6 Đề thi Học kì 1 Vật lí 11 Cánh diều (cấu trúc mới, có đáp án)
Với bộ 6 đề thi Vật lí 11 Học kì 1 Cánh diều năm 2026 theo cấu trúc mới có đáp án và ma trận được biên soạn và chọn lọc từ đề thi Vật lí 11 của các trường THPT trên cả nước sẽ giúp học sinh lớp 11 ôn tập và đạt kết quả cao trong các bài thi Học kì 1 Vật lí 11.
6 Đề thi Học kì 1 Vật lí 11 Cánh diều (cấu trúc mới, có đáp án)
Chỉ từ 90k mua trọn bộ Đề thi Học kì 1 Vật lí 11 Cánh diều theo cấu trúc mới bản word có lời giải chi tiết:
- B1: gửi phí vào tk:
1133836868- CT TNHH DAU TU VA DV GD VIETJACK - Ngân hàng MB (QR) - B2: Nhắn tin tới Zalo VietJack Official - nhấn vào đây để thông báo và nhận đề thi
Sở Giáo dục và Đào tạo ...
Đề thi Học kì 1 - Cánh diều
năm 2025
Môn: Vật Lí 11
Thời gian làm bài: phút
(Đề số 1)
A. TRẮC NGHIỆM KHÁCH QUAN
PHẦN I. Câu trắc nghiệm nhiều phương án lựa chọn. Thí sinh trả lời từ câu 1 đến câu 12. Mỗi câu hỏi thí sinh chỉ lựa chọn một phương án.
Câu 1. Trong hệ sóng dừng trên một sợi dây, khoảng cách giữa hai nút hoặc hai bụng liên tiếp bằng
A. một phần tư bước sóng.
B. một phần ba bước sóng.
C. một nửa bước sóng.
D. một bước sóng.
Câu 2. Hình vẽ bên biễu diễn một sóng ngang có chiều truyền sóng từ O đến x. P, Q là hai phần tử nằm trên cùng một phương truyền sóng khi có sóng truyền qua. Chuyển động của P và Q có đặc điểm nào sau đây?
A. Cả hai đồng thời chuyển động sang phải.
B. Cả hai chuyển động sang trái.
C. P đi xuống còn Q đi lên.
D. P đi lên còn Q đi xuống.
Câu 3. Một sợi dây dài 1m, hai đầu cố định và rung với hai bó sóng thì bước sóng của dao động là
A. 0,5 m.
B. 1,0 m.
C. 1,2 m.
D. 1,5 m.
Câu 4. Khoảng cách từ vân sáng bậc 4 bên này đến vân sáng bậc 5 bên kia so với vân sáng trung tâm là
A. 7i.
B. 8i.
C. 9i.
D. 10i.
Câu 5. Hạ âm có tần số
A. nhỏ hơn 16 Hz.
B. lớn hơn 20 000 Hz.
C. nằm trong khoảng từ 16 Hz đến 20 000 Hz.
D. lớn hơn 16 Hz.
Câu 6. Một sóng có tần số góc 110 rad/s truyền qua hai điểm M và N trên phương truyền sóng cách nhau gần nhất 0,45 m sao cho khi M qua vị trí cân bằng thì N ở vị trí có tốc độ dao động bằng 0. Tốc độ truyền sóng là
A. 30,8 m/s.
B. 34,7 m/s.
C. 31,5 m/s.
D. 40,2 m/s.
Câu 7. Chu kì của dao động điều hòa là
A. là số dao động toàn phần thực hiện được trong một giây.
B. là số dao động toàn phần thực hiện được trong một phút.
C. là khoảng thời gian để vật thực hiện được một dao động toàn phần.
D. là khoảng thời gian vật thực hiện được một số dao động toàn phần.
Câu 8: Pha của dao động được dùng để xác định
A. trạng thái dao động.
B. biên độ dao động.
C. chu kì dao động.
D. tần số dao động.
Câu 9. Một vật nhỏ dao động điều hòa theo một quỹ đạo có chiều dài 10 cm. Biên độ của dao động là
A. 10 cm.
B. 5 cm.
C. 2,5 cm.
D. 1,125 cm.
Câu 10: Một vật dao động điều hòa có phương trình . Li độ của vật tại thời điểm t = 0,25 (s) là:
A. 1 cm
B. 1,5 cm
C. 0,5 cm
D. −1 cm
Câu 11: Tại nơi có gia tốc trọng trường g, một con lắc đơn dao động điều hòa với biên độ góc α0 nhỏ. Biết khối lượng vật nhỏ của con lắc là m, chiều dài dây treo là l, mốc thế năng ở vị trí cân bằng. Cơ năng của con lắc là:
A. 2mglα02.
B. (1/2)mglα02.
C. (1/4)mglα02.
D. mglα02.
Câu 12. Một sóng cơ học có biên độ không đổi A, bước sóng λ. Vận tốc dao động cực đại của phần tử môi trường bằng 4 lần tốc độ truyền sóng khi
A.
B.
C.
D.
PHẦN II. Câu trắc nghiệm đúng sai. Thí sinh trả lời từ câu 1 đến câu 2. Trong mỗi ý a), b), c), d) ở mỗi câu, thí sinh chọn đúng hoặc sai
Câu 1. Phát biểu nào đúng, phát biểu nào sai khi nói về dao động điều hòa?
a) Trong dao động điều hòa, véctơ gia tốc luôn hướng về vị trí cân bằng và có độ lớn tỉ lệ với độ lớn của li độ.
b) Dao động điều hòa là dao động trong đó li độ của một vật là một hàm côsin (hay sin) của thời gian.
c) Dao động điều hòa có tính tuần hoàn.
d) Đồ thị của dao động điều hòa là một đường thẳng.
Câu 2. Phát biểu nào đúng, phát biểu nào sai khi nói về đặc điểm của tia hồng ngoại.
a) có khả năng đâm xuyên rất mạnh.
b) có thể kích thích một số chất phát quang.
c) chỉ được phát ra từ các vật bị nung nóng có nhiệt độ trên 5000C.
d) mắt người không nhìn thấy được.
PHẦN III. Câu trắc nghiệm trả lời ngắn. Thí sinh trả lời từ câu 1 đến câu 4
Câu 1. Trên một sợi dây dài đang có sóng ngang hình sin truyền qua theo chiều dương của trục Ox. Tại thời điểm t0, một đoạn của sợi dây có hình dạng như hình bên. Hai phần tử dây tại M và O dao động lệch pha nhau góc bao nhiêu? (Đơn vị: độ).
Câu 2. Một con lắc đơn gồm quả cầu có khối lượng 400 (g) và sợi dây treo không dãn có trọng lượng không đáng kể, chiều dài 0,1 (m) được treo thẳng đứng ở điểm A. Biết con lắc đơn dao động điều hoà, tại vị trí có li độ góc 0,075 (rad) thì có vận tốc (m/s). Cho gia tốc trọng trường 10 (m/s2). Cơ năng của dao động là x.10-3. (Đơn vị: J.). Giá trị của x.
Câu 3: Một vật nhỏ dao động điều hòa với biên độ 4cm và chu kì 2s. Quãng đường vật đi được trong 4s là bao nhiêu cm?
Câu 4: Cho một chất điểm M chuyển động tròn đều trên đường tròn có bán kính bằng 8 cm với vận tốc góc bằng 300 vòng/phút. Gọi P là hình chiếu của M xuống một đường thẳng nằm trong mặt phẳng quỹ đạo. Chu kì dao động của điểm P tương ứng là bao nhiêu giây?
B. TỰ LUẬN
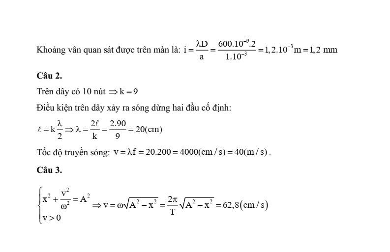
Câu 1. Trong một thí nghiệm I – âng về giao thoa ánh sáng, bước sóng ánh sáng đơn sắc là 600 nm, khoảng cách giữa hai khe hẹp là 1 mm. Khoảng cách từ mặt phẳng chứa hai khe đến màn quan sát là 2 m. Khoảng vân quan sát được trên màn có giá trị bằng bao nhiêu mm?
Câu 2. Trên một sợi dây dài 90 cm có sóng dừng. Kể cả 2 nút ở hai đầu dây thì trên dây có 10 nút sóng. Biết tần số của sóng truyền trên dây là 200 Hz. Sóng truyền trên dây có tốc độ là bao nhiêu? (Đơn vị: m/s).
Câu 3: Một quả cầu dao động điều hoà với biên độ 5 (cm), chu kỳ 0,4 (s). Tính vận tốc của quả cầu tại thời điểm vật có li độ 3 (cm) và đang chuyển động theo chiều dương.
Sở Giáo dục và Đào tạo ...
Đề thi Học kì 1 - Cánh diều
năm 2025
Môn: Vật Lí 11
Thời gian làm bài: phút
(Đề số 2)
Câu 1: Một lò xo có độ cứng ban đầu là k, quả cầu khối lượng m. Khi giảm độ cứng 3 lần và tăng khối lượng vật lên 3 lần thì chu kì mới
A. Giảm 3 lần.
B. Tăng 3 lần.
C. Giảm 9 lần.
D. Không đổi.
Câu 2: Vật dao động điều hòa có phương trình cm. Vật tốc vật đạt được khi đến vị trí cân bằng là
A. 0,4 cm/s.
B. 2,5 cm/s.
C. 0,4 m/s.
D. 40 m/s.
Câu 3: Một vật dao động điều hoà theo phương trình x = 2cos(4πt - π) cm. Li độ và vận tốc của vật ở thời điểm t = 0,5 s là:
A. cm và -4π cm/s.
B. 1 cm và 4π cm/s.
C. cm và 4π cm/s.
D. cm và 4π cm/s.
Câu 4: Một vật dao động điều hoà với biên độ 4 cm. Khi nó có li độ 2 cm thì vận tốc là 1 m/s. Tần số dao động là:
A. ≈ 1 Hz.
B. ≈ 1,2 Hz.
C. ≈ 4,6 Hz.
D. ≈ 3 Hz.
Câu 5: Con lắc lò xo nằm ngang có độ cứng k = 45 N/m. Kích thích vật dao động điều hòa trên đoạn thẳng dài nhất là 4 cm, khi dao động đến biên vật đạt gia tốc 18 m/s2. Bỏ qua mọi lực cản. Khối lượng của vật là
A. 450 g.
B. 250 g.
C. 75 g.
D. 50 g.
Câu 6: Con lắc lò xo gồm lò xo có độ cứng k = 100 N/m, vật nặng có khối lượng m = 100 g dao động điều hòa theo phương ngang. Lấy . Chu kì dao động bằng
A. 1 s.
B. 2 s.
C. 0,1 s.
D. 0,2 s.
Câu 7: Một vật dao động điều hòa với biên độ A = 4 cm tần số góc ω. Chọn gốc thời gian là lúc vật đi qua vị trí có li độ x = 2 cm và đang đi theo chiều âm. Phương trình dao động của vật là
A. x = 2cos(ωt ) cm.
B. x = 4cos(ωt + ) cm.
C. x = 4cos(ωt + ) cm.
D. x = 2cos(ωt ) cm.
Câu 8: Chu kì dao động nhỏ của con lắc đơn phụ thuộc vào
A. chiều dài dây treo con lắc.
B. điều kiện kích thích ban đầu cho con lắc dao động.
C. biên độ dao động của con lắc.
D. khối lượng của con lắc.
Câu 9: Một con lắc đơn có độ dài 1 m dao động với chu kì 2 s. Tại cùng một vị trí thì con lắc đơn dài 3 m sẽ dao động với chu kì:
A. 6 s.
B. 4,24 s.
C. 3,46 s.
D. 1,5 s.
Câu 10: Con lắc đơn có chiều dài , trong khoảng thời gian Dt thực hiện được 40 dao động. Nếu tăng chiều dài dây của dây treo thêm 19 cm, thì cũng trong khoảng thời gian trên con lắc chỉ thực hiện được 36 dao động. Chiều dài lúc đầu của con lắc là:
A. = 64 cm.
B. = 19 cm.
C. = 36 cm.
D. = 81 cm.
Câu 11: Dao động cơ học đổi chiều khi
A. lực tác dụng có độ lớn cực đại.
B. lực tác dụng đổi chiều.
C. lực tác dụng có độ lớn cực tiểu.
D. lực tác dụng bằng không.
Câu 12: Nhận xét nào sau đây không đúng?
A. Biên độ dao động cưỡng bức đạt cực đại khi tần số của lực cưỡng bức bằng tần số dao động riêng của vật.
B. Dao động tắt dần càng nhanh nếu lực cản của môi trường càng lớn.
C. Dao động cưỡng bức có tần số bằng tần số của lực cưỡng bức.
D. Biên độ của dao động cưỡng bức không phụ thuộc tần số của lực cưỡng bức.
Câu 13: Tại cùng một nơi trên Trái Đất, con lắc đơn có chiều dài l dao động điều hòa với chu kì 2 s, con lắc đơn có chiều dài 2l dao động điều hòa với chu kì:
A. .
B. .
C. 2 s.
D. 4 s.
Câu 14: Một lò xo rất nhẹ đặt thẳng đứng, đầu trên gắn cố định, đầu dưới gắn vật nhỏ khối lượng m. Chọn trục Ox thẳng đứng hướng xuống, gốc tọa độ O tại vị trí cân bằng của vật. Lấy g = 10 m/s2. Vật dao động điều hòa trên trục Ox với phương trình . Khi vật ở vị trí cao nhất thì lực đàn hồi của lò xo có độ lớn bằng
A. 1,0 N.
B. 0 N.
C. 1,8 N.
D. 0,1 N.
Câu 15: Một vật dao động điều hòa với biên độ A và cơ năng W. Mốc thế năng của vật ở vị trí cân bằng. Khi vật đi qua vị trí có li độ thì động năng của vật là
A. W.
B. W.
C. W.
D. W.
Câu 16: Một chất điểm dao động điều hòa trên trục Ox. Vectơ gia tốc của chất điểm có
A. độ lớn không đổi, chiều luôn hướng về vị trí cân bằng.
B. độ lớn tỉ lệ với độ lớn của li độ, chiều luôn hướng về vị trí cân bằng.
C. độ lớn cực đại ở vị trí biên, chiều luôn hướng ra biên.
D. độ lớn cực tiểu khi qua vị trí cân bằng luôn cùng chiều với vectơ vận tốc.
Câu 17: Tại một nơi xác định, hai con lắc đơn có độ dài l1 và l2 dao động điều hoà với tần số tương ứng f1 và f2. Tỉ số bằng
A. .
B. .
C. .
D. .
Câu 18: Một vật dao động điều hòa trên đoạn thẳng MN dài 10 cm với tần số 20 Hz. Chọn gốc thời gian lúc vật qua vị trí cân bằng theo chiều dương của quỹ đạo. Phương trình dao động của vật là
A. .
B. .
C. .
D. .
Câu 19: Một vật dao động điều hoà theo phương trình , pha dao động của chất điểm tại thời điểm t = 1 s.
A. 2p (rad).
B. p (rad).
C. 0,5p (rad).
D. 1,5p (rad).
Câu 20: Vật dao động điều hòa có phương trình x = Acos(ωt + φ). Gọi v và a lần lượt là vận tốc và gia tốc của vật. Hệ thức đúng là
A. .
B. .
C. .
D. .
Câu 21: Trong phương trình dao động điều hoà x = Acos(ωt + φ), đại lượng (ωt + φ) được gọi là
A. pha dao động.
B. tần số dao động.
C. biên độ dao động.
D. chu kì dao động.
Câu 22: Tại cùng một vị trí địa lý, nếu chiều dài của con lắc đơn tăng lên 4 lần thì chu kì dao động điều hòa của nó sẽ
A. giảm 4 lần.
B. tăng 2 lần.
C. giảm 2 lần.
D. tăng 4 lần.
Câu 23: Một chất điểm khối lượng m = 100 g, dao động điều hòa dọc theo trục Ox có phương trình x = 4cos(2t) cm. Cơ năng của chất điểm đó bằng
A. 3200 J.
B. 3,2 J.
C. 0,32 J.
D. 0,32 mJ.
Câu 24: Biểu thức tần số góc của con lắc lò xo dao động điều hòa là
A. ω = .
B. ω = .
C. ω = 2π.
D. ω = .
Câu 25: Một vật dao động điều hòa với biên độ A và chu kỳ T. Biết rằng vật thực hiện 12 dao động hết 6 (s). Tốc độ của vật khi qua vị trí cân bằng là 8π (cm/s). Quãng đường lớn nhất vật đi được trong khoảng thời gian bằng chu kỳ T là
A. 8 cm
B. 9 cm.
C. 6 cm.
D. 12 cm.
Câu 26: Con lắc lò xo treo thẳng đứng, tại vị trí cân bằng lò xo dãn ∆ℓo. Kích thích để quả nặng dao động điều hoà theo phương thẳng đứng với chu kỳ T. Thời gian lò xo bị giãn trong một chu kỳ là 2T/3. Biên độ dao động của vật là:
A. A = .
B. A = .
C. A = 2∆ℓo.
D. A = 1,5∆ℓo.
Câu 27: Một con lắc lò xo dao động điều hòa theo thẳng đứng với biên độ A = 10 cm. Tỉ số giữa lực cực đại và cực tiểu tác dụng vào điểm treo trong quá trình dao động là 7/3. Lấy g = π2 = 10 m/s2. Độ biến dạng của lò xo tại VTCB là Dℓ0
A. Dℓ0 = 2,5 cm.
B. Dℓ0 = 25 cm.
B. Dℓ0 = 5 cm.
D. Dℓ0 = 4 cm.
Câu 28: Một con lắc đơn có chiều dài 160 cm, dao động điều hòa với biên độ dài 16 cm. Biên độ góc của dao động là
A. 0,01 rad.
B. 0,1 rad.
C. 0,05 rad.
D. 0,5 rad.
Câu 29: Một chất điểm dao động điều hoà theo phương trình ; tại thời điểm chất điểm có vận tốc bằng
A. .
B. .
C. .
D. .
Câu 30: Dao động cưỡng bức là dao động của hệ:
A. dưới tác dụng của lực quán tính.
B. dưới tác dụng của một ngoại lực biến thiên tuần hoàn theo thời gian.
C. dưới tác dụng của lực đàn hồi.
D. trong điều kiện không có lực ma sát.
BẢNG ĐÁP ÁN
|
1 – B |
2 – C |
3 – C |
4 – C |
5 – D |
6 – D |
7 – C |
8 – A |
9 – C |
10 – D |
|
11 – A |
12 – D |
13 – B |
14 - B |
15 – D |
16 – B |
17 – C |
18 – C |
19 – D |
20 – C |
|
21 – A |
22 – B |
23 – D |
24 – A |
25 – C |
26 – C |
27 – B |
28 – B |
29 – D |
30 – B |
................................
................................
................................
Trên đây tóm tắt một số nội dung miễn phí trong bộ Đề thi Vật lí 11 mới nhất, để mua tài liệu trả phí đầy đủ, Thầy/Cô vui lòng xem thử:
Tham khảo đề thi Vật lí 11 Cánh diều có đáp án hay khác:
Để học tốt lớp 11 các môn học sách mới:
- Giải bài tập Lớp 11 Kết nối tri thức
- Giải bài tập Lớp 11 Chân trời sáng tạo
- Giải bài tập Lớp 11 Cánh diều
Tủ sách VIETJACK shopee lớp 10-11 (cả 3 bộ sách):
Đã có app VietJack trên điện thoại, giải bài tập SGK, SBT Soạn văn, Văn mẫu, Thi online, Bài giảng....miễn phí. Tải ngay ứng dụng trên Android và iOS.
Theo dõi chúng tôi miễn phí trên mạng xã hội facebook và youtube:Nếu thấy hay, hãy động viên và chia sẻ nhé! Các bình luận không phù hợp với nội quy bình luận trang web sẽ bị cấm bình luận vĩnh viễn.
- Giáo án lớp 11 (các môn học)
- Giáo án điện tử lớp 11 (các môn học)
- Giáo án Toán 11
- Giáo án Ngữ văn 11
- Giáo án Tiếng Anh 11
- Giáo án Vật Lí 11
- Giáo án Hóa học 11
- Giáo án Sinh học 11
- Giáo án Lịch Sử 11
- Giáo án Địa Lí 11
- Giáo án KTPL 11
- Giáo án HĐTN 11
- Giáo án Tin học 11
- Giáo án Công nghệ 11
- Giáo án GDQP 11
- Đề thi lớp 11 (các môn học)
- Đề thi Ngữ Văn 11 (có đáp án)
- Chuyên đề Tiếng Việt lớp 11
- Đề cương ôn tập Văn 11
- Đề thi Toán 11 (có đáp án)
- Đề thi Toán 11 cấu trúc mới
- Đề cương ôn tập Toán 11
- Đề thi Tiếng Anh 11 (có đáp án)
- Đề thi Tiếng Anh 11 mới (có đáp án)
- Đề thi Vật Lí 11 (có đáp án)
- Đề thi Hóa học 11 (có đáp án)
- Đề thi Sinh học 11 (có đáp án)
- Đề thi Lịch Sử 11
- Đề thi Địa Lí 11 (có đáp án)
- Đề thi KTPL 11
- Đề thi Tin học 11 (có đáp án)
- Đề thi Công nghệ 11
- Đề thi GDQP 11 (có đáp án)


Giải bài tập SGK & SBT
Tài liệu giáo viên
Sách
Khóa học
Thi online
Hỏi đáp

