Đề thi thử Toán Tốt nghiệp THPT 2025-2026 trường THPT Chuyên Bắc Ninh
Bài viết đề thi thử Toán Tốt nghiệp THPT 2025-2026 trường THPT Chuyên Bắc Ninh. Qua bài viết này sẽ giúp Giáo viên có thêm tài liệu giảng dạy, giúp học sinh có thêm đề ôn thi tốt nghiệp THPT Toán 2025-2026.
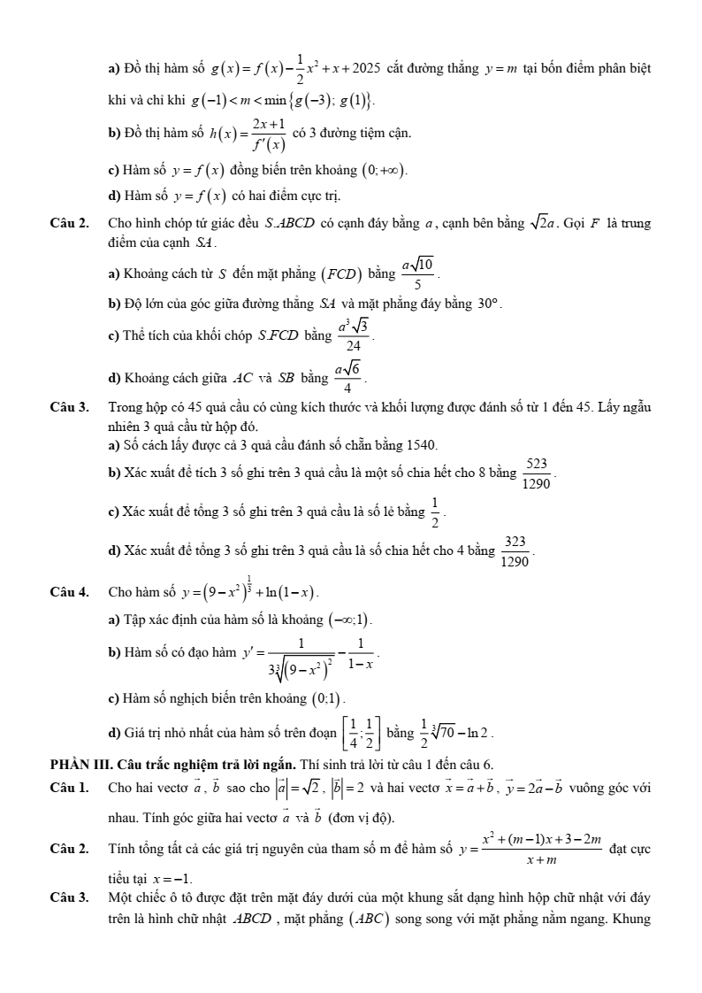
Đề thi thử Toán Tốt nghiệp THPT 2025-2026 trường THPT Chuyên Bắc Ninh
Chỉ từ 500k mua trọn bộ Đề thi thử tốt nghiệp THPT 2026 Toán (từ Trường/Sở) theo cấu trúc mới bản word có lời giải chi tiết:
- B1: gửi phí vào tk:
1133836868- CT TNHH DAU TU VA DV GD VIETJACK - Ngân hàng MB (QR) - B2: Nhắn tin tới Zalo VietJack Official - nhấn vào đây để thông báo và nhận đề thi
|
SỞ GD&ĐT BẮC NINH TRƯỜNG THPT CHUYÊN BẮC NINH 2025-2026 |
ĐỀ KSCL ÔN THI TN THPT 2026 MÔN THI: TOÁN 12 Thời gian: 90 phút (Không kể thời gian phát đề) |
PHẦN I. Câu trắc nghiệm nhiều phương án lựa chọn. Thí sinh trả lời từ câu 1 đến câu 12. Mỗi câu thí sinh chỉ chọn một phương án
Câu 1. Cho hàm số . Giá trị f'(3) bằng
A. .
B. .
C. .
D. .
Câu 2. Cho hình lập phương ABCD.A'B'C'D'. Vectơ nào dưới đây bằng vectơ ?
A. .
B. .
C. .
D. .
Câu 3. Tập xác định của hàm số là
A. [1; 2).
B. (-2; 2).
C. (1; 2].
D. (1; 2).
Câu 4. Khảo sát thời gian tập thể dục của một số học sinh khối 11 thu được mẫu số liệu ghép nhóm như sau:
Trung vị của mẫu số liệu trên gần với số nào nhất?
A. 41,23.
B. 51,54.
C. 40,55.
D. 50.44.
Câu 5. Cho hàm số y = - x3 + 3x2 + 9x - 1. Hệ số góc lớn nhất của tiếp tuyến với đồ thị hàm số là
A. 9.
B. 12.
C. 6.
D. 8.
................................
................................
................................
Xem thêm đề thi thử Toán năm 2025-2026 tốt nghiệp THPT trên cả nước khác:
Đề thi thử Toán Tốt nghiệp THPT 2025-2026 trường THPT Liên cấp Đại học Hồng Đức
Đề thi thử Toán Tốt nghiệp THPT 2025-2026 trường TH - THCS - THPT Lê Thánh Tông
Đề thi thử Toán Tốt nghiệp THPT 2025-2026 trường THPT Bãi Cháy
Đề thi thử Toán Tốt nghiệp THPT 2025-2026 trường THPT Than Uyên
Đề thi thử Toán Tốt nghiệp THPT 2025-2026 trường THPT Chuyên KHTN Hà Nội
Đề thi thử Toán Tốt nghiệp THPT 2025-2026 trường THCS-THPT Nguyễn Khuyến - Lê Thánh Tông
Đề thi thử Toán Tốt nghiệp THPT 2025-2026 trường THPT Nguyễn Viết Xuân
Đề thi thử Toán Tốt nghiệp THPT 2025-2026 trường THPT An Dương
Đề thi thử Toán Tốt nghiệp THPT 2025-2026 trường THPT Đào Duy Từ
Đề thi thử Toán Tốt nghiệp THPT 2025-2026 Cụm trường THPT QV1-TT1-LVT – Bắc Ninh
Đề thi thử Toán Tốt nghiệp THPT 2025-2026 Liên trường THPT – Bắc Ninh
Đề thi thử Toán Tốt nghiệp THPT 2025-2026 trường THPT Nguyễn Đăng Đạo
Đã có app VietJack trên điện thoại, giải bài tập SGK, SBT Soạn văn, Văn mẫu, Thi online, Bài giảng....miễn phí. Tải ngay ứng dụng trên Android và iOS.
Theo dõi chúng tôi miễn phí trên mạng xã hội facebook và youtube:Nếu thấy hay, hãy động viên và chia sẻ nhé! Các bình luận không phù hợp với nội quy bình luận trang web sẽ bị cấm bình luận vĩnh viễn.
- Giải Tiếng Anh 12 Global Success
- Giải sgk Tiếng Anh 12 Smart World
- Giải sgk Tiếng Anh 12 Friends Global
- Lớp 12 Kết nối tri thức
- Soạn văn 12 (hay nhất) - KNTT
- Soạn văn 12 (ngắn nhất) - KNTT
- Giải sgk Toán 12 - KNTT
- Giải sgk Vật Lí 12 - KNTT
- Giải sgk Hóa học 12 - KNTT
- Giải sgk Sinh học 12 - KNTT
- Giải sgk Lịch Sử 12 - KNTT
- Giải sgk Địa Lí 12 - KNTT
- Giải sgk Giáo dục KTPL 12 - KNTT
- Giải sgk Tin học 12 - KNTT
- Giải sgk Công nghệ 12 - KNTT
- Giải sgk Hoạt động trải nghiệm 12 - KNTT
- Giải sgk Giáo dục quốc phòng 12 - KNTT
- Giải sgk Âm nhạc 12 - KNTT
- Giải sgk Mĩ thuật 12 - KNTT
- Lớp 12 Chân trời sáng tạo
- Soạn văn 12 (hay nhất) - CTST
- Soạn văn 12 (ngắn nhất) - CTST
- Giải sgk Toán 12 - CTST
- Giải sgk Vật Lí 12 - CTST
- Giải sgk Hóa học 12 - CTST
- Giải sgk Sinh học 12 - CTST
- Giải sgk Lịch Sử 12 - CTST
- Giải sgk Địa Lí 12 - CTST
- Giải sgk Giáo dục KTPL 12 - CTST
- Giải sgk Tin học 12 - CTST
- Giải sgk Hoạt động trải nghiệm 12 - CTST
- Giải sgk Âm nhạc 12 - CTST
- Lớp 12 Cánh diều
- Soạn văn 12 Cánh diều (hay nhất)
- Soạn văn 12 Cánh diều (ngắn nhất)
- Giải sgk Toán 12 Cánh diều
- Giải sgk Vật Lí 12 - Cánh diều
- Giải sgk Hóa học 12 - Cánh diều
- Giải sgk Sinh học 12 - Cánh diều
- Giải sgk Lịch Sử 12 - Cánh diều
- Giải sgk Địa Lí 12 - Cánh diều
- Giải sgk Giáo dục KTPL 12 - Cánh diều
- Giải sgk Tin học 12 - Cánh diều
- Giải sgk Công nghệ 12 - Cánh diều
- Giải sgk Hoạt động trải nghiệm 12 - Cánh diều
- Giải sgk Giáo dục quốc phòng 12 - Cánh diều
- Giải sgk Âm nhạc 12 - Cánh diều


Giải bài tập SGK & SBT
Tài liệu giáo viên
Sách
Khóa học
Thi online
Hỏi đáp

