Đề thi thử Sinh Tốt nghiệp THPT 2025-2026 Liên trường THPT – Bắc Ninh
Bài viết đề thi thử Sinh Tốt nghiệp THPT 2025-2026 Liên trường THPT – Bắc Ninh. Qua bài viết này sẽ giúp Giáo viên có thêm tài liệu giảng dạy, giúp học sinh có thêm đề ôn thi tốt nghiệp THPT Sinh 2025-2026.
Đề thi thử Sinh Tốt nghiệp THPT 2025-2026 Liên trường THPT – Bắc Ninh
Chỉ từ 350k mua trọn bộ Đề thi thử Tốt nghiệp THPT Sinh học năm 2026 theo cấu trúc mới bản word có lời giải chi tiết:
- B1: gửi phí vào tk:
1133836868- CT TNHH DAU TU VA DV GD VIETJACK - Ngân hàng MB (QR) - B2: Nhắn tin tới Zalo VietJack Official - nhấn vào đây để thông báo và nhận đề thi
|
SỞ GD&ĐT BẮC NINH LIÊN TRƯỜNG THPT ________________ Ngày: 02/11/2025
|
ĐỀ KHẢO SÁT CHẤT LƯỢNG KHỐI 12 LẦN 1, NĂM HỌC 2025 - 2026 Môn: Sinh học Thời gian làm bài: 50 phút (không kể thời gian giao đề) ¯¯¯¯¯¯¯¯¯¯¯¯¯¯¯¯ |
Mã Đề: 4008.
Phần I. Thí sinh trả lời từ câu 1 đến câu 18. Mỗi câu hỏi thí sinh chỉ chọn một phương án
Câu 1. Streptomycin là một loại kháng sinh có khả năng giết chết vi khuẩn bằng cách ức chế hoạt động của ribosome. Nguyên tắc cơ bản của loại kháng sinh này là ngăn chặn vi khuẩn tiến hành quá trình tổng hợp
A. tRNA.
B. mRNA.
C. Polypeptide.
D. amino acid.
Câu 2. Ở người, tính trạng nhóm máu do một gene có 3 allele quy định. Allele IA và IB đồng trội so với allele IO. Một cặp vợ chồng đã sinh được hai người con có nhóm máu khác nhau là AB và O. Kết luận nào sau đây đúng?
A. Cả hai vợ chồng có thể đều có nhóm máu A.
B. Người chồng hoặc người vợ có nhóm máu B.
C. Người chồng hoặc người vợ có nhóm máu O.
D. Người chồng hoặc người vợ có nhóm máu AB.
Câu 3. Phát biểu nào sau đây đúng khi nói về NST?
A. Các gene nằm kế tiếp nhau dọc theo chiều dài của NST.
B. Cùng một locus trên cặp NST tương đồng luôn chứa trình tự nucleotide giống nhau.
C. Ngoài các gene, trên NST không còn chứa các thành phần nào khác.
D. Trình tự nucleotide ở đầu mút của NST có nhiệm vụ gắn với thoi phân bào.
Câu 4. Để chứng minh các nhân tố di truyền không hoà trộn vào nhau, Mendel đã thực hiện phép lai nào?
A. Lai phân tích.
B. Lai thuận nghịch.
C. Lai khác dòng.
D. Lai xa.
Câu 5. Hình dưới mô tả cấu trúc của operon lac theo Monod và Jacob
Theo mô hình này, trong điều kiện có lactose thì RNA polymerase sẽ bám vào vị trí nào để tiến hành phiên mã nhóm gene cấu trúc?
A. LacZ.
B. cấu trúc (1).
C. P của LacI.
D. cấu trúc (2).
Câu 6. Quá trình nhân đôi DNA không có thành phần nào sau đây tham gia?
A. Enzyme ligase.
B. DNA polimerase.
C. Các nucleotide tự do.
D. Amino acid.
Câu 7. Sản phẩm của quá trình quang hợp là
A. chất hữu cơ và khí oxygen.
B. nước và khí carbon dioxide.
C. chất hữu cơ và khí carbon dioxide.
D. carbon dioxide và khí oxygen.
Câu 8. Mendel đã tiến hành bảy phép lai một cặp tính trạng với bảy tính trạng ở cây đậu Hà Lan là màu hoa, hình dạng hạt, chiều cao cây, màu hạt, hình dạng quả, màu quả và vị trí hoa trên cây. Mỗi tính trạng đều có hai đặc tính khác biệt nhau. Thí nghiệm nào sau đây không đúng với cách bố trí thí nghiệm của Mendel?
A. Cây hạt vàng x Cây hạt xanh.
B. Cây hoa tím x Cây hạt vàng.
C. Cây thân cao x Cây thân thấp.
D. Cây hạt vỏ trơn x Cây hạt vỏ nhăn.
Câu 9. Ở Gà (2n = 78), số nhiễm sắc thể trong 1 tế bào sau khi kết thúc kì cuối I của giảm phân là bao nhiêu?
A. 78 NST kép.
B. 39 NST kép.
C. 78 NST đơn.
D. 39 NST đơn.
Câu 10. Ở tế bào nhân thực, tổ chức nào sau đây không chứa DNA?
A. Lục lạp.
B. Ti thể.
C. Nhân.
D. Ribosome.
Câu 11. Khi thủy phân đến cùng protein đơn giản sẽ thu được sản phẩm nào sau đây?
A. Amino acid.
B. Nucleotide.
C. Glucose.
D. Glycerol và acid béo.
Câu 12. Carotenoid có vai trò gì trong quá trình quang hợp?
A. Tham gia vào pha tối của quang hợp.
B. Hấp thụ ánh sáng và truyền cho chlorophyl.
C. Chuyển hóa năng lượng ánh sáng thành năng lượng hóa học.
D. Thay thế hoàn toàn diệp lục khi thiếu ánh sáng.
Câu 13. Cơ chế di truyền nào trong tế bào được mô tả trong hình dưới đây?
A. Tái bản DNA
B. Phiên mã tổng hợp mRNA
C. Dịch mã tổng hợp polypeptide.
D. Phiên mã ngược.
Câu 14. Một loài thực vật giao phấn ngẫu nhiên, allele A bị đột biến thành allele a, allele B bị đột biến thành allele b. Cho biết mỗi gene quy định một tính trạng, các allele trội là trội hoàn toàn. Cơ thể có kiểu gene nào sau đây là thể đột biến?
A. AaBb.
B. AABb.
C. aaBB.
D. AaBB.
Câu 15. Trên mạch khuôn thuộc vùng mã hoá của gene mã hoá protein ở sinh vật nhân sơ có bộ ba là 5’-GCT-3’ thì trình tự nucleotide của anticodon trên phân tử tRNA tương ứng là
A. 3’-GCU-5’.
B. 5’-CGA-3’.
C. 3’-CGA-5’.
D. 5’-GCU-3’.
Câu 16. Hình dưới đây mô tả cấu trúc của một gene.
Gene này chắc chắn có trong tế bào của sinh vật nào dưới đây?
A. Vi khuẩn.
B. Động vật
C. Thực vật.
D. Nấm.
Câu 17. Cơ thể có kiểu gene nào sau đây được gọi là thể đồng hợp 2 cặp gene?
A. AAbb.
B. AABb
C. AaBb.
D. AaBB
Câu 18. Loại nucleic acid nào sau đây không có liên kết hydrogen trong phân tử ?
A. tRNA.
B. rRNA.
C. DNA
D. mRNA.
Phần II. Thí sinh trả lời từ câu 1 đến 4. Trong mỗi ý a), b), c), d) ở mỗi câu, thí sinh chọn đúng hoặc sai.
Câu 1. Ở một loài thực vật lưỡng bội, giả sử allele A bị đột biến điểm tại vùng mã hóa trở thành allele A1. Allele A trội hoàn toàn so với allele A1. Mỗi nhận định sau đây là đúng hay sai về đột biến gene này ?
a) Nếu gene A1 là allele trội so với allele A thì thể đột biến có kiểu gene là AA .
b) Nếu phân tử protein do allele A1 mã hóa có chức năng bị thay đổi so với phân tử protein do allele A mã hóa thì cơ thể mang allele A1 là thể đột biến.
c) Allele A và allele A1 có thể có số lượng nucleotide bằng nhau hoặc hơn kém nhau một nucleotide.
d) Nếu allele A và allele A1 có số nucleotide bằng nhau thì chuỗi polypeptide do hai allele này mã hóa có thể sẽ có số amino acid khác nhau.
Câu 2. Sơ đồ sau mô tả con đường chuyển hóa phenylalanine liên quan đến 2 bệnh chuyển hóa di truyền ở người, gồm bệnh PKU và bệnh AKU:
Cho biết: Allele A mã hoá (1), allele B mã hoá (2); các allele a và b không mã hoá enzyme. Nếu tích tụ nhiều phenylalanine sẽ gây bệnh PKU (Phenylketonuria); nếu tích tụ nhiều homogentistic acid sẽ gây bệnh AKU (Alkaptonuria). Biết rằng p-HPPA và Homogentistic acid chỉ được tạo ra từ con đường chuyển hóa trên và A, a, B, b thuộc các NST thường khác nhau. Phát biểu dưới đây đúng hay sai về 2 bệnh trên?
a) Bố mẹ dị hợp 2 cặp gene xác suất sinh 1 con chỉ bị bệnh PKU mà không bị bệnh AKU bằng 3/16.
b) Bố bị bệnh PKU, mẹ bị bệnh AKU có thể sinh con không mắc cả hai bệnh.
c) Trẻ bị bệnh AKU có thể cho ăn kiêng tyrosine và phenylalanine từ nhỏ thì trẻ sẽ không biểu hiện bệnh.
d) Người bị bệnh PKU và người bị bệnh AKU có số loại kiểu gene khác nhau.
Câu 3. Hình 5a mô tả hệ tuần hoàn máu của người bình thường. Các chữ số (1), (2), (3), (4) chú thích cho các buồng tim (gồm tâm nhĩ và các tâm thất); các chữ cái A, B, C, D, E chú thích cho các mạch máu (gồm động mạch và tĩnh mạch); mũi tên chỉ chiều di chuyển của dòng máu chảy trong hệ mạch. Hình 5b mô tả sự thay đổi áp suất máu trong buồng tim (3), mạch máu B, mạch máu C và mao mạch ở các cơ quan.
a) Sự chêch lệch giữa áp suất máu tối đa và tối thiểu trong buồng tim (3) thấp hơn trong mao mạch.
b) B và A chứa máu giàu O2; E và D chứa máu nghèo O2.
c) Áp lực của máu từ C đến mao mạch giảm dần
d) (1), (2), (3) và (4) lần lượt là tâm nhĩ trái, tâm nhĩ phải, tâm thất phải và tâm thất trái.
Câu 4. Hình vẽ dưới đây mô tả các cơ chế di truyền diễn ra trong một tế bào. Biết rằng (4) là kí hiệu của sự kiện diễn ra trong nhân tế bào, 1, 2, 5, 6, 7 là kí hiệu các đại phân tử sinh học.
Quan sát hình vẽ, hãy có biết các nhận định sau đây đúng hay sai?
a) Các chú thích 1, 2, 3, 7 lần lượt là phân tử tRNA, chuỗi polypeptide, bộ ba đối mã, ribosome.
b) Tế bào đang xét là một tế bào nhân thực.
c) Nhờ cơ chế 4 mà thông tin di truyền được di truyền lại cho các thế hệ sau.
d) Nếu quá trình 4 diễn ra không theo nguyên tắc bổ sung thì dẫn đến đột biến gene.
Phần III. Thí sinh trả lời từ câu 1 đến câu 6.
Câu 1. Nhóm máu ABO được đặc trưng bởi sự hiện diện của kháng nguyên trên bề mặt tế bào hồng cầu, phân tử tiền chất hiện diện trên tế bào hồng cầu là tiền chất H. Con đường chuyển hóa được diễn ra như hình 1. Các alen lặn h và IO không có khă năng tổng hợp enzyme tương ứng. Biết rằng gen H và gen I không thuộc cùng một nhóm liên kết. Tế bào hồng cầu chỉ có kháng nguyên A thì biểu hiện nhóm máu A, chỉ có kháng nguyên B thì biểu hiện nhóm máu B; có cả 2 loại kháng nguyên A và B thì biểu hiện nhóm máu AB.
Trong sơ đồ phả hệ ở hình 2, khi xét về 2 gene nói trên, có thể xác định được chắc chắn kiểu gen của những người nào ? ( điền theo thứ tự từ nhỏ đến lớn)
Câu 2. Cho các cây hoa đỏ (P) có kiểu gene AaBb tự thụ phấn thu được F1 có tỉ lệ kiểu hình 9 cây hoa đỏ: 7 cây hoa trắng. Theo lí thuyết, trong số các cây hoa trắng F1, tỉ lệ cây thuần chủng là bao nhiêu? Hãy thể hiện kết quả bằng số thập phân và làm tròn đến 2 chữ số sau dấu phẩy.
Câu 3. Với 3 loại ribonucleotide là A, U, G có thể tạo ra được bao nhiêu codon có chứa G mã hóa cho amino acid trong chuỗi polipeptide?
Câu 4. Hình sau mô tả một đoạn trình tự nucleotide của gene bình thường và gene đột biến có cấu trúc như sau:
Đoạn trình tự nucleotide sau đột biến có tổng số bao nhiêu liên kết hydrogene?
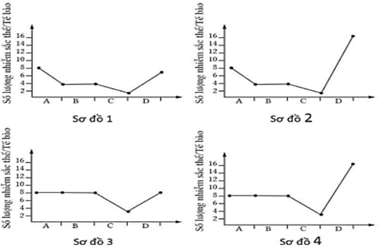
Câu 5. Một tế bào sinh dục sơ khai có bộ NST 2n = 8 nguyên phân liên tiếp hai lần sau đó tiến hành giảm phân. Tất cả các tế bào con tạo ra đều tham gia thụ tinh tạo thành hợp tử. Sơ đồ nào trong hình sau biểu thị sự thay đổi về số lượng NST trong mỗi tế bào phù hợp với từng thời điểm?
(Chú thích: A nguyên phân lần 1; B nguyên phân lần 2; C giảm phân; D thụ tinh tạo hợp tử)
Câu 6. Một đoạn đầu của vùng mã hóa gene cấu trúc của sinh vật nhân sơ có trật tự nucleotide trên mạch gốc như sau: 3’TAC - AAG - AAT - GTT- TTA - CCT - CGG - GCG - GCC - GAA – AAT... 5'
Nếu đột biến thay thế nucleotide thứ 16 là C thay bằng A, thì số amino acid trong phân tử protein do gen đột biến tổng hợp là bao nhiêu?
----HẾT---
Xem thêm đề thi thử Sinh năm 2025-2026 tốt nghiệp THPT trên cả nước khác:
Đã có app VietJack trên điện thoại, giải bài tập SGK, SBT Soạn văn, Văn mẫu, Thi online, Bài giảng....miễn phí. Tải ngay ứng dụng trên Android và iOS.
Theo dõi chúng tôi miễn phí trên mạng xã hội facebook và youtube:Nếu thấy hay, hãy động viên và chia sẻ nhé! Các bình luận không phù hợp với nội quy bình luận trang web sẽ bị cấm bình luận vĩnh viễn.
- Giải Tiếng Anh 12 Global Success
- Giải sgk Tiếng Anh 12 Smart World
- Giải sgk Tiếng Anh 12 Friends Global
- Lớp 12 Kết nối tri thức
- Soạn văn 12 (hay nhất) - KNTT
- Soạn văn 12 (ngắn nhất) - KNTT
- Giải sgk Toán 12 - KNTT
- Giải sgk Vật Lí 12 - KNTT
- Giải sgk Hóa học 12 - KNTT
- Giải sgk Sinh học 12 - KNTT
- Giải sgk Lịch Sử 12 - KNTT
- Giải sgk Địa Lí 12 - KNTT
- Giải sgk Giáo dục KTPL 12 - KNTT
- Giải sgk Tin học 12 - KNTT
- Giải sgk Công nghệ 12 - KNTT
- Giải sgk Hoạt động trải nghiệm 12 - KNTT
- Giải sgk Giáo dục quốc phòng 12 - KNTT
- Giải sgk Âm nhạc 12 - KNTT
- Giải sgk Mĩ thuật 12 - KNTT
- Lớp 12 Chân trời sáng tạo
- Soạn văn 12 (hay nhất) - CTST
- Soạn văn 12 (ngắn nhất) - CTST
- Giải sgk Toán 12 - CTST
- Giải sgk Vật Lí 12 - CTST
- Giải sgk Hóa học 12 - CTST
- Giải sgk Sinh học 12 - CTST
- Giải sgk Lịch Sử 12 - CTST
- Giải sgk Địa Lí 12 - CTST
- Giải sgk Giáo dục KTPL 12 - CTST
- Giải sgk Tin học 12 - CTST
- Giải sgk Hoạt động trải nghiệm 12 - CTST
- Giải sgk Âm nhạc 12 - CTST
- Lớp 12 Cánh diều
- Soạn văn 12 Cánh diều (hay nhất)
- Soạn văn 12 Cánh diều (ngắn nhất)
- Giải sgk Toán 12 Cánh diều
- Giải sgk Vật Lí 12 - Cánh diều
- Giải sgk Hóa học 12 - Cánh diều
- Giải sgk Sinh học 12 - Cánh diều
- Giải sgk Lịch Sử 12 - Cánh diều
- Giải sgk Địa Lí 12 - Cánh diều
- Giải sgk Giáo dục KTPL 12 - Cánh diều
- Giải sgk Tin học 12 - Cánh diều
- Giải sgk Công nghệ 12 - Cánh diều
- Giải sgk Hoạt động trải nghiệm 12 - Cánh diều
- Giải sgk Giáo dục quốc phòng 12 - Cánh diều
- Giải sgk Âm nhạc 12 - Cánh diều


Giải bài tập SGK & SBT
Tài liệu giáo viên
Sách
Khóa học
Thi online
Hỏi đáp

