Đề kiểm tra Toán 12 Chân trời sáng tạo Chương 2 (có lời giải)
Đề kiểm tra Toán 12 Chân trời sáng tạo Chương 2: Vectơ và hệ tọa độ trong không gian có đáp án chi tiết theo cấu trúc mới với bài tập đa dạng đầy đủ các mức độ sẽ giúp học sinh lớp 12 ôn luyện Toán 12.
Đề kiểm tra Toán 12 Chân trời sáng tạo Chương 2 (có lời giải)
Chỉ từ 250k mua trọn bộ Bài tập ôn tập + Đề kiểm tra Toán 12 Chân trời sáng tạo theo chương theo cấu trúc mới bản word có lời giải chi tiết, trình bày đẹp mắt, dễ dàng chỉnh sửa:
- B1: gửi phí vào tk:
1133836868- CT TNHH DAU TU VA DV GD VIETJACK - Ngân hàng MB (QR) - B2: Nhắn tin tới Zalo VietJack Official - nhấn vào đây để thông báo và nhận đề thi
Phần 1. Trắc nghiệm nhiều phương án lựa chọn
Mỗi câu hỏi thí sinh chỉ chọn một phương án.
Câu 1. Trong không gian Oxyz, cho hai điểm A (1; -1; 2) và B (2; 1; -4). Vectơ có tọa độ là
A. (3; 0; -2).
B. (-1; -2; 6).
C. (1; 0; -6).
D. (1; 2; -6).
Câu 2. Cho hình hộp . Đặt , , . Phân tích vectơ theo ta được
A.
B.
C.
D.
Câu 3. Cho , góc giữa hai vectơ và bằng . Khẳng định nào dưới đây đúng?
A.
B.
C.
D.
Câu 4. Trong không gian với hệ toạ độ Oxyz, cho điểm M (1; 2; 3). Gọi H là hình chiếu vuông góc của M lên mặt phẳng (Oxy). Toạ độ của H là
A. H (-1; -2; 3).
B. H (0; 0; 3).
C. H (1; 0; 0).
D. H (1; 2; 0).
Câu 5. Trong không gian Oxyz, cho biểu diễn của vectơ qua các vectơ đơn vị là . Tọa độ của vectơ là
A. (2; -3; 1).
B. (1; -3; 2).
C. (2; 1; -3).
D. (1; 2; -3).
Câu 6. Trong không gian với hệ tọa độ Oxyz, cho hai vectơ là và . Tọa độ của vectơ tương ứng là
A. (3; 4; 0).
B. (1; -2; -2).
C. (4; 7; 1).
D. (5; 5; -1).
Phần 2. Trắc nghiệm đúng sai
Trong mỗi ý a), b), c), d) ở mỗi câu, thí sinh chọn đúng hoặc sai.
Câu 1. Một tháp trung tâm kiểm soát không lưu ở sân bay cao 100 m sử dụng ra đa có phạm vi theo dõi 600 km được đặt trên đỉnh tháp. Chọn hệ trục tọa độ Oxyz có gốc O trùng với vị trí chân tháp, mặt phẳng (Oxy) trùng với mặt đất sao cho trục Ox hướng về phía tây, trục Oy hướng về phía nam, trục Oz hướng thẳng đứng lên phía trên (Hình dưới) (đơn vị độ dài trên mỗi trục là kilômét).
Một máy bay tại vị trí F cách mặt đất 12 km, cách 400 km về phía tây và 300 km về phía bắc so với tháp trung tâm kiểm soát không lưu. Từ vị trí F, máy bay bay với tốc độ 900 km/h, theo hướng của vectơ sau một giờ đến vị trí A.
a) Tọa độ của ra đa đặt trên tháp (0; 0; 0,1).
b) Vị trí F nằm trong phạm vi kiểm soát của ra đa.
c) Vị trí A có tọa độ A (940; 420; 0).
d) Trong khoảng thời gian một giờ máy bay bay từ vị trí F đến vị trí A, máy bay có không quá 21 phút bay trong phạm vi theo dõi của của ra đa.
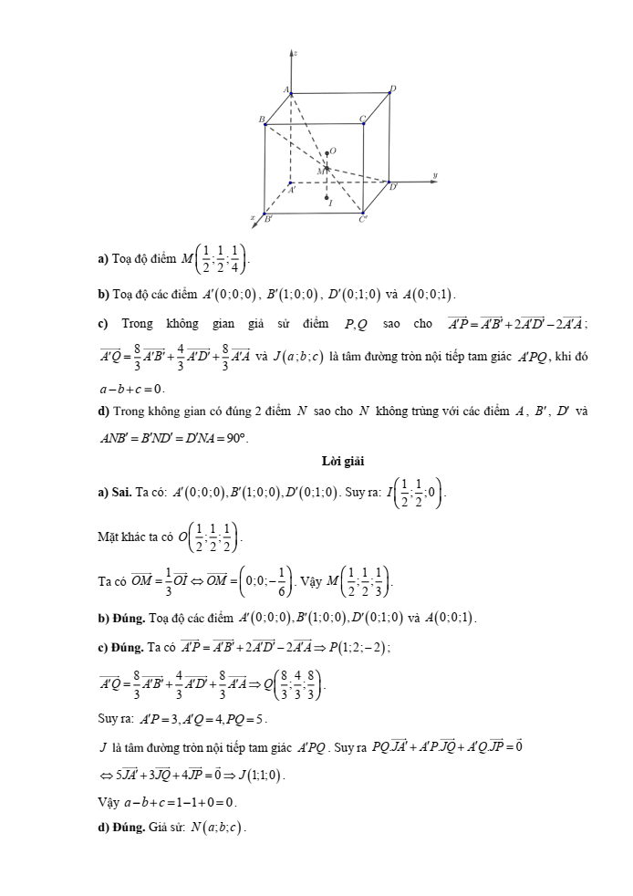
Câu 2. Cho hình lập phương cạnh bằng 1, có tâm O. Gọi I là tâm của hình vuông A'B'C'D' và M là điểm thuộc đoạn OI sao cho . Gắn hệ trục tọa độ A'xyz như hình vẽ.
a) Toạ độ điểm
b) Toạ độ các điểm A' (0; 0; 0), B' (1; 0; 0), D' (0; 1; 0) và A (0; 0; 1).
c) Trong không gian giả sử điểm P, Q sao cho ; và J (a; b; c) là tâm đường tròn nội tiếp tam giác A'PQ, khi đó a - b + c = 0.
d) Trong không gian có đúng 2 điểm N sao cho N không trùng với các điểm A, B', D' và .
Phần 3. Trắc nghiệm trả lời ngắn
Câu 1. Một giỏ hoa treo trong nhà làm bằng 3 sợi dây không giãn, mỗi sợi dài 60 cm miếng kê là một miếng gỗ cân đối hình tròn bán kính 20 cm ba sợi dây được thắt một đầu bên trên và đỡ giá gỗ tại 3 điểm tạo thành tam giác đều (giả sử mối thắt của 3 sợi dây và mối nối của mỗi sợi dây với miếng gỗ không đáng kể). Biết lực chịu đựng của mỗi sợi dây bằng nhau và mỗi sợi chịu không quá 15 N, trọng lượng của miếng giá gỗ là 5 N. Tính trọng lượng tối đa của các chậu hoa để dây treo không bị đứt (đơn vị Newton, kết quả làm tròn đến hàng phần chục).
Câu 2. Cơn bão Yagi gây thiệt hại nghiêm trọng về người và tài sản cho nước ta, trong đó nặng nề nhất là tại thôn Làng Nủ, xã Phúc Khánh, huyện Bảo Yên, tỉnh Lào Cai, lũ quét và sạt lở đất đã vùi lấp 40 ngôi nhà. Cả nước đã chung tay ủng hộ và xây dựng lại nhà sàn cho người dân Làng Nủ theo thiết kế như hình vẽ dưới đây.
Giả sử áp dụng hệ trục tọa độ Oxyz như hình vẽ (đơn vị trên các trục là mét). Xét một bên của mái nhà gồm có một hình chữ nhật CDFE và một hình thang ADFG với các điểm G (6; -6; 6); C (3; 4; 8); F (4; -4; 7) và điểm I là trung điểm CE.
Biết góc giữa hai vectơ và bằng . Tìm a (kết quả làm tròn đến hàng đơn vị).
Câu 3. Khi khắc phục hậu quả của thiên tai, bão lũ, một trong những giải pháp nhằm tiếp tế hàng cứu trợ đến những nơi khó tiếp cận là sử dụng flycam để xác định vị trí chính xác của người cần cứu trợ, sau đó sử dụng drone để vận chuyển các vật dụng thiết yếu thả xuống cho người này, giúp họ có thể cầm cự trong khi chờ đợi lực lượng cứu hộ đến nơi. Hai chiếc drone làm nhiệm vụ chuyển hàng cứu trợ bay lên từ cùng một địa điểm. Chiếc thứ nhất bay đến điểm cách điểm xuất phát 2,5 km về phía nam và 1,5 km về phía đông, đồng thời cách mặt đất 60 m. Chiếc thứ hai bay đến điểm cách điểm xuất phát 3 km về phía bắc và 2,5 km về phía tây, đồng thời cách mặt đất 40 m. Trong không gian, xét hệ tọa độ Oxyz với gốc toạ độ O đặt tại điểm xuất phát của hai drone, mặt phẳng (Oxy) trùng với mặt đất (được coi là mặt phẳng). Giả sử trong trường hợp khẩn cấp, cần tìm một vị trí trên mặt đất để tiếp nhiên liệu và các vật dụng cứu trợ cho hai drone sao cho tổng khoảng cách từ vị trí tiếp nhiên liệu đó tới hai drone nhỏ nhất. Vị trí cần tìm cách gốc tọa độ a km theo hướng bắc và b km theo hướng tây. Khi đó a + b bằng bao nhiêu?
................................
................................
................................
Xem thêm đề kiểm tra Toán lớp 12 Chân trời sáng tạo có đáp án hay khác:
Đề kiểm tra Toán 12 Chân trời sáng tạo Chương 1 (có lời giải)
Đề kiểm tra Toán 12 Chân trời sáng tạo Chương 3 (có lời giải)
Đề kiểm tra Toán 12 Chân trời sáng tạo Chương 4 (có lời giải)
Đề kiểm tra Toán 12 Chân trời sáng tạo Chương 5 (có lời giải)
Đề kiểm tra Toán 12 Chân trời sáng tạo Chương 6 (có lời giải)
Xem thêm các tài liệu học tốt lớp 12 hay khác:
- Giải sgk Toán 12 Chân trời sáng tạo
- Giải Chuyên đề học tập Toán 12 Chân trời sáng tạo
- Giải SBT Toán 12 Chân trời sáng tạo
- Giải lớp 12 Chân trời sáng tạo (các môn học)
- Giải lớp 12 Kết nối tri thức (các môn học)
- Giải lớp 12 Cánh diều (các môn học)
Đã có app VietJack trên điện thoại, giải bài tập SGK, SBT Soạn văn, Văn mẫu, Thi online, Bài giảng....miễn phí. Tải ngay ứng dụng trên Android và iOS.
Theo dõi chúng tôi miễn phí trên mạng xã hội facebook và youtube:Nếu thấy hay, hãy động viên và chia sẻ nhé! Các bình luận không phù hợp với nội quy bình luận trang web sẽ bị cấm bình luận vĩnh viễn.
- Soạn văn 12 (hay nhất) - CTST
- Soạn văn 12 (ngắn nhất) - CTST
- Giải sgk Toán 12 - CTST
- Giải Tiếng Anh 12 Global Success
- Giải sgk Tiếng Anh 12 Smart World
- Giải sgk Tiếng Anh 12 Friends Global
- Giải sgk Vật Lí 12 - CTST
- Giải sgk Hóa học 12 - CTST
- Giải sgk Sinh học 12 - CTST
- Giải sgk Lịch Sử 12 - CTST
- Giải sgk Địa Lí 12 - CTST
- Giải sgk Giáo dục KTPL 12 - CTST
- Giải sgk Tin học 12 - CTST
- Giải sgk Hoạt động trải nghiệm 12 - CTST
- Giải sgk Âm nhạc 12 - CTST


Giải bài tập SGK & SBT
Tài liệu giáo viên
Sách
Khóa học
Thi online
Hỏi đáp

