Đề kiểm tra Toán 10 Cánh diều Chương 3 (có lời giải)
Đề kiểm tra Toán 10 Cánh diều Chương 3: Hàm số và đồ thị có đáp án chi tiết theo cấu trúc mới với bài tập đa dạng đầy đủ các mức độ sẽ giúp học sinh lớp 10 ôn luyện Toán 10.
Đề kiểm tra Toán 10 Cánh diều Chương 3 (có lời giải)
Chỉ từ 250k mua trọn bộ Bài tập ôn tập + Đề kiểm tra Toán 10 Cánh diều theo Chương theo cấu trúc mới bản word có lời giải chi tiết, trình bày đẹp mắt, dễ dàng chỉnh sửa:
- B1: gửi phí vào tk:
1133836868- CT TNHH DAU TU VA DV GD VIETJACK - Ngân hàng MB (QR) - B2: Nhắn tin tới Zalo VietJack Official - nhấn vào đây để thông báo và nhận đề thi
Phần 1. Trắc nghiệm nhiều phương án lựa chọn
Mỗi câu hỏi thí sinh chỉ chọn một phương án.
Câu 1. Hàm số nào trong các hàm số sau đây là hàm số bậc hai?
A.
B.
C.
D.
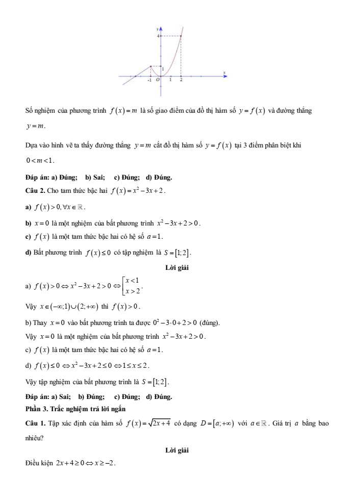
Câu 2. Cho hàm số có đồ thị như hình vẽ
Điểm nào sau đây không thuộc đồ thị hàm số ?
A.
B.
C.
D.
Câu 3. Hàm số đồng biến trên khoảng nào dưới đây?
A.
B.
C.
D.
Câu 4. Tìm tập nghiệm của bất phương trình
A.
B.
C.
D.
Câu 5. Tam thức bậc hai nhận giá trị không âm khi và chỉ khi
A.
B.
C.
D.
Câu 6. Trong các biểu thức sau, biểu thức nào không là tam thức bậc 2 ẩn x?
A.
B.
C.
D.
Phần 2. Trắc nghiệm đúng sai
Trong mỗi ý a), b), c), d) ở mỗi câu, thí sinh chọn đúng hoặc sai.
Câu 1. Cho hàm số
a) Tập xác định của hàm số đã cho là
b)
c) Hàm số đồng biến trên khoảng
d) Phương trình có 3 nghiệm phân biệt thì
Câu 2. Cho tam thức bậc hai
a)
b) x = 0 là một nghiệm của bất phương trình
c) là một tam thức bậc hai có hệ số a = 1.
d) Bất phương trình có tập nghiệm là
Phần 3. Trắc nghiệm trả lời ngắn
Câu 1. Tập xác định của hàm số có dạng với . Giá trị a bằng bao nhiêu?
Câu 2. Tính tổng các nghiệm của phương trình
Câu 3. Công ty du lịch thông báo giá tiền cho chuyến tham quan của một nhóm khách du lịch như sau: 10 khách đầu tiên có giá là 800000 đồng/người. Nếu có nhiều hơn 10 người đăng kí thì cứ có thêm 1 người, giá vé sẽ giảm 10000 đồng/người cho toàn bộ khách hàng. Tổng số khách là bao nhiêu để công ty thu được lợi nhuận là lớn nhất? Biết rằng chi phí thực sự cho chuyến đi là 600000 đồng/người.
................................
................................
................................
Xem thêm đề kiểm tra Toán lớp 10 Cánh diều có đáp án hay khác:
Xem thêm các tài liệu học tốt lớp 10 hay khác:
- Giải sgk Toán 10 Cánh diều
- Giải Chuyên đề học tập Toán 10 Cánh diều
- Giải SBT Toán 10 Cánh diều
- Giải lớp 10 Cánh diều (các môn học)
- Giải lớp 10 Kết nối tri thức (các môn học)
- Giải lớp 10 Chân trời sáng tạo (các môn học)
Tủ sách VIETJACK shopee lớp 10-11 (cả 3 bộ sách):
Đã có app VietJack trên điện thoại, giải bài tập SGK, SBT Soạn văn, Văn mẫu, Thi online, Bài giảng....miễn phí. Tải ngay ứng dụng trên Android và iOS.
Theo dõi chúng tôi miễn phí trên mạng xã hội facebook và youtube:Nếu thấy hay, hãy động viên và chia sẻ nhé! Các bình luận không phù hợp với nội quy bình luận trang web sẽ bị cấm bình luận vĩnh viễn.
- Soạn văn 10 (hay nhất) - Cánh diều
- Soạn văn 10 (ngắn nhất) - Cánh diều
- Soạn văn 10 (siêu ngắn) - Cánh diều
- Giải sgk Toán 10 - Cánh diều
- Giải Tiếng Anh 10 Global Success
- Giải Tiếng Anh 10 Friends Global
- Giải sgk Tiếng Anh 10 iLearn Smart World
- Giải sgk Tiếng Anh 10 Explore New Worlds
- Giải sgk Vật lí 10 - Cánh diều
- Giải sgk Hóa học 10 - Cánh diều
- Giải sgk Sinh học 10 - Cánh diều
- Giải sgk Địa lí 10 - Cánh diều
- Giải sgk Lịch sử 10 - Cánh diều
- Giải sgk Kinh tế và Pháp luật 10 - Cánh diều
- Giải sgk Tin học 10 - Cánh diều
- Giải sgk Công nghệ 10 - Cánh diều
- Giải sgk Hoạt động trải nghiệm 10 - Cánh diều
- Giải sgk Giáo dục quốc phòng 10 - Cánh diều


Giải bài tập SGK & SBT
Tài liệu giáo viên
Sách
Khóa học
Thi online
Hỏi đáp

