều phương án lựa chọn
Mỗi câu hỏi thí sinh chỉ chọn một phương án.
Câu 1. Bất đẳng thức nào mô tả tình huống buổi sáng nhiệt độ t (°C) không thấp hơn 12°C?
A. .
B. .
C. .
D. .
Câu 2. Với hai số thực a, b khi ab < 0 thì ta nói
A. a, b cùng dương.
B. a, b cùng âm.
C. a, b cùng dấu.
D. a, b trái dấu.
Câu 3. Cho a > b > 0. So sánh a2 và ab; a3 và b3.
A. a2 < ab và a3 > b3.
B. a2 > ab và a3 > b3.
C. a2 < ab và a3 < b3.
D. a2 > ab và a3 < b3.
Câu 4. Cho . Khẳng định nào sau đây là đúng?
A.
B.
C.
D.
Câu 5. Với giá trị nào của x thì biểu thức 4x + 1 là số âm?
A.
B.
C.
D.
Câu 6. Bạn Tiên dùng 85000 đồng đi mua vở: Loại 1 giá 7500 đồng/quyển, loại 2 giá 6000 đồng/quyển. Gọi x là số vở mỗi loại bạn mua thì bất phương trình lập được thể hiện mối quan hệ giữa số tiền Tiên mua và Tiên mang đi là
A. .
B. .
C. .
D. .
Phần 2. Trắc nghiệm đúng sai
Trong mỗi ý a), b), c), d) ở mỗi câu, thí sinh chọn đúng hoặc sai.
Câu 1. Chiều cao h của các bạn nam trong lớp 9A từ 1,5 m đến 1,8 m.
a) Chiều cao h của các bạn nam trong lớp 9A được biểu diễn là .
b) Bạn An là học sinh nam lớp 9A và có chiều cao m.
c) Bạn My là bạn nữ lớp 9A và có chiều cao m.
d) Bạn Kiên là học sinh nam lớp 9A và có thể đạt chiều cao 1,45 m.
Câu 2. Cho bất phương trình m(2x + 1) < 8.
a) Bất phương trình đã cho là bất phương trình bậc nhất ẩn x với tùy ý.
b) Khi m = 1 bất phương trình đã cho có nghiệm là .
c) Khi m = -1 bất phương trình đã cho có nghiệm là .
d) Khi m = -2 bất phương trình đã cho có nghiệm nguyên lớn nhất là -2.
Phần 3. Trắc nghiệm trả lời ngắn
Trong mỗi câu hỏi, thí sinh viết câu trả lời/ đáp án vào bài làm mà không cần trình bày lời giải chi tiết.
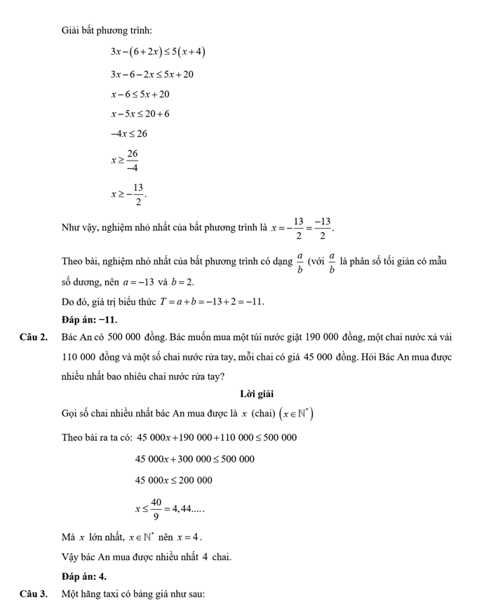
Câu 1. Cho bất phương trình . Biết nghiệm nhỏ nhất của bất phương trình có dạng (với là phân số tối giản có mẫu số dương). Tính giá trị biểu thức .
Câu 2. Bác An có 500 000 đồng. Bác muốn mua một túi nước giặt 190 000 đồng, một chai nước xả vải 110 000 đồng và một số chai nước rửa tay, mỗi chai có giá 45 000 đồng. Hỏi Bác An mua được nhiều nhất bao nhiêu chai nước rửa tay?
Câu 3. Một hãng taxi có bảng giá như sau:
Nếu gọi taxi của hãng này, với 700 000 đồng, bạn Vân có thể đi được tối đa bao nhiêu km?
................................
................................
................................
Xem thêm đề kiểm tra Toán lớp 9 Chân trời sáng tạo có đáp án hay khác:
Đề kiểm tra Toán 9 Chân trời sáng tạo Chương 1 (có lời giải)
Đề kiểm tra Toán 9 Chân trời sáng tạo Chương 3 (có lời giải)
Đề kiểm tra Toán 9 Chân trời sáng tạo Chương 4 (có lời giải)
Xem thêm các tài liệu học tốt lớp 9 hay khác:
- Giải sgk Toán 9 Chân trời sáng tạo
- Giải SBT Toán 9 Chân trời sáng tạo
- Giải lớp 9 Chân trời sáng tạo (các môn học)
- Giải lớp 9 Kết nối tri thức (các môn học)
- Giải lớp 9 Cánh diều (các môn học)
Tủ sách VIETJACK luyện thi vào 10 cho 2k11 (2026):
Đã có app VietJack trên điện thoại, giải bài tập SGK, SBT Soạn văn, Văn mẫu, Thi online, Bài giảng....miễn phí. Tải ngay ứng dụng trên Android và iOS.
Theo dõi chúng tôi miễn phí trên mạng xã hội facebook và youtube:Loạt bài Giải sgk Toán 9 Tập 1 & Tập 2 của chúng tôi được biên soạn bám sát nội dung sgk Toán 9 Chân trời sáng tạo (NXB Giáo dục).
Nếu thấy hay, hãy động viên và chia sẻ nhé! Các bình luận không phù hợp với nội quy bình luận trang web sẽ bị cấm bình luận vĩnh viễn.
- Soạn văn 9 (hay nhất) - CTST
- Soạn văn 9 (ngắn nhất) - CTST
- Giải sgk Toán 9 - CTST
- Giải Tiếng Anh 9 Global Success
- Giải sgk Tiếng Anh 9 Smart World
- Giải sgk Tiếng Anh 9 Friends plus
- Giải sgk Khoa học tự nhiên 9 - CTST
- Giải sgk Lịch Sử 9 - CTST
- Giải sgk Địa Lí 9 - CTST
- Giải sgk Giáo dục công dân 9 - CTST
- Giải sgk Tin học 9 - CTST
- Giải sgk Công nghệ 9 - CTST
- Giải sgk Hoạt động trải nghiệm 9 - CTST
- Giải sgk Âm nhạc 9 - CTST
- Giải sgk Mĩ thuật 9 - CTST


Giải bài tập SGK & SBT
Tài liệu giáo viên
Sách
Khóa học
Thi online
Hỏi đáp

