Đề thi học sinh giỏi Sinh học 12 trường THPT Lê Quý Đôn (Ninh Bình) năm 2025-2026
Bài viết cập nhật đề thi HSG Sinh học 12 trường THPT Lê Quý Đôn, Ninh Bình năm 2025-2026 giúp học sinh lớp 12 ôn tập và đạt kết quả cao trong bài thi học sinh giỏi Sinh 12.
Đề thi học sinh giỏi Sinh học 12 trường THPT Lê Quý Đôn (Ninh Bình) năm 2025-2026
Chỉ từ 450k mua trọn bộ Đề thi học sinh giỏi Sinh học 12 theo cấu trúc mới bản word có lời giải chi tiết:
- B1: gửi phí vào tk:
1133836868- CT TNHH DAU TU VA DV GD VIETJACK - Ngân hàng MB (QR) - B2: Nhắn tin tới Zalo VietJack Official - nhấn vào đây để thông báo và nhận đề thi
|
SỞ GD & ĐT NINH BÌNH TRƯỜNG THPT LÊ QUÝ ĐÔN ĐỀ CHÍNH THỨC Gồm có 10 trang |
ĐỀ THI THỬ HSG LẦN I - NĂM HỌC 2025 – 2026 Môn: Sinh học – Lớp: 12 (Thời gian làm bài - 90 phút ) Mã đề 132 |
PHẦN I: Câu trắc nghiệm nhiều phương án lựa chọn. Thí sinh trả lời từ câu 1 đến câu 20. Mỗi câu hỏi thí sinh chỉ chọn một phương án.
Câu 1. Điểm khác nhau về chức năng giữa gene cấu trúc và gene điều hòa là
A. Gene cấu trúc mã hóa protein tham gia cấu trúc; gene điều hòa mã hoá protein kiểm soát hoạt động của gene khác.
B. Gene cấu trúc kiểm soát quá trình sao chép; gene điều hòa mã hóa các phân tử protein.
C. Gene cấu trúc mã hóa RNA; gene điều hòa chỉ mã hóa các phân tử protein chức năng.
D. Gene cấu trúc mã hóa lipid; gene điều hòa mã hóa các phân tử nucleic acid trong nhân.
Câu 2. Hình ảnh dưới đây mô tả cấu trúc của một phân tử vòng. Dựa vào đặc điểm của nó, loại phân tử này thường được sử dụng trong kỹ thuật sinh học nào?
A. Sao chép và nhân đôi DNA của tế bào nhân thực.
B. Phiên mã tạo ra các phân tử ARN thông tin.
C. Chuyển gene vào tế bào vi khuẩn để sản xuất protein.
D. Truyền thông tin di truyền giữa các thế hệ sinh vật.
Câu 3. Trong 4 loại đơn phân của DNA, hai loại có kích thước nhỏ là
A. Cytosine và Adenine.
B. Thymine và Cytosine.
C. Guanine và Adenine.
D. Adenine và Thymine.
Câu 4. Thành phần nào sau đây không thuộc thành phần cấu trúc của operon Lac ở vi khuẩn E. coli?
A. Vùng O là nơi protein ức chế có thể liên kết làm ngăn cản sự phiên mã.
B. Gene điều hoà (lacI) quy định tổng hợp protein ức chế.
C. Vùng P là nơi RNA polymerase bám vào và khởi đầu phiên mã.
D. Các gene cấu trúc (lacZ, lacY, lacA) quy định tổng hợp các enzyme phân giải đường lactose.
Câu 5. Khi nói về đột biến gene, kết luận nào sau đây đúng?
A. Khi ở trạng thái dị hợp, đột biến gene trội biểu hiện cũng được gọi là thể đột biến.
B. Đột biến gene thường được phát sinh khi gene phiên mã.
C. Đột biến gene là biến dị di truyền vì tất cả các đột biến gene đều được di truyền cho đời sau.
D. Trong cùng một tế bào, tất cả các gene đều bị đột biến với tần số như nhau.
Câu 6. Guanine dạng hiếm (G*) kết cặp với Thymine trong quá trình tái bản DNA, tạo nên đột biến dạng
A. thêm một cặp G - C.
B. thay thế cặp A - T bằng cặp G - C.
C. mất một cặp A - Т.
D. thay thế cặp G - C bằng cặp A - T.
Câu 7. Nhiệt độ để phá vỡ các liên kết hydrogen và làm tách hai mạch của phân tử DNA mạch kép được gọi là nhiệt độ nóng chảy. Khi xét các đoạn phân tử DNA này có cùng chiều dài, người ta thu được kết quả thể hiện nhiệt độ nóng chảy của DNA trong nhân tế bào ở 5 sinh vật khác nhau ở trong bảng dưới đây:
Loài |
1 |
2 |
3 |
4 |
5 |
Nhiệt độ nóng chảy của DNA (oC) |
65 |
75 |
70 |
85 |
68 |
Phát biểu sau đây không đúng khi nói về các đoạn phân tử DNA đang xét ở các loài này?
A. Cả 5 phân tử DNA này đều có tỉ lệ (A + C) / (T + G) = 1.
B. Trong 5 phân tử DNA này, tỉ lệ (G + C) / 2A + 2G theo thứ tự tăng dần là: loài (4); loài (2); loài (3); loài (5); loài (1).
C. Số liên kết hydrogen trong phân tử DNA của loài (1) ít hơn loài (2).
D. Trong mỗi phân tử DNA này, nhiệt độ nóng chảy phụ thuộc vào tỉ lệ
Câu 8. Trong các thí nghiệm ở hình 1 sau đây, thí nghiệm không chứng minh quá trình thoát hơi nước ở thực vật là thí nghiệm:
Hình 1
A. 1.
B. 4.
C. 3.
D. 2.
Câu 9. Hình ảnh mô tả cấu tạo khí khổng và cơ chế hoạt động đóng, mở khí khổng. Theo lý thuyết phát biểu nào sau đây đúng?
A. Tế bào khí khổng (A) đang đói nước.
B. Tế bào khí khổng (B) đang no nước.
C. Khe khí khổng của tế bào (A) đang mở to.
D. Nước từ tế bào (B) đang thoát mạnh.
Câu 10. Theo Mendel. mỗi tính trạng do một cặp…(1)… quy định và sau này theo di truyền học hiện đại gọi là …(2)…
(1) và (2) lần lượt là
A. nhân tố di truyền, NST.
B. nhân tố di truyền, gene (allele).
C. gene (allele), nhân tố di truyền.
D. NST, nhân tố di truyền.
Câu 11. Hình sau biểu diễn quá trình thoát hơi nước của cây sống trong điều kiện khô hạn. Trong các đường cong A, B, C, D, đường cong nào mô tả sự thoát hơi nước qua lớp cutin (cuticle)?
A. Đường B.
B. Đường D.
C. Đường A.
D. Đường C.
Câu 12. (TH – Đề Sở Đắk Lắk ) Bốn ống nghiệm được thiết lập như trong sơ đồ bên dưới và để dưới ánh sáng mặt trời đầy đủ.
Sau 1 giờ, ống nghiệm nào chứa nhiều oxygen nhất?
A. Ống B.
B. Ống A.
C. Ống C.
D. Ống D.
Câu 13 <H>: Hình bên mô tả một đơn vị sao chép của phân tử DNA, trong đó O là điểm khởi đầu sao chép. Kí hiệu I, II, III, IV chỉ các đoạn mạch đơn của phân tử DNA. Đoạn gốc nào có mạch đơn mới được tổng hợp gián đoạn?
A. I và IV.
B. I và III.
C. I và II.
D. II và III.
Câu 14 <VD>: Khi điện di trình tự hai gene (A và B, mỗi gene có 2 allele) của một con gà con (C), là con của gà mẹ (M) và một trong sáu gà trống (Tr) trong một quần thể được bản kết quả như hình sau. Theo bản kết quả điện di thì gà trống nào (1 – 6) là cha của gà con C?
A. Tr5.
B. Tr1.
C. Tr3.
D. Tr6.
Câu 15. <VD>: Nghiên cứu một chủng vi khuẩn E. coli bị đột biến, khi môi trường không có lactose nhưng enzyme phân giải lactose vẫn được tạo ra. Dựa theo mô hình hoạt động của operon lac, có bao nhiêu giải thích sau đây phù hợp về hiện tượng trên?
I. Gene điều hòa (lacI) bị đột biến và tạo ra protein ức chế lacI bị thay đổi cấu hình không gian ba chiều.
II. Gene điều hòa (lacI) bị đột biến và không tạo được protein ức chế lacI.
III. Vùng vận hành (O) bị đột biến và không liên kết được với protein ức chế lacI.
IV. Gene cấu trúc (lacZ, lacY, lacA) bị đột biến làm tăng khả năng biểu hiện của gene.
A. 3.
B. 1.
C. 2.
D. 4.
Câu 16. <VD>: Ở vi khuẩn E. coli kiểu dại, sự biểu hiện của gene lacZ (mã hóa β-galactosidaza), gene lacY (mã hóa permaza), gene lacA (mã hóa transacetylaza) thuộc operon lac phụ thuộc vào sự có mặt của lactose trong môi trường nuôi cấy. Bằng kỹ thuật gây đột biến nhân tạo, người ta đã tạo ra được các chủng vi khuẩn khác nhau và được nuôi cấy trong hai môi trường: không có lactose và có lactose. Sự biểu hiện gene của các chủng vi khuẩn được thể hiện ở bảng sau:
Chủng vi khuẩn |
Môi trường không có lactose |
Môi trường có lactose |
||||
β - galactosidase |
Permase |
Transacetylase |
β - galactosidase |
Permase |
Transacetylase |
|
A |
- |
- |
- |
+ |
+ |
+ |
B |
- |
- |
- |
- |
+ |
- |
C |
+ |
+ |
+ |
+ |
+ |
+ |
D |
- |
- |
- |
- |
- |
- |
Dựa vào kết quả thu được ở bảng trên, có bao nhiêu phát biểu sau đây đúng?
I. Chủng A là chủng vi khuẩn E. coli đột biến.
II. Chủng E. coli kiểu dại bị đột biến ở gene lacZ, lacA tạo ra chủng B.
III. Chủng C tạo ra do đột biến ở vùng khởi động hoặc đột biến ở cả ba gene lacZ, lacY, lacA của chủng E. coli kiểu dại.
IV. Chủng D tạo ra do đột biến ở gene điều hòa lacI hoặc đột biến ở vùng vận hành của chủng E. coli kiểu dại.
A. 1.
B. 2.
C. 3.
D. 4.
Câu 17. <H> Ở một loài côn trùng, gene A nằm trên NST thường quy định tính trạng màu mắt có 4 allele. Tiến hành 3 phép lai:
Phép lai 1: Mắt đỏ × mắt đỏ → F1: 75% mắt đỏ: 25% mắt nâu.
Phép lai 2: Mắt vàng × mắt trắng → F1: 100% mắt vàng.
Phép lai 3: Mắt nâu × mắt vàng → F1: 25% mắt trắng: 50% mắt nâu: 25% mắt vàng.
Từ kết quả trên, thứ tự của các allele từ trội đến lặn là:
A. đỏ → nâu → vàng → trắng.
B. vàng → nâu → đỏ → trắng.
C. nâu → đỏ → vàng → trắng.
D. nâu → vàng → đỏ → trắng.
Câu 18. <H> Ở một loài thực vật, locus gene quy định màu sắc quả gồm 2 allele, allele A quy định quả đỏ trội hoàn toàn so với allele a quy định quả vàng. Cho cây (P) có kiểu gene Aa tự thụ phấn, thu được F1. Biết rằng không phát sinh đột biến mới và sự biểu hiện của gene này không phụ thuộc vào điều kiện môi trường. Dự đoán nào sau đây là đúng khi nói về kiểu hình ở F1?
A. Trên mỗi cây F1 chỉ có một loại quả là quả đỏ hoặc quả vàng.
B. Các cây F1 có 3 loại kiểu hình, trong đó có 25% số cây quả vàng, 25% số cây quả đỏ và 50% số cây có cả quả đỏ và quả vàng.
C. Trên mỗi cây F1 có 2 loại quả, trong đó có 75% số quả đỏ và 25% số quả vàng.
D. Trên mỗi cây F1 có 2 loại quả, trong đó có 50% số quả đỏ và 50% số quả vàng.
Câu 19. Xét 5 cá thể thuộc các loài động vật có xương sống: Ngựa, rắn, đại bàng, hươu, ếch đồng. Khi nói về hô hấp của các cá thể này, có bao nhiêu phát biểu sau đây đúng?
I. Cả 5 cá thể đều thực hiện trao đổi khí qua phế nang.
II. Tất cả các loài này đều hô hấp bằng phổi.
III. Có một loài vừa hô hấp bằng da vừa hô hấp bằng phổi.
IV. Giả sử quá trình hô hấp qua phổi bị ức chế thì cả 5 cá thể đều chết.
A. 1.
B. 3.
C. 4.
D. 2.
Câu 20. Quan sát biểu đồ bên dưới
Nhận xét nào sau đây sai?
A. Tổng tiết diện mạch và vận tốc máu tỉ lệ thuận.
B. Vận tốc máu được biểu diễn bằng đường cong số I.
C. Tổng tiết diện mạch được biểu diễn bằng đường cong số II.
D. Huyết áp được biểu diễn bằng đường cong số III.
Câu 30:Quan sát đồ thị về sự biến đổi huyết áp trong hệ mạch người bên dưới
Điều nào sau đây sai?
A. động mạch có huyết áp cao hơn tĩnh mạch.
B. mao mạch có huyết áp thấp hơn tĩnh mạch.
C. tĩnh mạch có huyết áp thấp nhất trong 3 loại mạch.
D. huyết áp tâm thu lớn hơn huyết áp tâm trương.
PHẦN II. Câu trắc nghiệm đúng sai. Thí sinh trả lời từ câu 1 đến câu 6. Trong mỗi ý a), b), c), d) ở mỗi câu, thí sinh chọn đúng hoặc sai.
Câu 1. Tại viện công nghệ California, Matthew Meselson và Franklin Stahl đã nuôi cấy tế bào E.coli qua một số thế hệ trong môi trường chứa các nucleotide tiền chất được đánh dấu bằng đồng vị phóng xạ 15N. Các nhà khoa học sau đó chuyển vi khuẩn sang môi trường chỉ chứa đồng vị 14N. Sau 20 phút và 40 phút, các mẫu vi khuẩn nuôi cấy được hút ra. Meselson và Stahl có thể phân biệt được các phân tử DNA có tỷ trọng khác nhau bằng phương pháp ly tâm sản phẩm DNA được chiết rút từ vi khuẩn. Biết rằng mỗi vi khuẩn E.coli nhân đôi sau mỗi 20 phút trong môi trường nuôi cấy. (Hình 8)
a) Thí nghiệm này được thiết kế để chứng minh nguyên tắc bổ sung của quá trình nhân đôi DNA.
b) Tại thời điểm 40 phút, số phân tử DNA ở băng C bằng số phân tử DNA ở băng B.
c) Sau 20 phút nuôi cấy, vi khuẩn trong bình nuôi cấy chỉ có DNA gồm các mạch chứa 14N.
d) Nếu tiếp tục nuôi vi khuẩn E.coli trong môi trường chứa 14N và lấy mẫu ở thời điểm 80 phút thì số lượng phân tử DNA ở băng B không thay đổi so với thời điểm 40 phút.
Câu 2. Hình dưới đây mô tả sơ đồ 3 gene A, B, C cùng nằm trên một phân tử DNA ở một loài vi khuẩn. Mũi tên ở mỗi gene chỉ vị trí bắt đầu phiên mã và hướng phiên mã của gene đó.
Theo lí thuyết, các phát biểu sau đây đúng hay sai?
a) Gene A và gene C đều sử dụng mạch 1 làm khuôn để tổng hợp mRNA.
b) Gene B sử dụng mạch 2 làm khuôn để tổng hợp mRNA.
c) Khi DNA này nhân đôi thì gene A sẽ nhân đôi trước gene B .
d) Nếu gene B không nhân đôi thì gene A cũng không nhân đôi.
Câu 3. Để nghiên cứu cơ chế tác động của2 loại thuốc mới điều trị bệnh nhân Covid-19 (thuốc 1 và thuốc 2) người ta tiến hành thử nghiệm tác động của chúng lên quá trình biểu hiện gene của gene virus trong các tế bào người. Hàm lượng mRNA của virus và protein virus trong các mẫu tế bào được thể hiện theo biểu đồ bên. Biết rằng, các điều kiện thí nghiệm là như nhau.
Mỗi nhận xét sau đây đúng hay sai khi nói về cơ chế tác động của thuốc 1 và thuốc 2 lên quá trình biểu hiện gene của virus?
a) Thuốc 1 can thiệp vào quá trình phiên mã tạo ra mRNA của virus hoặc tác động làm phân huỷ mRNA của virus.
b) Thuốc 1 làm giảm hàm lượng mRNA so với không xử lí thuốc dẫn đến làm giảm hàm lượng protein do protein là sản phẩm sau dịch mã.
c) Thuốc 2 can thiệp vào quá trình dịch mã từ mRNA virus hoặc tác động làm phân huỷ một phần protein virus.
d) Xử lí thuốc 2 làm thay đổi hàm lượng mRNA do vậy nó can thiệp vào phiên mã, lượng protein giảm một phần có thể do thuốc 2 kìm hãm dịch mã hoặc tác động làm phân huỷ 1 phần protein của virus.
Câu 4. Khi nghiên cứu về hoạt động Operon Lac ở 3 chủng vi khuẩn E.coli, người ta thu được bảng kết quả ngắn gọn như sau:
Chủng 1 |
Chủng 2 |
Chủng 3 |
||||
Điều kiện nuôi cấy |
Có lactose |
Không lactose |
Có lactose |
Không lactose |
Có lactose |
Không lactose |
Protein ức chế |
+ |
+ |
+ |
+ |
- |
- |
mRNA của các gene cấu trúc |
+ |
- |
+ |
+ |
+ |
+ |
(+: sản phẩm được tạo ra; - sản phẩm không được tạo ra hoặc tạo ra không đáng kể) | ||||||
Mỗi nhận định sau đây là đúng hay sai về thí nghiệm này?
A. Chủng 1có operon lac hoạt động 1 cách bình thường.
B.Chủng 2 có thể đã bị đột biến trong các gen Z, Y, A khiến chúng tăng phiên mã.
C. Có thể vùng promoter của gen điều hòa ở chủng 3 đã bị mất hoạt tính.
D. Có 1 chủng lãng phí vật chất và năng lượng bởi phiên mã không kiểm soát.
Câu 5. Một học sinh cắt nhỏ 100g gan gà còn tươi rồi nghiền nhuyễn cùng với 200ml nước cất lạnh, tiến hành thí nghiệm theo các bước sau:
Tìm nhận định đúng/sai:
a. Thí nghiệm trên nhằm mục đích tách chiết DNA.
b. Ở bước 3, nước rửa bát được cho vào nhằm phá hủy màng tế bào.
c. Bước 5, có thể thay thế ethanol bằng nước cất.
d. Bước 4 có thể không thực hiện.
Câu 6. Ở 1 loài thực vật, gene A quy định thân cao trội hoàn toàn so với alen a quy định thân thấp; gene B quy định hoa đỏ trội hoàn toàn so với alen b quy định hoa trắng, các gen phân li độc lập nhau, quá trình giảm phân diễn ra bình thường. Theo lí thuyết, các nhận định sau đây là Đúng hay Sai?
a. Có 2 kiểu gene quy định kiểu hình cây thân cao, hoa trắng.
b. Phép lai AaBB × AaBb thu được đời con có tỉ lệ kiểu gene là 1:1:2:2:1:1
c. Phép lai P: AaBb × AaBb thu được F1 có tỉ lệ kiểu hình là 3:3:1:1.
d. Phép lai P: AaBb × Aabb thu được F1 có kiểu hình thân cao, hoa đỏ chiếm tỉ lệ là 3/8.
PHẦN III. Câu trắc nghiệm trả lời ngắn. Thí sinh trả lời từ câu 1 đến câu 6.
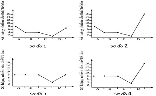
Câu 1. Một tế bào sinh dục sơ khai có bộ NST 2n = 8 nguyên phân liên tiếp hai lần sau đó tiến hành giảm phân. Tất cả các tế bào con tạo ra đều tham gia thụ tinh tạo thành hợp tử. Sơ đồ nào trong hình sau biểu thị sự thay đổi về số lượng NST trong mỗi tế bào phù hợp với từng thời điểm?
(Chú thích: A nguyên phân lần 1; B nguyên phân lần 2; C giảm phân; D thụ tinh tạo hợp tử)
Câu 2. Đậu Hà Lan(Pisum sativum) là cây tự thụ phấn bắt buộc. Biết tính trạng màu sắc hoa do một gene có 2 allele quy định, trong đó allele A quy định hoa đỏ trội hoàn toàn so với allele a quy định hoa trắng. Một khu vườn trồng 100 cây đậu Hà Lan, đến khi ra hoa người ta đếm được có 80 cây hoa đỏ và 20 cây hoa trắng. Sau khi thu hoạch, toàn bộ hạt được đem gieo trồng và đến khi ra hoa người ta thống kê thấy tỉ lệ cây hoa trắng chiếm khoảng 30%. Giả sử không xảy ra đột biến và tỉ lệ nảy mầm của các hạt như nhau. Theo lý thuyết, trong số 100 cây đậu Hà Lan trồng ban đầu có bao nhiêu cây hoa đỏ thuần chủng?
Câu 3. Tính trạng màu mắt ở cá kiếm do một gene có hai allele quy định. Một nhóm học sinh tiến hành thí nghiệm và ghi lại kết quả như sau:
Thế hệ |
Phép lai thuận |
Phép lai nghịch |
P |
♀ Cá mắt đen × ♂ Cá mắt đỏ |
♀ Cá mắt đỏ × ♂ Cá mắt đen |
F1 |
100% cá ♀, ♂ mắt đen |
100% cá ♀, ♂ mắt đen |
F2 |
75% cá ♀, ♂ mắt đen: 25% cá ♀, ♂ mắt đỏ |
75% cá ♀, ♂ mắt đen: 25% cá ♀, ♂ mắt đỏ |
Theo lí thuyết, trong tổng số cá ở F2, cá mắt đen có kiểu gene dị hợp chiếm tỷ lệ bao nhiêu phần trăm? (Hãy thể hiện kết quả bằng số thập phân và làm tròn đến 2 chữ số sau dấu phẩy)
Câu 4. Hình mô tả một giai đoạn của nguyên lí tạo động vật biến đổi gene.
Có bao nhiêu nhận định dưới đây đúng với sơ đồ?
- A. Bò con mang gene chuyển
- C. Nhân của trứng và tinh trùng chưa hợp nhất
- D. Phôi
- 1. Lấy trứng từ bò cái và cho thụ tinh in vitro
- 2. Lấy gene cần chuyển
- 3. Nuôi cấy hợp tử mang gene cần chuyển
Câu 5. Ở vi khuẩn E.coli, giả sử có 6 chủng đột biến sau đây:
- Chủng 1: Đột biến ở gene cấu trúc A làm cho phân tử prôtêin do gene này qui định tổng hợp bị mất chức năng
- Chủng 2: Đột biến ở gene cấu trúc Z làm cho phân tử prôtêin do gene này qui định tổng hợp bị mất chức năng
- Chủng 3: Đột biến ở gene cấu trúc Y làm cho phân tử prôtêin do gene này qui định tổng hợp bị mất chức năng
- Chủng 4: Đột biến ở gene điều hòa R làm cho phân tử prôtêin do gene này qui định tổng hợp bị mất chức năng
- Chủng 5: Đột biến ở gene điều hòa R làm cho gene này mất khả năng phiên mã
- Chủng 6: Đột biến ở vùng khởi động (P) của Operon làm cho vùng này bị mất chức năng.
Khi môi trường có đường lactose, chủng nào có gen cấu trúc Z, Y, A không phiên mã?
Câu 6. Ở một loài thực vật lưỡng bội, tính trạng màu hoa do một gene có 4 allele quy định. Allele A1 quy định hoa đỏ trội hoàn toàn so với allele A2, A3, A4; A2 quy định hoa vàng trội hoàn toàn so với allele A3, A4; allele A3 quy định hoa hồng trội hoàn toàn so với alen A4 quy định hoa trắng. Biết không xảy ra đột biến. Cho cây hoa đỏ lai với cây hoa đỏ, có tối đa bao nhiêu sơ đồ lai?
.............................Hết ..............................
Xem thêm đề thi học sinh giỏi Sinh học lớp 12 hay khác:
Đề thi học sinh giỏi Sinh học 12 trường THPT Sầm Sơn (Thanh Hoá) năm 2025-2026
Đề thi học sinh giỏi Sinh học 12 trường THPT Thanh Thủy (Phú Thọ) năm 2025-2026
Đề thi học sinh giỏi Sinh học 12 trường THPT Quốc Tuấn (Hải Phòng) năm 2025-2026
Đề thi học sinh giỏi Sinh học 12 trường THPT Bắc Đông Quan (Hưng Yên) năm 2025-2026
Đã có app VietJack trên điện thoại, giải bài tập SGK, SBT Soạn văn, Văn mẫu, Thi online, Bài giảng....miễn phí. Tải ngay ứng dụng trên Android và iOS.
Theo dõi chúng tôi miễn phí trên mạng xã hội facebook và youtube:Nếu thấy hay, hãy động viên và chia sẻ nhé! Các bình luận không phù hợp với nội quy bình luận trang web sẽ bị cấm bình luận vĩnh viễn.
- Giải Tiếng Anh 12 Global Success
- Giải sgk Tiếng Anh 12 Smart World
- Giải sgk Tiếng Anh 12 Friends Global
- Lớp 12 Kết nối tri thức
- Soạn văn 12 (hay nhất) - KNTT
- Soạn văn 12 (ngắn nhất) - KNTT
- Giải sgk Toán 12 - KNTT
- Giải sgk Vật Lí 12 - KNTT
- Giải sgk Hóa học 12 - KNTT
- Giải sgk Sinh học 12 - KNTT
- Giải sgk Lịch Sử 12 - KNTT
- Giải sgk Địa Lí 12 - KNTT
- Giải sgk Giáo dục KTPL 12 - KNTT
- Giải sgk Tin học 12 - KNTT
- Giải sgk Công nghệ 12 - KNTT
- Giải sgk Hoạt động trải nghiệm 12 - KNTT
- Giải sgk Giáo dục quốc phòng 12 - KNTT
- Giải sgk Âm nhạc 12 - KNTT
- Giải sgk Mĩ thuật 12 - KNTT
- Lớp 12 Chân trời sáng tạo
- Soạn văn 12 (hay nhất) - CTST
- Soạn văn 12 (ngắn nhất) - CTST
- Giải sgk Toán 12 - CTST
- Giải sgk Vật Lí 12 - CTST
- Giải sgk Hóa học 12 - CTST
- Giải sgk Sinh học 12 - CTST
- Giải sgk Lịch Sử 12 - CTST
- Giải sgk Địa Lí 12 - CTST
- Giải sgk Giáo dục KTPL 12 - CTST
- Giải sgk Tin học 12 - CTST
- Giải sgk Hoạt động trải nghiệm 12 - CTST
- Giải sgk Âm nhạc 12 - CTST
- Lớp 12 Cánh diều
- Soạn văn 12 Cánh diều (hay nhất)
- Soạn văn 12 Cánh diều (ngắn nhất)
- Giải sgk Toán 12 Cánh diều
- Giải sgk Vật Lí 12 - Cánh diều
- Giải sgk Hóa học 12 - Cánh diều
- Giải sgk Sinh học 12 - Cánh diều
- Giải sgk Lịch Sử 12 - Cánh diều
- Giải sgk Địa Lí 12 - Cánh diều
- Giải sgk Giáo dục KTPL 12 - Cánh diều
- Giải sgk Tin học 12 - Cánh diều
- Giải sgk Công nghệ 12 - Cánh diều
- Giải sgk Hoạt động trải nghiệm 12 - Cánh diều
- Giải sgk Giáo dục quốc phòng 12 - Cánh diều
- Giải sgk Âm nhạc 12 - Cánh diều


Giải bài tập SGK & SBT
Tài liệu giáo viên
Sách
Khóa học
Thi online
Hỏi đáp

