13 Bài tập Phương trình đường thẳng (có đáp án) - Cánh diều Trắc nghiệm Toán 12
Với 13 bài tập trắc nghiệm Phương trình đường thẳng Toán 12 có đáp án và lời giải chi tiết đầy đủ các mức độ, có đúng sai, trả lời ngắn sách Cánh diều sẽ giúp học sinh lớp 12 ôn luyện trắc nghiệm để biết cách làm các dạng bài tập Toán 12.
13 Bài tập Phương trình đường thẳng (có đáp án) - Cánh diều Trắc nghiệm Toán 12
PHẦN I. TRẮC NGHIỆM NHIỀU LỰA CHỌN
I. Nhận biết
Câu 1. Trong hệ tọa độ Oxyz, cho đường thẳng . Đường thẳng d có một vectơ chỉ phương là
A.
B.
C.
D.
Câu 2. Trong hệ tọa độ Oxyz, cho hai điểm . Tìm một vectơ chỉ phương của đường thẳng AB.
A.
B.
C.
D.
Câu 3. Cho đường thẳng . Điểm nào sau đây thuộc đường thẳng d?
A.
B.
C.
D.
Câu 4. Trong hệ tọa độ Oxyz, đường thẳng nào dưới đây đi qua điểm ?
A.
B.
C.
D.
Câu 5. Trong hệ tọa độ Oxyz, phương trình đường thẳng đi qua hai điểm và là
A.
B.
C.
D.
II. Thông hiểu
Câu 6. Trong hệ tọa độ Oxyz, phương trình tham số của đường thẳng đi qua điểm và vuông góc với mặt phẳng là
A.
B.
C.
D.
Câu 7. Trong hệ tọa độ Oxyz, cho hai đường thẳng và . Góc giữa hai đường thẳng và bằng
A.
B.
C.
D.
Câu 8. Trong hệ tọa độ Oxyz, cho hai đường thẳng và . Xét vị trí tương đối của hai đường thẳng đã cho
A. Chéo nhau.
B. Trùng nhau.
C. Song song.
D. Cắt nhau.
Câu 9. Trong hệ tọa độ Oxyz, cho đường thẳng và mặt phẳng . Tính góc giữa đường thẳng d và mặt phẳng (P).
A.
B.
C.
D.
III. Vận dụng
Câu 10. Trong không gian Oxyz, cho hai điểm và . Viết phương trình đường thẳng d đi qua trọng tâm tam giác OAB vuông góc với mặt phẳng (OAB)
A.
B.
C.
D.
PHẦN II. TRẮC NGHIỆM ĐÚNG – SAI
Câu hỏi. Trong không gian với hệ tọa độ Oxyz, cho đường thẳng và mặt phẳng (P): 2x+y-2z=0. Gọi N là điểm thuộc ∆ và có hoành độ bằng 2.
a) Điểm M(0; 1; −1) thuộc ∆.
b) Một vectơ chỉ phương của ∆ là .
c) Tung độ của N là 2.
d) Khoảng cách từ N đến (P) là .
PHẦN III. TRẢ LỜI NGẮN
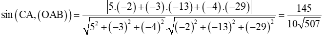
Câu 1. Trên một sườn núi (có độ nghiêng đều), người ta trồng một cây thông và muốn giữ nó không bị nghiêng bằng hai sợi dây neo như hình vẽ. Giả thiết cây thông mọc thẳng đứng và trong một hệ tọa độ phù hợp, các điểm gốc O (gốc cây thông) và A, B (nơi buộc dây neo) có tọa độ tương ứng là O(0; 0; 0), A(5; −3; 1), B(-3;-4;2), đơn vị trên mỗi trục tọa độ là mét. Biết rằng hai dây neo đều được buộc vào cây tại điểm C(0; 0; 5) và được kéo căng tạo thành các đoạn thẳng. Khi đó, góc tạo bởi dây neo CA và mặt phẳng sườn núi là bao nhiêu độ? (làm tròn kết quả đến hàng đơn vị của độ).
Câu 2. Trong không gian Oxyz, đài kiểm soát không lưu sân bay có tọa độ O(0; 0; 0), đơn vị trên mỗi trục tính theo kilômét. Một máy bay chuyển động hướng về đài kiểm soát không lưu, bay qua hai vị trí A(-500;-250;150), B(-200;-200;100). Khi máy bay ở gần đài kiểm soát nhất, tọa độ của vị trí máy bay là (a; b; c). Giá trị của biểu thức -3a-b-c là bao nhiêu (làm tròn kết quả đến hàng đơn vị)?
Xem thêm bài tập trắc nghiệm Toán lớp 12 Cánh diều có đáp án hay khác:
Xem thêm các tài liệu học tốt lớp 12 hay khác:
- Giải sgk Toán 12 Cánh diều
- Giải Chuyên đề học tập Toán 12 Cánh diều
- Giải SBT Toán 12 Cánh diều
- Giải lớp 12 Cánh diều (các môn học)
- Giải lớp 12 Kết nối tri thức (các môn học)
- Giải lớp 12 Chân trời sáng tạo (các môn học)
Đã có app VietJack trên điện thoại, giải bài tập SGK, SBT Soạn văn, Văn mẫu, Thi online, Bài giảng....miễn phí. Tải ngay ứng dụng trên Android và iOS.
Theo dõi chúng tôi miễn phí trên mạng xã hội facebook và youtube:Nếu thấy hay, hãy động viên và chia sẻ nhé! Các bình luận không phù hợp với nội quy bình luận trang web sẽ bị cấm bình luận vĩnh viễn.
- Soạn văn 12 Cánh diều (hay nhất)
- Soạn văn 12 Cánh diều (ngắn nhất)
- Giải sgk Toán 12 Cánh diều
- Giải Tiếng Anh 12 Global Success
- Giải sgk Tiếng Anh 12 Smart World
- Giải sgk Tiếng Anh 12 Friends Global
- Giải sgk Vật Lí 12 - Cánh diều
- Giải sgk Hóa học 12 - Cánh diều
- Giải sgk Sinh học 12 - Cánh diều
- Giải sgk Lịch Sử 12 - Cánh diều
- Giải sgk Địa Lí 12 - Cánh diều
- Giải sgk Giáo dục KTPL 12 - Cánh diều
- Giải sgk Tin học 12 - Cánh diều
- Giải sgk Công nghệ 12 - Cánh diều
- Giải sgk Hoạt động trải nghiệm 12 - Cánh diều
- Giải sgk Giáo dục quốc phòng 12 - Cánh diều
- Giải sgk Âm nhạc 12 - Cánh diều


Giải bài tập SGK & SBT
Tài liệu giáo viên
Sách
Khóa học
Thi online
Hỏi đáp

