Đề thi thử Vật lí Tốt nghiệp THPT 2025-2026 Sở GD&ĐT Tuyên Quang
Bài viết đề thi thử Vật lí Tốt nghiệp THPT 2025-2026 Sở GD&ĐT Tuyên Quang. Qua bài viết này sẽ giúp Giáo viên có thêm tài liệu giảng dạy, giúp học sinh có thêm đề ôn thi tốt nghiệp THPT Vật lí 2025-2026.
Đề thi thử Vật lí Tốt nghiệp THPT 2025-2026 Sở GD&ĐT Tuyên Quang
Chỉ từ 600k mua trọn bộ Đề thi thử tốt nghiệp THPT 2026 Vật lí (từ Trường/Sở) theo cấu trúc mới bản word có lời giải chi tiết:
- B1: gửi phí vào tk:
1133836868- CT TNHH DAU TU VA DV GD VIETJACK - Ngân hàng MB (QR) - B2: Nhắn tin tới Zalo VietJack Official - nhấn vào đây để thông báo và nhận đề thi
|
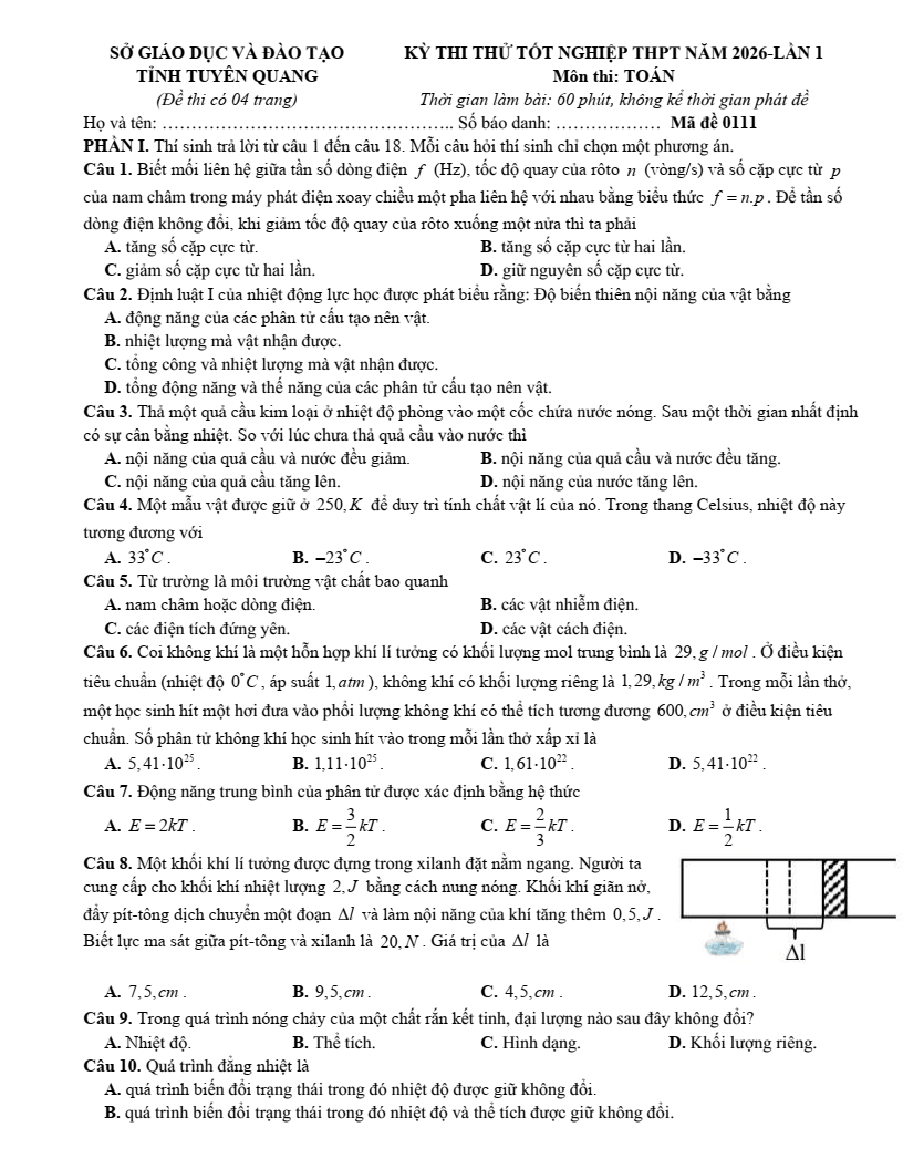
SỞ GIÁO DỤC VÀ ĐÀO TẠO TỈNH TUYÊN QUANG (Đề thi có 04 trang) |
KỲ THI THỬ TỐT NGHIỆP THPT NĂM 2026-LẦN 1 Môn thi: VẬT LÍ Thời gian làm bài: 60 phút, không kể thời gian phát đề |
Họ và tên: …………………………………………..
Số báo danh: ………………
Mã đề 0111
PHẦN I. Thí sinh trả lời từ câu 1 đến câu 18. Mỗi câu hỏi thí sinh chỉ chọn một phương án.
Câu 1. Biết mối liên hệ giữa tần số dòng điện f (Hz), tốc độ quay của rôto n (vòng/s) và số cặp cực từ p của nam châm trong máy phát điện xoay chiều một pha liên hệ với nhau bằng biểu thức f = n.p . Để tần số dòng điện không đổi, khi giảm tốc độ quay của rôto xuống một nửa thì ta phải
A. tăng số cặp cực từ.
B. tăng số cặp cực từ hai lần.
C. giảm số cặp cực từ hai lần.
D. giữ nguyên số cặp cực từ.
Câu 2. Định luật I của nhiệt động lực học được phát biểu rằng: Độ biến thiên nội năng của vật bằng
A. động năng của các phân tử cấu tạo nên vật.
B. nhiệt lượng mà vật nhận được.
C. tổng công và nhiệt lượng mà vật nhận được.
D. tổng động năng và thế năng của các phân tử cấu tạo nên vật.
Câu 3. Thả một quả cầu kim loại ở nhiệt độ phòng vào một cốc chứa nước nóng. Sau một thời gian nhất định có sự cân bằng nhiệt. So với lúc chưa thả quả cầu vào nước thì
A. nội năng của quả cầu và nước đều giảm.
B. nội năng của quả cầu và nước đều tăng.
C. nội năng của quả cầu tăng lên.
D. nội năng của nước tăng lên.
Câu 4. Một mẫu vật được giữ ở 250,K để duy trì tính chất vật lí của nó. Trong thang Celsius, nhiệt độ này tương đương với
A. 33°C.
B. -23°C.
C. 23°C.
D. -33°C.
Câu 5. Từ trường là môi trường vật chất bao quanh
A. nam châm hoặc dòng điện.
B. các vật nhiễm điện.
C. các điện tích đứng yên.
D. các vật cách điện.
Xem thêm đề thi thử Vật lí năm 2025-2026 tốt nghiệp THPT trên cả nước khác:
Đề thi thử Vật lí Tốt nghiệp THPT 2025-2026 trường THPT Chuyên Lê Khiết (Quảng Ngãi)
Đề thi thử Vật lí Tốt nghiệp THPT 2025-2026 Sở GD&ĐT Phú Thọ (Lần 2)
Đề thi thử Vật lí Tốt nghiệp THPT 2025-2026 Sở GD&ĐT Đồng Nai
Đề thi thử Vật lí Tốt nghiệp THPT 2025-2026 Sở GD&ĐT Lạng Sơn
Đề thi thử Vật lí Tốt nghiệp THPT 2025-2026 Sở GD&ĐT Thanh Hóa
Đề thi thử Vật lí Tốt nghiệp THPT 2025-2026 Sở GD&ĐT Nghệ An
Đề thi thử Vật lí Tốt nghiệp THPT 2025-2026 Sở GD&ĐT Cao Bằng
Đề thi thử Vật lí Tốt nghiệp THPT 2025-2026 Sở GD&ĐT Hà Tĩnh
Đề thi thử Vật lí Tốt nghiệp THPT 2025-2026 trường THPT Yên Viên (Hà Nội)
Đã có app VietJack trên điện thoại, giải bài tập SGK, SBT Soạn văn, Văn mẫu, Thi online, Bài giảng....miễn phí. Tải ngay ứng dụng trên Android và iOS.
Theo dõi chúng tôi miễn phí trên mạng xã hội facebook và youtube:Nếu thấy hay, hãy động viên và chia sẻ nhé! Các bình luận không phù hợp với nội quy bình luận trang web sẽ bị cấm bình luận vĩnh viễn.
- Giải Tiếng Anh 12 Global Success
- Giải sgk Tiếng Anh 12 Smart World
- Giải sgk Tiếng Anh 12 Friends Global
- Lớp 12 Kết nối tri thức
- Soạn văn 12 (hay nhất) - KNTT
- Soạn văn 12 (ngắn nhất) - KNTT
- Giải sgk Toán 12 - KNTT
- Giải sgk Vật Lí 12 - KNTT
- Giải sgk Hóa học 12 - KNTT
- Giải sgk Sinh học 12 - KNTT
- Giải sgk Lịch Sử 12 - KNTT
- Giải sgk Địa Lí 12 - KNTT
- Giải sgk Giáo dục KTPL 12 - KNTT
- Giải sgk Tin học 12 - KNTT
- Giải sgk Công nghệ 12 - KNTT
- Giải sgk Hoạt động trải nghiệm 12 - KNTT
- Giải sgk Giáo dục quốc phòng 12 - KNTT
- Giải sgk Âm nhạc 12 - KNTT
- Giải sgk Mĩ thuật 12 - KNTT
- Lớp 12 Chân trời sáng tạo
- Soạn văn 12 (hay nhất) - CTST
- Soạn văn 12 (ngắn nhất) - CTST
- Giải sgk Toán 12 - CTST
- Giải sgk Vật Lí 12 - CTST
- Giải sgk Hóa học 12 - CTST
- Giải sgk Sinh học 12 - CTST
- Giải sgk Lịch Sử 12 - CTST
- Giải sgk Địa Lí 12 - CTST
- Giải sgk Giáo dục KTPL 12 - CTST
- Giải sgk Tin học 12 - CTST
- Giải sgk Hoạt động trải nghiệm 12 - CTST
- Giải sgk Âm nhạc 12 - CTST
- Lớp 12 Cánh diều
- Soạn văn 12 Cánh diều (hay nhất)
- Soạn văn 12 Cánh diều (ngắn nhất)
- Giải sgk Toán 12 Cánh diều
- Giải sgk Vật Lí 12 - Cánh diều
- Giải sgk Hóa học 12 - Cánh diều
- Giải sgk Sinh học 12 - Cánh diều
- Giải sgk Lịch Sử 12 - Cánh diều
- Giải sgk Địa Lí 12 - Cánh diều
- Giải sgk Giáo dục KTPL 12 - Cánh diều
- Giải sgk Tin học 12 - Cánh diều
- Giải sgk Công nghệ 12 - Cánh diều
- Giải sgk Hoạt động trải nghiệm 12 - Cánh diều
- Giải sgk Giáo dục quốc phòng 12 - Cánh diều
- Giải sgk Âm nhạc 12 - Cánh diều


Giải bài tập SGK & SBT
Tài liệu giáo viên
Sách
Khóa học
Thi online
Hỏi đáp

