13 Bài tập Biểu thức toạ độ của các phép toán vectơ (có đáp án) - Chân trời sáng tạo Trắc nghiệm Toán 12
Với 13 bài tập trắc nghiệm Biểu thức toạ độ của các phép toán vectơ Toán lớp 12 có đáp án và lời giải chi tiết đầy đủ các mức độ, có đúng sai, trả lời ngắn sách Chân trời sáng tạo sẽ giúp học sinh ôn luyện trắc nghiệm để biết cách làm các dạng bài tập Toán 12.
13 Bài tập Biểu thức toạ độ của các phép toán vectơ (có đáp án) - Chân trời sáng tạo Trắc nghiệm Toán 12
PHẦN I. TRẮC NGHIỆM NHIỀU LỰA CHỌN
I. Nhận biết
Câu 1. Trong không gian Oxyz, cho vectơ . Vectơ có tọa độ là
A.
B.
C.
D.
Câu 2. Trong không gian Oxyz, cho hai điểm và . Tọa độ trung điểm của đoạn thẳng MN là
A.
B.
C.
D.
Câu 3. Trong không gian Oxyz, cho vectơ . Vectơ nào sau đây cùng phương với vectơ ?
A.
B.
C.
D.
Câu 4. Trong không gian Oxyz, cho ba điểm , . Tọa độ trọng tâm G của tam giác ABC là
A.
B.
C.
D.
Câu 5. Trong không gian Oxyz, cho hai vectơ . Tọa độ vectơ là
A.
B.
C.
D.
II. Thông hiểu
Câu 6. Trong không gian Oxyz, cho hai vectơ và . Vectơ cùng phương với vectơ nào?
A.
B.
C.
D.
Câu 7. Trong không gian Oxyz, cho hai điểm và . Độ dài đoạn thẳng AB bằng
A. 5
B. 3
C. 9
D. 25
Câu 8. Trong không gian Oxyz, cho hai vectơ và . Tọa độ của vectơ thỏa mãn đẳng thức là
A.
B.
C.
D.
Câu 9. Trong không gian Oxyz, cho ba điểm . Giá trị m, n sao cho ba điểm A, B, C thẳng hàng:
A.
B.
C.
D.
III. Vận dụng
Câu 10. Trên phần mềm mô phỏng việc điều khiển drone giao hàng trong không gian Oxyz, một đội gồm ba drone giao hàng A, B, C đang có tọa độ là . Gọi lần lượt là khoảng cách của mỗi cặp drone giao hàng trên. Tính . (Kết quả làm tròn đến hàng đơn vị).
A. 31
B. 32
C. 25
D. 5
PHẦN II. TRẮC NGHIỆM ĐÚNG – SAI
Câu hỏi. Trong không gian với hệ tọa độ Oxyz, cho hai vectơ = (1;-4;0), = (-6;15;0).
a) Tọa độ vectơ là (−5; 11; 0).
b) Tọa độ vectơ là (−5; 10; 1).
c) Tọa độ vectơ là (−4; 7; 0).
d) Tọa độ vectơ thỏa mãn là (−7; 19; 0).
PHẦN III. TRẢ LỜI NGẮN
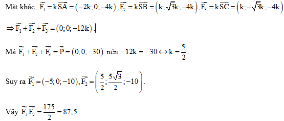
Câu 1. Một chiếc máy đo đạc trắc địa được đặt trên một giá đỡ ba chân với điểm đặt S(0; 0; 4) và các điểm tiếp xúc với mặt đất của ba chân lần lượt là A(-2;0;0), B(1;;0), C(1;-;0). Biết rằng trọng lực tác dụng lên chiếc máy có độ lớn 30 N và được phân bố thành ba lực có độ lớn bằng nhau như hình. Tính tích vô hướng của .
Câu 2. Trong phần mềm mô phỏng việc điều khiển drone giao hàng trong không gian Oxyz, một drone giao hàng đang ở tọa độ A(1; 0; 1) di chuyển đến địa điểm nhận hàng là B(4; 4; 6). Mỗi đơn vị trên phần mềm bằng 1 km ngoài thực tế. Biết tốc độ của drone là 80 km/h. Giả sử rằng từ vị trí giao hàng và nhận hàng không gặp chướng ngại vật, sức cản gió khống đáng kể để drone bay theo đường thẳng. Thời gian drone bay từ vị trí ban đến đến địa điểm giao hàng mất bao nhiêu phút (làm tròn đến hàng phần mười).
Xem thêm bài tập trắc nghiệm Toán lớp 12 Chân trời sáng tạo có đáp án hay khác:
Trắc nghiệm Toán 12 Bài 2: Toạ độ của vectơ trong không gian
Trắc nghiệm Toán 12 Bài 1: Khoảng biến thiên và khoảng tứ phân vị của mẫu số liệu ghép nhóm
Trắc nghiệm Toán 12 Bài 2: Phương sai và độ lệch chuẩn của mẫu số liệu ghép nhóm
Xem thêm các tài liệu học tốt lớp 12 hay khác:
- Giải sgk Toán 12 Chân trời sáng tạo
- Giải Chuyên đề học tập Toán 12 Chân trời sáng tạo
- Giải SBT Toán 12 Chân trời sáng tạo
- Giải lớp 12 Chân trời sáng tạo (các môn học)
- Giải lớp 12 Kết nối tri thức (các môn học)
- Giải lớp 12 Cánh diều (các môn học)
Đã có app VietJack trên điện thoại, giải bài tập SGK, SBT Soạn văn, Văn mẫu, Thi online, Bài giảng....miễn phí. Tải ngay ứng dụng trên Android và iOS.
Theo dõi chúng tôi miễn phí trên mạng xã hội facebook và youtube:Nếu thấy hay, hãy động viên và chia sẻ nhé! Các bình luận không phù hợp với nội quy bình luận trang web sẽ bị cấm bình luận vĩnh viễn.
- Soạn văn 12 (hay nhất) - CTST
- Soạn văn 12 (ngắn nhất) - CTST
- Giải sgk Toán 12 - CTST
- Giải Tiếng Anh 12 Global Success
- Giải sgk Tiếng Anh 12 Smart World
- Giải sgk Tiếng Anh 12 Friends Global
- Giải sgk Vật Lí 12 - CTST
- Giải sgk Hóa học 12 - CTST
- Giải sgk Sinh học 12 - CTST
- Giải sgk Lịch Sử 12 - CTST
- Giải sgk Địa Lí 12 - CTST
- Giải sgk Giáo dục KTPL 12 - CTST
- Giải sgk Tin học 12 - CTST
- Giải sgk Hoạt động trải nghiệm 12 - CTST
- Giải sgk Âm nhạc 12 - CTST


Giải bài tập SGK & SBT
Tài liệu giáo viên
Sách
Khóa học
Thi online
Hỏi đáp

