Đề thi Giữa kì 2 Toán 12 trường chuyên Lê Hồng Phong (Nam Định) năm 2024-2025
Với đề thi Giữa kì 2 Toán 12 trường chuyên Lê Hồng Phong, Nam Định năm 2024-2025 sẽ giúp học sinh lớp 12 ôn tập và đạt điểm cao trong bài thi Toán 12.
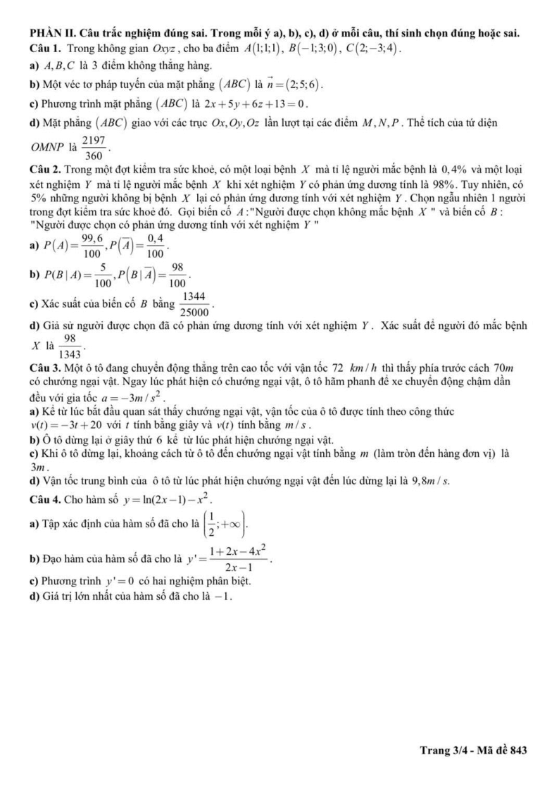
Đề thi Giữa kì 2 Toán 12 trường chuyên Lê Hồng Phong (Nam Định) năm 2024-2025
Xem thử Đề thi GK2 Toán 12 KNTT Xem thử Đề thi GK2 Toán 12 CTST Xem thử Đề thi GK2 Toán 12 CD
Chỉ từ 180k mua trọn bộ đề thi Toán 12 Giữa kì 2 theo cấu trúc mới bản word có lời giải chi tiết, dễ dàng chỉnh sửa:
- B1: gửi phí vào tk:
1133836868- CT TNHH DAU TU VA DV GD VIETJACK - Ngân hàng MB (QR) - B2: Nhắn tin tới Zalo VietJack Official - nhấn vào đây để thông báo và nhận giáo án
Xem thử Đề thi GK2 Toán 12 KNTT Xem thử Đề thi GK2 Toán 12 CTST Xem thử Đề thi GK2 Toán 12 CD
Xem thêm đề thi Toán 12 Giữa kì 2 các trường trên cả nước hay khác:
Đề thi Giữa kì 2 Toán 12 trường THPT Ngô Quyền (Nam Định) năm 2024-2025
Đề thi Giữa kì 2 Toán 12 trường THPT Âu Cơ (Quảng Nam) năm 2024-2025
Đề thi Giữa kì 2 Toán 12 trường THPT Thanh Hòa (Bình Phước) năm 2024-2025
Đề thi Giữa kì 2 Toán 12 trường THPT chuyên Vị Thanh (Hậu Giang) năm 2024-2025
Đề thi Giữa kì 2 Toán 12 trường THPT Lê Lợi (Kon Tum) năm 2024-2025
Đề thi Giữa kì 2 Toán 12 trường THPT Trần Cao Vân (Khánh Hòa) năm 2024-2025
Đề thi Giữa kì 2 Toán 12 trường THPT Mường Than (Lai Châu) năm 2024-2025
Đề thi Giữa kì 2 Toán 12 trường THPT Yên Mô A (Ninh Bình) năm 2024-2025
Đề thi Giữa kì 2 Toán 12 trường THPT Sầm Sơn (Thanh Hóa) năm 2024-2025
Đề thi Giữa kì 2 Toán 12 trường THPT Ngọc Lặc (Thanh Hóa) năm 2024-2025
Để học tốt lớp 12 các môn học sách mới:
- Giải bài tập Lớp 12 Kết nối tri thức
- Giải bài tập Lớp 12 Chân trời sáng tạo
- Giải bài tập Lớp 12 Cánh diều
Đã có app VietJack trên điện thoại, giải bài tập SGK, SBT Soạn văn, Văn mẫu, Thi online, Bài giảng....miễn phí. Tải ngay ứng dụng trên Android và iOS.
Theo dõi chúng tôi miễn phí trên mạng xã hội facebook và youtube:Nếu thấy hay, hãy động viên và chia sẻ nhé! Các bình luận không phù hợp với nội quy bình luận trang web sẽ bị cấm bình luận vĩnh viễn.
- Giáo án lớp 12 (các môn học)
- Giáo án điện tử lớp 12 (các môn học)
- Giáo án Toán 12
- Giáo án Ngữ văn 12
- Giáo án Vật Lí 12
- Giáo án Hóa học 12
- Giáo án Sinh học 12
- Giáo án Địa Lí 12
- Giáo án Lịch Sử 12
- Giáo án Lịch Sử 12 mới
- Giáo án GDCD 12
- Giáo án Kinh tế Pháp luật 12
- Giáo án Tin học 12
- Giáo án Công nghệ 12
- Giáo án GDQP 12
- Đề thi lớp 12 (các môn học)
- Đề thi Ngữ văn 12
- Đề thi Toán 12
- Đề thi Tiếng Anh 12 mới
- Đề thi Tiếng Anh 12
- Đề thi Vật Lí 12
- Đề thi Hóa học 12
- Đề thi Sinh học 12
- Đề thi Địa Lí 12
- Đề thi Lịch Sử 12
- Đề thi Giáo dục Kinh tế Pháp luật 12
- Đề thi Giáo dục quốc phòng 12
- Đề thi Tin học 12
- Đề thi Công nghệ 12


Giải bài tập SGK & SBT
Tài liệu giáo viên
Sách
Khóa học
Thi online
Hỏi đáp

