Resorcinol là gì
Resorcinol là một hợp chất hữu cơ thuộc nhóm phenol, có nhiều ứng dụng trong y học và công nghiệp. Bài viết dưới đây giúp các bạn hiểu rõ hơn về resorcinol. Mời các bạn đón đọc:
Resorcinol là gì
1. Resorcinol là gì?
- Resorcinol là một hợp chất hữu cơ thuộc nhóm phenol, có công thức phân tử là C6H6O2. Resorcinol là tinh thể không màu hoặc hơi hồng, tan tốt trong nước, ethanol và ether.
- Resorcinol có phân tử khối M = 110.
- Công thức cấu tạo của resorcinol:
- Resorcinol có tính chất hóa học sau:
+ Tính acid yếu → tác dụng với dung dịch kiềm tạo muối phenolate tan.
C6H4(OH)2 + 2NaOH → C6H4(ONa)2 + 2H2O
+ Phản ứng thế ở vòng benzene (vị trí ortho và para so với –OH).
+ Bị oxy hóa chậm khi để ngoài không khí, chuyển dần sang màu hồng hoặc nâu.
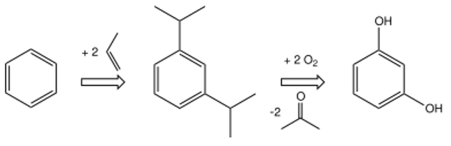
2. Điều chế resorcinol
Resorcinol được điều chế từ benzene qua nhiều giai đoạn phản ứng:
3. Ứng dụng của resorcinol
Resorcinol là một hợp chất hữu cơ được ứng dụng rộng rãi trong dược phẩm, mỹ phẩm và công nghiệp. Trong y học, resorcinol được sử dụng để điều trị các bệnh ngoài da như mụn trứng cá, viêm da tiết bã, eczema nhờ đặc tính sát trùng và tẩy tế bào chết nhẹ. Trong công nghiệp, nó là nguyên liệu quan trọng để sản xuất nhựa resorcinol-formaldehyde dùng làm keo dán chịu nước, vật liệu composite và lốp xe. Ngoài ra, resorcinol còn được dùng làm thuốc thử trong các phản ứng phân tích hóa học, đặc biệt để phát hiện một số loại đường.
4. Bài tập minh họa resorcinol
Câu 1.Công thức phân tử của resorcinol là
A. C6H6O2.
B. C6H4O.
C. C6H6O.
D. C6H4O2.
Hướng dẫn giải
Đáp án đúng là: A
Câu 2.Resorcinol thuộc nhóm hợp chất hữu cơ nào?
A.Aldehyde.
B.Alcohol.
C.Phenol.
D.Arene.
Hướng dẫn giải
Đáp án đúng là: C
Câu 3: Ứng dụng nào sau đây không phải là của resorcinol?
A. Thành phần trong thuốc trị mụn và bệnh ngoài da.
B. Nguyên liệu sản xuất keo dán chịu nước và nhựa công nghiệp.
C. Thuốc thử phân tích một số loại đường.
D. Thuốc kháng sinh điều trị nhiễm khuẩn toàn thân.
Hướng dẫn giải
Đáp án đúng là: D
Xem thêm kiến thức hóa học của các đơn chất, hợp chất hay khác:
Đã có app VietJack trên điện thoại, giải bài tập SGK, SBT Soạn văn, Văn mẫu, Thi online, Bài giảng....miễn phí. Tải ngay ứng dụng trên Android và iOS.
Theo dõi chúng tôi miễn phí trên mạng xã hội facebook và youtube:Loạt bài Wiki tính chất hóa học trình bày toàn bộ tính chất hóa học, vật lí, nhận biết, điều chế và ứng dụng của tất cả các đơn chất, hợp chất hóa học đã học trong chương trình Hóa học cấp 2, 3.
Nếu thấy hay, hãy động viên và chia sẻ nhé! Các bình luận không phù hợp với nội quy bình luận trang web sẽ bị cấm bình luận vĩnh viễn.
- Đề thi lớp 1 (các môn học)
- Đề thi lớp 2 (các môn học)
- Đề thi lớp 3 (các môn học)
- Đề thi lớp 4 (các môn học)
- Đề thi lớp 5 (các môn học)
- Đề thi lớp 6 (các môn học)
- Đề thi lớp 7 (các môn học)
- Đề thi lớp 8 (các môn học)
- Đề thi lớp 9 (các môn học)
- Đề thi lớp 10 (các môn học)
- Đề thi lớp 11 (các môn học)
- Đề thi lớp 12 (các môn học)
- Giáo án lớp 1 (các môn học)
- Giáo án lớp 2 (các môn học)
- Giáo án lớp 3 (các môn học)
- Giáo án lớp 4 (các môn học)
- Giáo án lớp 5 (các môn học)
- Giáo án lớp 6 (các môn học)
- Giáo án lớp 7 (các môn học)
- Giáo án lớp 8 (các môn học)
- Giáo án lớp 9 (các môn học)
- Giáo án lớp 10 (các môn học)
- Giáo án lớp 11 (các môn học)
- Giáo án lớp 12 (các môn học)


Giải bài tập SGK & SBT
Tài liệu giáo viên
Sách
Khóa học
Thi online
Hỏi đáp

