13 Bài tập Tích phân (có đáp án) - Kết nối tri thức Trắc nghiệm Toán 12
Với 13 bài tập trắc nghiệm Tích phân Toán 12 có đáp án và lời giải chi tiết đầy đủ các mức độ, có đúng sai, trả lời ngắn sách Kết nối tri thức sẽ giúp học sinh lớp 12 ôn luyện trắc nghiệm để biết cách làm các dạng bài tập Toán 12.
13 Bài tập Tích phân (có đáp án) - Kết nối tri thức Trắc nghiệm Toán 12
Phần I. Trắc nghiệm nhiều lựa chọn
I. Nhận biết
Câu 1. Cho hàm số liên tục trên đoạn . Gọi là một nguyên hàm của hàm số trên đoạn . Chọn mệnh đề đúng.
A.
B.
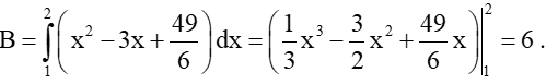
C.
D.
Câu 2. Cho hàm số liên tục trên đoạn . Gọi là một nguyên hàm của hàm số trên đoạn . Chọn mệnh đề sai.
A.
B.
C.
D.
Câu 3. Cho hàm số có đạo hàm và liên tục trên đoạn . Gọi là một nguyên hàm của hàm số trên đoạn . Chọn mệnh đề đúng.
A.
B.
C.
D.
Câu 4. Cho hàm số liên tục trên đoạn , k là hằng số . Xét các mệnh đề sau:
a)
b)
c)
d)
Số mệnh đề đúng là
A. 1.
B. 2.
C. 3.
D. 4.
Câu 5. Cho hàm số liên tục trên và thỏa mãn . Trong các mệnh đề dưới đây, mệnh đề đúng là
A.
B.
C.
D.
II. Thông hiểu
Câu 6. Tính
A.
B.
C.
D.
Câu 7. Cho . Tính
A. 3.
B. 6.
C. 5.
D. 4.
Câu 8. Tính tích phân bằng
A.
B.
C.
D.
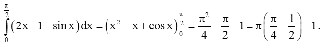
Câu 9. Giá trị bằng
A. 0.
B. 1.
C. −1.
D.
III. Vận dụng
Câu 10. Một vật chuyển động với vận tốc 10 m/s thì tăng tốc với gia tốc được tính theo thời gian là . Tính quãng đường vật đi được trong khoảng thời gian 6 giây kể từ khi vật bắt đầu tăng tốc.
A. 136 m.
B. 126 m.
C. 276 m.
D. 216 m.
Phần II. Trắc nghiệm đúng - sai
Câu hỏi. Cho hàm số có đạo hàm .
a).
b) .
c) .
d) .
Phần III. Trả lời ngắn
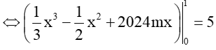
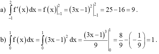
Câu 1. Biết . Tính .
Câu 2. Cho .
Tính .
Xem thêm bài tập trắc nghiệm Toán lớp 12 Kết nối tri thức có đáp án hay khác:
Trắc nghiệm Toán 12 Bài 15: Phương trình đường thẳng trong không gian
Trắc nghiệm Toán 12 Bài 16: Công thức tính góc trong không gian
Xem thêm các tài liệu học tốt lớp 12 hay khác:
- Giải sgk Toán 12 Kết nối tri thức
 - Giải Chuyên đề học tập Toán 12 Kết nối tri thức
 - Giải SBT Toán 12 Kết nối tri thức
 - Giải lớp 12 Kết nối tri thức (các môn học)
 - Giải lớp 12 Chân trời sáng tạo (các môn học)
 - Giải lớp 12 Cánh diều (các môn học)
 
Đã có app VietJack trên điện thoại, giải bài tập SGK, SBT Soạn văn, Văn mẫu, Thi online, Bài giảng....miễn phí. Tải ngay ứng dụng trên Android và iOS.
Theo dõi chúng tôi miễn phí trên mạng xã hội facebook và youtube:Nếu thấy hay, hãy động viên và chia sẻ nhé! Các bình luận không phù hợp với nội quy bình luận trang web sẽ bị cấm bình luận vĩnh viễn.
- Soạn văn 12 (hay nhất) - KNTT
 - Soạn văn 12 (ngắn nhất) - KNTT
 - Giải sgk Toán 12 - KNTT
 - Giải Tiếng Anh 12 Global Success
 - Giải sgk Tiếng Anh 12 Smart World
 - Giải sgk Tiếng Anh 12 Friends Global
 - Giải sgk Vật Lí 12 - KNTT
 - Giải sgk Hóa học 12 - KNTT
 - Giải sgk Sinh học 12 - KNTT
 - Giải sgk Lịch Sử 12 - KNTT
 - Giải sgk Địa Lí 12 - KNTT
 - Giải sgk Giáo dục KTPL 12 - KNTT
 - Giải sgk Tin học 12 - KNTT
 - Giải sgk Công nghệ 12 - KNTT
 - Giải sgk Hoạt động trải nghiệm 12 - KNTT
 - Giải sgk Giáo dục quốc phòng 12 - KNTT
 - Giải sgk Âm nhạc 12 - KNTT
 - Giải sgk Mĩ thuật 12 - KNTT
 
   

		                    Giải bài tập SGK & SBT
		                
		                    Tài liệu giáo viên
		                
		                    Sách
		                
		                    Khóa học
		                
		                    Thi online
		                
		                    Hỏi đáp
		                
