200+ Trắc nghiệm Năng lượng trường điện tử (có đáp án)
Tổng hợp trên 200 câu hỏi trắc nghiệm Năng lượng trường điện tử có đáp án với các câu hỏi đa dạng, phong phú từ nhiều nguồn giúp sinh viên ôn trắc nghiệm Năng lượng trường điện tử đạt kết quả cao.
200+ Trắc nghiệm Năng lượng trường điện tử (có đáp án)
Câu 1. Phát biểu nào sau đây là không đúng khi nói về điện từ trường?
A. Khi một điện trường biến thiên theo thời gian, nó sinh ra một từ trường xoáy
B. Điện trường xoáy là điện trường có các đường sức là những đường cong không khép kín.
C. Khi một từ trường biến thiên theo thời gian, nó sinh ra một điện trường xoáy
D. Điện từ trường có các đường sức từ bao quanh các đường sức điện.
Câu 2. Một mạch dao động LC lí tưởng gồm cuộn dây có độ tự cảm L = 9 μH và tụ điện C. Năng lượng điện từ trong mạch dao động là W = 7,2.10-7 J. Giá trị cực đại của cường độ dòng điện là
A. 0,1 A.
B. 0,2 A.
C. 0,4 A.
D. 0,5 A
Câu 3. Cường độ dòng điện trong mạch dao động là i = 12cos(2.105t) mA. Biết độ tự cảm của mạch là L = 20mH và năng lượng của mạch được bảo toàn. Lúc i = 8mA thì hiệu điện thế u giữa hai bản tụ có giá trị bao nhiêu?
A. 45,3V
B. B. 16,4V
C. 35,8V
D. 80,5V
Câu 4. Một mạch dao động gồm một tụ điện C = 50μF và một cuộn dây có độ tự cảm L = 5mH. Hãy tính năng lượng toàn phần của mạch điện và điện tích cực đại trên bản cực của tụ điện khi hiệu điện thế cực đại giữa hai bản cực của tụ điện bằng 6V. Hãy tính năng lượng điện trường ở thời điểm mà hiệu điện thế giữa hai bản cực của tụ điện bằng 4V. Coi điện trở thuần của cuộn dây không đáng kể.
A. 3.104 J
B. 0,4 J
C. 4.10-4 J
D. 0,3 J
Câu 5. Một mạch dao động LC gồm một cuộn dây thuần cảm và tụ điện có điện dung C = 4 μF. Mạch đang dao động với hiệu điện thế cực đại giữa hai bản tụ là 5mV. Năng lượng điện từ của mạch là:
A. 5.10-11 J
B. 25.10-11 J
C. 6,5.10-12 mJ
D. 10-9 mJ
Câu 6. Một mạch dao động gồm tụ có C = 20 μF và cuộn dây có L = 50 mH. Cho rằng năng lượng trong mạch được bảo toàn. Cường độ cực đại trong mạch là Io = 10 mA thì hiệu điện thế cực đại giữa hai bản tụ là:
A. 2V
B. 1,5V
C. 1V
D. 0,5V
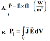
Câu 7. Công thức công suất tòa nhiệt trên thể tích V?
Câu 8. Điểm nào dưới đây không thuộc về nội dung của thuyết điện từ Mac – xoen?
A. Tương tác giữa các điện tích hoặc giữa điện tích với điện trường và từ trường.
B. Mối quan hệ giữa điện tích và sự tồn tại của điện trường và từ tường.
C. Mối quan hệ giữa sự biến thiên theo thời gian của từ trường và điện trường xoáy.
D. Mối quan hệ giữa sự biến thiên theo thời gian của điện trường và từ trường.
Câu 9. Hãy chọn câu đúng? Đặt 1 hộp kín bằng sắt trong điện trường. Trong hộp kín sẽ:
A. Có điện trường
B. Có từ trường
C. Có điện từ trường
D. Không có các trường nói trên
Câu 10. Từ trường tĩnh là gì?
A.Từ trường do dòng chuyển dời có hướng của các điện tích tạo ra (Từ trường của dòng điện không đổi)
B.Từ trường do dòng chuyển dời có hướng của các điện tích tạo ra.
C.Từ trường do dòng chuyển dời có không hướng của các điện tích tạo ra
D.Từ trường do dòng chuyển dời có không hướng của các dòng điện.
Câu 11. Ở đâu có xuất hiện điện từ trường?
A. Xung quanh một điện tích đứng yên.
B. Xung quanh một chỗ có tia lửa điện.
C. Xung quanh một ống dẫn điện.
D. Xung quanh một dòng điện không đổi.
Câu 12.Phát biểu nào sau đây đúng về điện từ trường
A. Điện tích dao động không thể bức xạ sóng điện từ ra không gian
B. Điện trường do một điện tích điểm dao động có thể lan truyền trong không gian dưới dạng sóng
C. Tốc độ của sóng điện từ trong chân không là nhỏ hơn tốc độ ánh sáng trong chân không
D. Điện tích dao động bức xạ ra không gian sóng điện từ với tần số bằng một nửa tần số dao động của nó
Câu 13. Phương trình Maxwell đưa ra mối quan hệ giữa
A.Các lĩnh vực khác nhau
B.các nguồn khác nhau
C.các điều kiện ranh giới khác nhau
D.không ai trong số này
Câu 14. Các phương trình Maxwell ở dạng __________ đưa ra sự không biến đổi tại các điểm không liên tục trong trường điện từ.
A.Khác biệt
B.Tích phân
C.Đại số
D.Không ai trong số này
Câu 15. Phương trình Maxwell dựa trên (các) luật _________.
A.Faraday's
B.Gauss's
C.Ampere's
D.Tất cả những thứ ở đây
Câu 16. Tại điểm không liên tục, __________ thành phần của mật độ từ thông là liên tục.
A.Tiếp tuyến
B.Bình thường
C.Không ai trong số này
D.Không thể nói
Câu 17. Năng lượng từ trường của ống dây dẫn có hệ số tự cảm L, mang dòng điện i, được tính bằng công thức
A. W = L²i/2.
B. W = Li²/2.
C. W = Li/2.
D. W = Li²
Câu 18. Định luật Maxwell đầu tiên dựa trên định luật nào?
A.Định luật Ampe
B.Định luật Faraday
C.Định luật Lenz
D. Định luật Faraday and Lenz
Câu 19. Khi phương trình Maxwellđược biểu diễn trong miền tần số thì sự thay thế nào có thể xảy ra?
A.d/dt=w/j
B. d/dt=j/w
C.d/dt=jw
D không biểu thức diễn được trong miền tần số
Câu 20. Lợi ích của phương trình Maxwell là:
A.Có thể tính được bất kỳ tham số nào
B. Có thể thiết kế được ăngten
C.Có thể tính được độ phân cực của sóng
D.Có thẻ tìm được hăng số đường truyền
Câu 21. Điểm nào dưới đây không thuộc về nội dung của thuyết điện từ Mac – xoen?
A. Tương tác giữa các điện tích hoặc giữa điện tích với điện trường và từ trường.
B. Mối quan hệ giữa điện tích và sự tồn tại của điện trường và từ tường
C. Mối quan hệ giữa sự biến thiên theo thời gian của từ trường và điện trường xoáy.
D. Mối quan hệ giữa sự biến thiên theo thời gian của điện trường và từ trường.
Câu 22. Đĩnh nghĩa vecto Pynting:
Câu 23. Mạch dao động điện từ gồm cuộn dây thuần cảm L=50mH và tụ điện C=50uF. Giá trị cực đại của điện áp giữa hai đầu tụ điện là 12V. Tại thời điểm điện áp giữa hai đầu cuộn dây bằng 8V thì năng lượng điện trường và năng lượng từ trường lần lượt là
A. 2.10−3J và 1,6.10−3J
B. 1,6.10−3J và 2.10−3J
C. 2,5.10−3J và 1,1.10−3J
D. 0,6.10−3J và 3.10−3J
Câu 24. Mạch dao động LC: Khi cường độ qua cuộn dây có giá trị bằng giá trị hiệu dụng thì năng lượng từ trường
A. bằng năng lượng điện trường
B. gấp 3 lần năng lượng điện trường
C. bằng 1/3 năng lượng điện trường
D. gấp 2 lần năng lượng điện trường
Câu 25. Một mạch dao động LC có điện trở thuần không đáng kể, tụ điện có điện dung 5 mF. Dao động điện từ riêng (tự do) của mạch LC với hiệu điện thế cực đại hai đầu tụ điện bằng 6V. Khi hiệu điện thế ở hai đầu tụ điện là 4V thì năng lượng từ trường trong mạch bằng
A. 5.10−2J
B. 5.10−5J
C. 2,5.10−5J
D. 10−5J
................................
................................
................................
Xem thêm câu hỏi trắc nghiệm các môn học Đại học có đáp án hay khác:
Sách VietJack thi THPT quốc gia 2025 cho học sinh 2k7:
- Soạn văn 12 (hay nhất) - KNTT
- Soạn văn 12 (ngắn nhất) - KNTT
- Giải sgk Toán 12 - KNTT
- Giải Tiếng Anh 12 Global Success
- Giải sgk Tiếng Anh 12 Smart World
- Giải sgk Tiếng Anh 12 Friends Global
- Giải sgk Vật Lí 12 - KNTT
- Giải sgk Hóa học 12 - KNTT
- Giải sgk Sinh học 12 - KNTT
- Giải sgk Lịch Sử 12 - KNTT
- Giải sgk Địa Lí 12 - KNTT
- Giải sgk Giáo dục KTPL 12 - KNTT
- Giải sgk Tin học 12 - KNTT
- Giải sgk Công nghệ 12 - KNTT
- Giải sgk Hoạt động trải nghiệm 12 - KNTT
- Giải sgk Giáo dục quốc phòng 12 - KNTT
- Giải sgk Âm nhạc 12 - KNTT
- Giải sgk Mĩ thuật 12 - KNTT
Giải bài tập SGK & SBT
Tài liệu giáo viên
Sách
Khóa học
Thi online
Hỏi đáp



