13 Bài tập Phương trình đường thẳng trong không gian (có đáp án) - Kết nối tri thức Trắc nghiệm Toán 12
Với 13 bài tập trắc nghiệm Phương trình đường thẳng trong không gian Toán 12 có đáp án và lời giải chi tiết đầy đủ các mức độ, có đúng sai, trả lời ngắn sách Kết nối tri thức sẽ giúp học sinh lớp 12 ôn luyện trắc nghiệm để biết cách làm các dạng bài tập Toán 12.
13 Bài tập Phương trình đường thẳng trong không gian (có đáp án) - Kết nối tri thức Trắc nghiệm Toán 12
Phần I. Trắc nghiệm nhiều lựa chọn
I. Nhận biết
Câu 1. Trong hệ tọa độ Oxyz, cho đường thẳng . Đường thẳng d có một vectơ chỉ phương là
A.
B.
C.
D.
Câu 2. Trong hệ tọa độ Oxyz, cho hai điểm . Tìm một vectơ chỉ phương của đường thẳng AB.
A.
B.
C.
D.
Câu 3. Cho đường thẳng . Điểm nào sau đây thuộc đường thẳng d?
A.
B.
C.
D.
Câu 4. Trong hệ tọa độ Oxyz, đường thẳng nào dưới đây đi qua điểm ?
A.
B.
C.
D.
Câu 5. Trong hệ tọa độ Oxyz, phương trình đường thẳng đi qua hai điểm và là
A.
B.
C.
D.
II. Thông hiểu
Câu 6. Trong hệ tọa độ Oxyz, phương trình tham số của đường thẳng đi qua điểm và vuông góc với mặt phẳng là
A.
B.
C.
D.
Câu 7. Cho điểm và mặt phẳng . Gọi d là đường thẳng đi qua A và vuông góc với (P). Điểm nào sau đây không thuộc đường thẳng d?
A.
B.
C.
D.
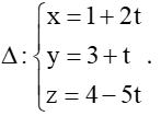
Câu 8. Trong hệ tọa độ Oxyz, cho hai đường thẳng và . Xét vị trí tương đối của hai đường thẳng đã cho
A. Chéo nhau.
B. Trùng nhau.
C. Song song.
D. Cắt nhau.
Câu 9. Trong hệ tọa độ Oxyz, cho tam giác ABC có Phương trình đường trung tuyến AM của tam giác ABC là
A.
B.
C.
D.
III. Vận dụng
Câu 10. Trong không gian Oxyz, cho hai điểm và . Viết phương trình đường thẳng d đi qua trọng tâm tam giác OAB vuông góc với mặt phẳng (OAB)
A.
B.
C.
D.
Phần II. Trắc nghiệm đúng - sai
Câu hỏi. Trong không gian Oxyz, cho đường thẳng
a) Một vectơ chỉ phương của đường thẳng là .
b) Điểm thuộc đường thẳng .
c) Đường thẳng vuông góc với đường thẳng .
d) Đường thẳng cắt mặt phẳng (Oxz) tại điểm M(−5; 0; 19).
Phần III. Trả lời ngắn
Câu 1. Trong không gian Oxyz, cho đường thẳng và mặt phẳng (α): x – 2y – 2z + 5 = 0. Điểm A(a; b; c) có hoành độ dương thuộc đường thẳng d sao cho khoảng cách từ A đến (α) bằng 3. Tính a + b - c.
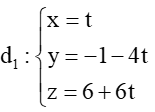
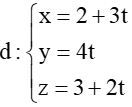
Câu 2. Trong không gian với hệ tọa độ Oxyz, cho hai đường thẳng và . Phương trình chính tắc của đường thẳng d3 đi qua M(1; −1; 2) và vuông góc với cả d1; d2 có dạng . Tính a + b + c.
Xem thêm bài tập trắc nghiệm Toán lớp 12 Kết nối tri thức có đáp án hay khác:
Trắc nghiệm Toán 12 Bài 16: Công thức tính góc trong không gian
Trắc nghiệm Toán 12 Bài 19: Công thức xác suất toàn phần và công thức Bayes
Xem thêm các tài liệu học tốt lớp 12 hay khác:
- Giải sgk Toán 12 Kết nối tri thức
- Giải Chuyên đề học tập Toán 12 Kết nối tri thức
- Giải SBT Toán 12 Kết nối tri thức
- Giải lớp 12 Kết nối tri thức (các môn học)
- Giải lớp 12 Chân trời sáng tạo (các môn học)
- Giải lớp 12 Cánh diều (các môn học)
Đã có app VietJack trên điện thoại, giải bài tập SGK, SBT Soạn văn, Văn mẫu, Thi online, Bài giảng....miễn phí. Tải ngay ứng dụng trên Android và iOS.
Theo dõi chúng tôi miễn phí trên mạng xã hội facebook và youtube:Nếu thấy hay, hãy động viên và chia sẻ nhé! Các bình luận không phù hợp với nội quy bình luận trang web sẽ bị cấm bình luận vĩnh viễn.
- Soạn văn 12 (hay nhất) - KNTT
- Soạn văn 12 (ngắn nhất) - KNTT
- Giải sgk Toán 12 - KNTT
- Giải Tiếng Anh 12 Global Success
- Giải sgk Tiếng Anh 12 Smart World
- Giải sgk Tiếng Anh 12 Friends Global
- Giải sgk Vật Lí 12 - KNTT
- Giải sgk Hóa học 12 - KNTT
- Giải sgk Sinh học 12 - KNTT
- Giải sgk Lịch Sử 12 - KNTT
- Giải sgk Địa Lí 12 - KNTT
- Giải sgk Giáo dục KTPL 12 - KNTT
- Giải sgk Tin học 12 - KNTT
- Giải sgk Công nghệ 12 - KNTT
- Giải sgk Hoạt động trải nghiệm 12 - KNTT
- Giải sgk Giáo dục quốc phòng 12 - KNTT
- Giải sgk Âm nhạc 12 - KNTT
- Giải sgk Mĩ thuật 12 - KNTT


Giải bài tập SGK & SBT
Tài liệu giáo viên
Sách
Khóa học
Thi online
Hỏi đáp

