13 Bài tập trắc nghiệm Toán 12 Cánh diều Chương 4 (có đáp án)
Với 13 bài tập trắc nghiệm tổng hợp Toán 12 Chương 4 có đáp án và lời giải chi tiết đầy đủ các mức độ, có đúng sai, trả lời ngắn sách Cánh diều sẽ giúp học sinh ôn luyện trắc nghiệm để biết cách làm các dạng bài tập Toán 12.
13 Bài tập trắc nghiệm Toán 12 Cánh diều Chương 4 (có đáp án)
PHẦN I. TRẮC NGHIỆM NHIỀU LỰA CHỌN
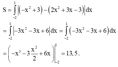
Câu 1. Diện tích hình phẳng giới hạn bởi hai parabol và hai đường thẳng x=-2; x=1 bằng:
A. 11,5
B. 12,5
C. 10,5
D. 13,5
Câu 2. Hàm số F(x) là một nguyên hàm của hàm số trên thỏa mãn F(-2)=0.
Khẳng định nào sau đây đúng?
A. .
B. .
C. với C là một số thực bất kì.
D. với C là một số thực bất kì.
Câu 3. Cho hàm số f(x) có đạo hàm f'(x) liên tục trên ℝ, và f(0)=2. Giá trị của f(4) là:
A. 4.
B. 8.
C. 7.
D. 2.
Câu 4. Cho hàm số f(x) liên tục trên ℝ và . Tính .
A. 4.
B. 8.
C. 12.
D. 6.
Câu 5. Một ô tô đang chạy với vận tốc 30 m/s thì người lái xe đạp phanh. Từ thời điểm đó ô tô chuyển động với vận tốc v(t)=30-3t (m/s), trong đó t (tính bằng giây) là thời gian kể từ lúc bắt đầu đạp phanh. Quãng đường ô tô di chuyển từ lúc đạp phanh đến khi dừng hẳn bằng bao nhiêu mét?
A. 170 (m).
B. 150 (m).
C. 100 (m).
D. 140 (m).
Câu 6. Diện tích hình phẳng giới hạn bởi đồ thị hàm số y=cosx, trục hoành và hai đường thẳng bằng:
A.
B.
C.
D.
Câu 7. Thể tích khối tròn xoay sinh ra khi quay quanh trục Ox hình phẳng giới hạn bởi đồ thị hàm số y = x + 1, trục hoành và hai đường thẳng x=-1; x=2 bằng:
A.
B.
C.
D.
Câu 8. Biết (C là hằng số). Khẳng định nào sau đây đúng?
A.
B.
C.
D.
Câu 9. Cho hai hàm số f(x), g(x) liên tục trên K. Khẳng định nào sau đây là đúng?
A.
B. (k ≠ 0)
C.
D.
Câu 10. Biết . Khẳng định nào sau đây đúng?
A. 12m-13n=0
B. 12n-13m=0
C. 12m+13n=0
D. 12n+13m=0
PHẦN II. TRẮC NGHIỆM ĐÚNG – SAI
Câu hỏi. Cho hàm số F(x) là một nguyên hàm của hàm số f(x) trên ℝ và
a)
b) F(3)+F(1)=0
c) , với C là một hằng số.
d)
PHẦN III. TRẢ LỜI NGẮN
Câu 1. Cho hàm số y=f(x) liên tục trên đoạn [0;4] có đồ thị trên đoạn [0;4] gồm một phần của đường parabol (P) và một phần của đường thẳng (d) như hình vẽ sau. Tính tích phân . (làm tròn kết quả đến hàng phần mười)
Câu 2. Bác Bình muốn làm một cái cửa bằng inox hình parabol có chiều cao từ mặt đất đến đỉnh là 3 mét, chiều rộng tiếp giáp với mặt đất là 3 mét. Biết rằng giá vật liệu và tiền công mỗi mét vuông là 1700000 đồng. Vậy bác Bình phải trả bao nhiêu tiền để làm cái cửa đó (đơn vị triệu đồng)? ( Làm tròn kết quả đến hàng phần mười)
Xem thêm bài tập trắc nghiệm Toán lớp 12 Cánh diều có đáp án hay khác:
Xem thêm các tài liệu học tốt lớp 12 hay khác:
- Giải sgk Toán 12 Cánh diều
- Giải Chuyên đề học tập Toán 12 Cánh diều
- Giải SBT Toán 12 Cánh diều
- Giải lớp 12 Cánh diều (các môn học)
- Giải lớp 12 Kết nối tri thức (các môn học)
- Giải lớp 12 Chân trời sáng tạo (các môn học)
Đã có app VietJack trên điện thoại, giải bài tập SGK, SBT Soạn văn, Văn mẫu, Thi online, Bài giảng....miễn phí. Tải ngay ứng dụng trên Android và iOS.
Theo dõi chúng tôi miễn phí trên mạng xã hội facebook và youtube:Nếu thấy hay, hãy động viên và chia sẻ nhé! Các bình luận không phù hợp với nội quy bình luận trang web sẽ bị cấm bình luận vĩnh viễn.
- Soạn văn 12 Cánh diều (hay nhất)
- Soạn văn 12 Cánh diều (ngắn nhất)
- Giải sgk Toán 12 Cánh diều
- Giải Tiếng Anh 12 Global Success
- Giải sgk Tiếng Anh 12 Smart World
- Giải sgk Tiếng Anh 12 Friends Global
- Giải sgk Vật Lí 12 - Cánh diều
- Giải sgk Hóa học 12 - Cánh diều
- Giải sgk Sinh học 12 - Cánh diều
- Giải sgk Lịch Sử 12 - Cánh diều
- Giải sgk Địa Lí 12 - Cánh diều
- Giải sgk Giáo dục KTPL 12 - Cánh diều
- Giải sgk Tin học 12 - Cánh diều
- Giải sgk Công nghệ 12 - Cánh diều
- Giải sgk Hoạt động trải nghiệm 12 - Cánh diều
- Giải sgk Giáo dục quốc phòng 12 - Cánh diều
- Giải sgk Âm nhạc 12 - Cánh diều


Giải bài tập SGK & SBT
Tài liệu giáo viên
Sách
Khóa học
Thi online
Hỏi đáp

