15+ Đề thi Học kì 1 Toán 12 Chân trời sáng tạo (cấu trúc mới, có đáp án)
Với bộ 15+ Đề thi Học kì 1 Toán 12 Chân trời sáng tạo năm 2026 theo cấu trúc mới có đáp án và ma trận được biên soạn và chọn lọc từ đề thi Toán 12 của các trường THPT trên cả nước sẽ giúp học sinh lớp 12 ôn tập và đạt kết quả cao trong các bài thi Học kì 1 Toán 12.
15+ Đề thi Học kì 1 Toán 12 Chân trời sáng tạo (cấu trúc mới, có đáp án)
Chỉ từ 180k mua trọn bộ Đề thi Toán 12 Học kì 1 Chân trời sáng tạo có lời giải bản word trình bày đẹp mắt, dễ dàng chỉnh sửa:
- B1: gửi phí vào tk:
1133836868- CT TNHH DAU TU VA DV GD VIETJACK - Ngân hàng MB (QR) - B2: Nhắn tin tới Zalo VietJack Official - nhấn vào đây để thông báo và nhận giáo án
50+ Đề thi Toán 12 Cuối kì 1 năm 2025-2026 (cả nước)
Đề thi Học kì 1 Toán 12 trường Trần Cao Vân (Tp. HCM) năm 2025-2026
Đề thi Học kì 1 Toán 12 trường chuyên Lê Khiết (Quảng Ngãi) năm 2025-2026
Đề thi Học kì 1 Toán 12 trường THPT Trần Phú (Hà Nội) năm 2025-2026
Đề thi Học kì 1 Toán 12 trường THPT Thủ Đức (Tp. HCM) năm 2025-2026
Đề thi Học kì 1 Toán 12 trường THPT Lương Thế Vinh (Tp. HCM) năm 2025-2026
Đề thi Học kì 1 Toán 12 trường THPT Việt Đức (Hà Nội) năm 2025-2026
Đề thi Học kì 1 Toán 12 trường THPT Marie Curie (Tp. HCM) năm 2025-2026
Đề thi Học kì 1 Toán 12 trường THPT Ngô Quyền (Tp. HCM) năm 2025-2026
Đề thi Học kì 1 Toán 12 trường THPT Đại Ngãi (Cần Thơ) năm 2025-2026
Sở Giáo dục và Đào tạo ...
Đề thi Học kì 1 - Chân trời sáng tạo
Năm học ...
Môn: Toán 12
Thời gian làm bài: phút
(Đề 1)
PHẦN I. TRẮC NGHIỆM KHÁCH QUAN
A. TRẮC NGHIỆM NHIỀU PHƯƠNG ÁN LỰA CHỌN. Thí sinh trả lời từ câu 1 đến câu 12.
Mỗi câu hỏi thí sinh chỉ chọn một phương án.
Câu 1. Cho hàm số y = f(x) có bảng biến thiên như sau
Hàm số đã cho nghịch biến trên khoảng nào dưới đây?
A. .
B. (0; 1).
C. (-1; 0).
D. .
Câu 2. Cho hàm số y = f(x) có đồ thị như hình bên.
Giá trị lớn nhất của hàm số y = f(x) trên đoạn [-1; 2].
A. 1.
B. 2.
C. 5.
D. 0.
Câu 3. Cho hàm số y = f(x) có đồ thị như hình vẽ
Đồ thị hàm số đã cho có bao nhiêu đường tiệm cận?
A. 4.
B. 2.
C. 1.
D. 3.
Câu 4. Đường cong trong hình là đồ thị của hàm số nào dưới đây?
A. .
B. .
C. .
D. .
Câu 5. Hàm số nào đồng biến trên ℝ trong các hàm số dưới đây.
A. y = x4.
B. y = x3 + 2x.
C. y = x2 + x + 1.
D. y = -3x + 2.
Câu 6. Tiệm cận ngang của đồ thị hàm số là
A. x = -2.
B. x = 1.
C. y = 1.
D. y = -2.
Câu 7. Cho hình hộp ABCD.A'B'C'D'.
Khẳng định nào sau đây sai?
A. .
B. .
C. .
D. .
Câu 8. Trong không gian với hệ tọa độ Oxyz, giả sử . Khi đó tọa độ điểm M là
A. (-2; 3; 1).
B. (2; -3; -1).
C. (2; 3; -1).
D. (2; 3; 1).
Câu 9. Trong không gian Oxyz, cho điểm A(1; 2; -3). Hình chiếu vuông góc của A lên mặt phẳng (Oxy) có tọa độ là
A. (0; 2; -3)
B. (1; 0; -3).
C. (1; 2; 0).
D. (1; 0; 0).
Câu 10. Trong không gian với hệ trục tọa độ Oxyz, cho hai vectơ và . Tính
A. .
B. .
C. .
D. .
Câu 11. Cho mẫu số liệu ghép nhóm thời gian sử dụng internet trong 1 tuần (giờ) của 20 học sinh như sau
|
Số giờ |
[0; 5) |
[5; 10) |
[10; 15) |
[15; 20) |
[20; 25) |
|
Tần số |
2 |
5 |
7 |
3 |
3 |
Khoảng biến thiên của mẫu số liệu ghép nhóm trên bằng
A. 30.
B. 29.
C. 25.
D. 9.
Câu 12. Cân nặng của một số quả mít trong một khu vườn được thống kê ở bảng sau
|
Cân nặng (kg) |
[4; 6) |
[6; 8) |
[8; 10) |
[10; 12) |
[12; 14) |
|
Số quả mít |
8 |
12 |
17 |
5 |
8 |
Hãy tính phương sai của mẫu số liệu ghép nhóm trên (kết quả làm tròn đến hàng phần trăm).
A. 18,04.
B. 6,40.
C. 8,72.
D. 2,53.
B. TRẮC NGHIỆM ĐÚNG - SAI. Thí sinh trả lời từ câu 1 đến câu 2. Trong mỗi ý a), b), c), d) ở mỗi câu, thí sinh chọn đúng hoặc sai.
Câu 1. Trong không gian với hệ tọa độ Oxyz, cho tam giác ABC có A(1; -1; 0), B(-2; 5; 3), C(3; 4; 9).
a) Tọa độ trọng tâm G của tam giác ABC là .
b) Đoạn AB cắt mặt phẳng (Oxz) tại điểm M(a, b, c). Khi đó a + b + c = 6.
c) Tọa độ vectơ .
d) Với điểm D (6; -2; 6) thì tứ giác ABCD là hình bình hành.
Câu 2. Kết quả đo chiều cao (đơn vị: cm) của 25 học sinh nam lớp 12 ở một trường THPT được biểu diễn bởi mẫu số liệu ghép nhóm ở bảng sau:
|
Nhóm |
[155; 160) |
[160; 165) |
[165; 170) |
[170; 175) |
[175; 180) |
|
Tần số |
2 |
5 |
10 |
5 |
3 |
a) Khoảng biến thiên của mẫu số liệu ghép nhóm là R = 5cm.
b) Giá trị đại diện của nhóm [155; 160) là 158.
c) Độ lệch chuẩn của mẫu số liệu ghép nhóm trên là s = 29,84.
d) Số trung bình của mẫu số liệu ghép nhóm là 167,9.
C. TRẢ LỜI NGẮN. Thí sinh trả lời câu 1 đến câu 4.
Câu 1. Cho hàm số có đồ thị như hình vẽ bên dưới. Gọi I (m; n) là tâm đối xứng của đồ thị hàm số đã cho. Giá trị của m + n bằng bao nhiêu?
Câu 2. Trong không gian Oxyz, cho hai vectơ . Giá trị của tích vô hướng bằng bao nhiêu?
Câu 3. Cho tứ diện đều ABCD có cạnh bằng 12. Biết độ dài của bằng . Tìm a.
Câu 4. Điều tra về độ tuổi của 200 cư dân trong một khu phố (đơn vị: độ tuổi) được kết quả cho trong bảng sau:
Tìm khoảng tứ phân vị của mẫu số liệu trên (kết quả làm tròn đến hàng phần chục).
PHẦN II. TỰ LUẬN
Câu 1. Cho một tấm nhôm hình lục giác đều cạnh 100 cm. Người ta cắt ở mỗi đỉnh của tấm nhôm hai hình tam giác vuông bằng nhau, biết cạnh góc vuông nhỏ bằng x cm (cắt phần tô đậm của tấm nhôm) rồi gập tấm nhôm như hình vẽ để được một hình lăng trụ lục giác đều không có nắp. Tìm x để thể tích của khối lăng trụ lục giác đều trên là lớn nhất (đơn vị cm).
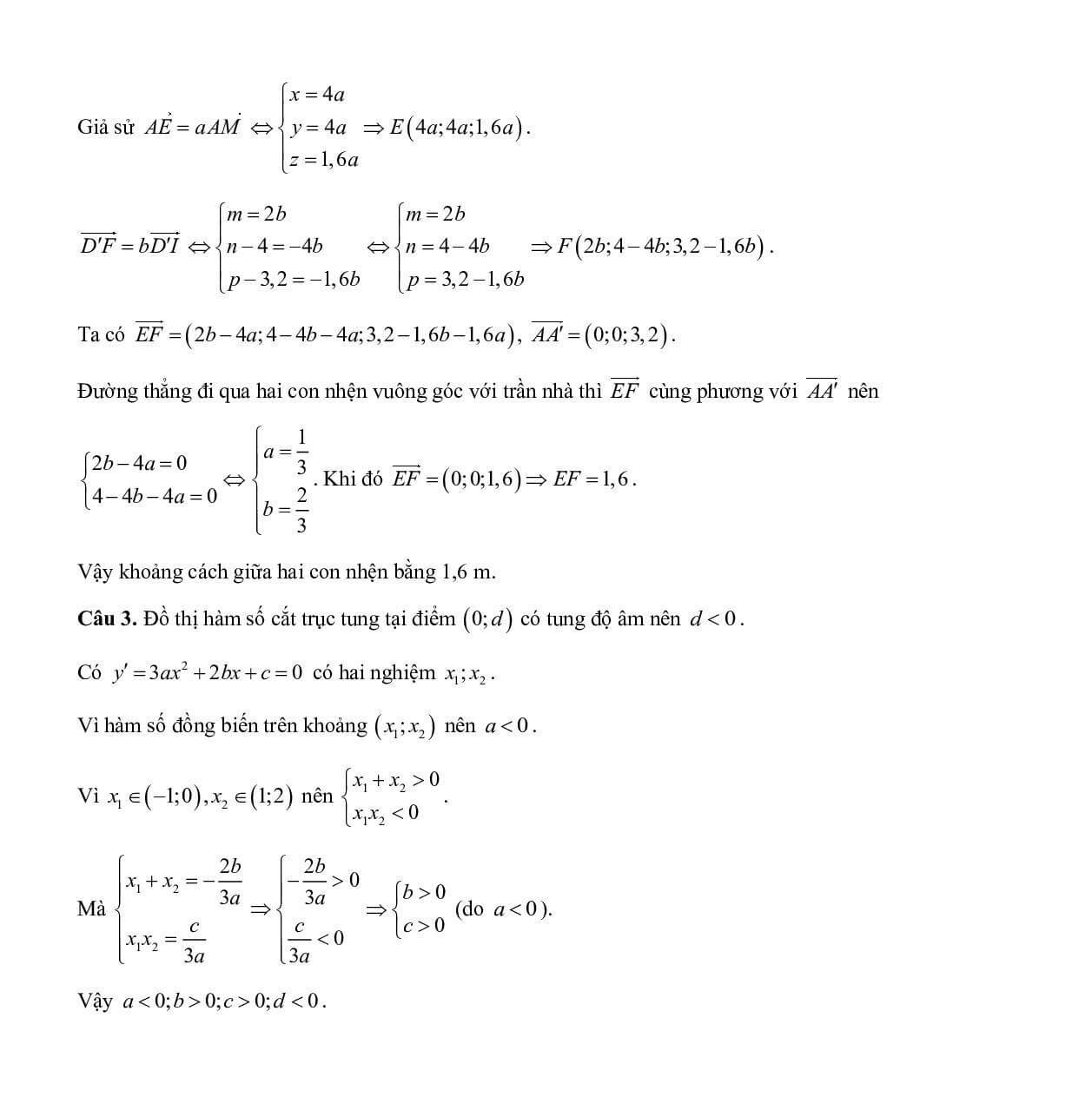
Câu 2. Bạn An đang nằm nghe nhạc trong phòng hình hộp chữ nhật, sàn nhà là hình vuông cạnh bằng 4 m, chiều cao của phòng là 3,2 m và phát hiện ra hai con nhện đang chăng tơ trong căn phòng của An, hai con nhện luôn di chuyển trên hai đường thẳng khác nhau. Giả sử căn phòng được mô hình hóa là hình hộp chữ nhật ABCD.A'B'C'D' với ABCD là nền phòng của An thì con nhện thứ nhất được coi như điểm E di chuyển trên đường dây tơ nối từ đỉnh A đến trung điểm M của CC' , còn con nhện thứ hai được coi như điểm F di chuyển trên đường dây tơ nối từ D' đến tâm I của mặt ABB'A'. Tính khoảng cách giữa hai con nhện khi đường thẳng đi qua hai con nhện vuông góc với trần nhà (đơn vị mét).
Câu 3. Cho hàm số y = ax3 + bx2 + cx + d đạt cực trị tại các điểm x1; x2 với . Biết hàm số đồng biến trên khoảng (x1; x2). Đồ thì hàm số cắt trục tung tại điểm có tung độ âm. Xác định dấu của các hệ số a, b, c, d.
Sở Giáo dục và Đào tạo ...
Đề thi Học kì 1 - Chân trời sáng tạo
Năm học ...
Môn: Toán 12
Thời gian làm bài: phút
(Đề 2)
PHẦN I. Câu trắc nghiệm nhiều phương án lựa chọn. Thí sinh trả lời từ câu 1 đến câu 12.
Mỗi câu hỏi thí sinh chỉ chọn một phương án.
Câu 1. Đồ thị của hàm số nào dưới đây có dạng như đường cong trong hình bên?
A. y = x3 - 2024x.
B. y = -x3 + 3x.
C. y = x3 - 3x2 + 2024.
D. y = -x3 + 3x2 - 2.
Câu 2. Đồ thị hàm số có bao nhiêu đường tiệm cận đứng?
A. 1.
B. 3.
C. 2.
D. 4.
Câu 3. Giá trị lớn nhất của hàm số f(x) = trên (-4;0) là
A. -4.
B. 4.
C. -5.
D. 5.
Câu 4. Cho hàm số có đồ thị là đường cong trong hình vẽ bên. Giá trị của T = a + b bằng
A. T = 0.
B. T = -2.
C. T = -1.
D. T = 2.
Câu 5. Cho hình lập phương ABCD.A'B'C'D'. Hai vectơ nào có giá cùng nằm trong mặt phẳng (ABCD).
A. .
B. .
C. .
D. .
Câu 6. Trong không gian Oxyz, cho biểu diễn của vectơ qua các vectơ đơn vị là . Tọa độ của vectơ là
A. (2;-3;1).
B. (1;-3;2).
C. (2;1;-3).
D. (1;2;-3).
Câu 7. Trong không gian với hệ toạ độ Oxyz, cho điểm M(4;1;-2) và vectơ . Tìm toạ độ điểm N biết rằng .
A. (2;2;5).
B. (2;-2;5).
C. (2;2;-5).
D. (-2;-2;5).
Câu 8. Cho tứ diện ABCD. Gọi G là trọng tâm tam giác BCD và điểm M thuộc cạnh AB sao cho AM = 2BM. Đẳng thức nào sau đây là đúng?
A. .
B. .
C. .
D. .
Câu 9. Trong không gian Oxyz, cho A(4;0;0), B(0;2;0). Tâm đường tròn ngoại tiếp tam giác OAB
A. I (2;-1;0).
B. .
C. I (-2;1;0).
D. I (2;1;0).
Câu 10. Trong không gian Oxyz, cho ba điểm A(3;5;-1), B(7;x;1) và C(9;2;y). Để A, B, C thẳng hàng thì giá trị x + y bằng
A. 5.
B. 6.
C. 4.
D. 7.
Câu 11. Cho mẫu số liệu ghép nhóm có tứ phân vị thứ nhất, thứ hai, thứ ba lần lượt là Q1, Q2, Q3. Khoảng tứ phân vị của mẫu số liệu ghép nhóm đó bằng:
A. Q2 - Q1.
B. Q1 - Q3.
C. Q3 - Q1.
D. Q1 - Q2.
Câu 12. Thời gian (phút) truy bài trước mỗi buổi học của một số học sinh trong một tuần được ghi lại ở bảng sau:
Nhóm chứa tứ phân vị thứ nhất là
A. [9;5;12;5).
B. [12;5;15;5).
C. [15;5;18;5).
D. [18;5;21;5).
PHẦN II. Câu trắc nghiệm đúng sai. Thí sinh trả lời từ câu 1 đến câu 4. Trong mỗi ý a), b), c), d) ở mỗi câu, thí sinh chọn đúng hoặc sai.
Câu 1. Cho hàm số y = f(x) liên tục trên ℝ và có đồ thị như hình vẽ:
a) Hàm số đồng biến trên khoảng (0;2).
b) Hàm số đạt cực đại tại x = 0.
c) Giá trị nhỏ nhất của hàm số trên [-1;1] bằng -4.
d) Hàm số g(x) = f(3 - x) nghịch biến trên (2;5).
Câu 2. Xét tính đúng sai của các mệnh đề sau:
a) Hàm số đồng biến trên (2;+∞).
b) Cho hàm số y = f(x) có . Khi đó hàm số đã cho có 3 điểm cực trị.
c) Đồ thị hàm số có điểm cực trị A(2;-2). Khi đó a + b = 2.
d) Một doanh nghiệp mua một chiếc máy giá 5000 (USD) để sản xuất x(kg) sản phẩm loại A. Trong thực tế, mỗi kg sản phẩm được sản xuất ra cần phải có nguyên liệu với giá 4 (USD). Khi doanh nghiệp này sản xuất một số lượng rất lớn sản phẩm thì chi phí để sản xuất được mỗi kg sản phẩm giảm dần và đạt giá trị nhỏ nhất là 4,1 (USD).
Câu 3. Hình minh họa sơ đồ một ngôi nhà trong không gian Oxyz, trong đó nền nhà, bốn bức tường và hai mái nhà đều là hình chữ nhật.
Xét tính đúng sai các mệnh đề sau:
a) Toạ độ điểm F(4;0;3).
b) Toạ độ vectơ .
c) .
d) Góc đốc của mái nhà, tức là số đo của góc nhị diện có cạnh là đường thẳng FG, hai mặt lần lượt là (FGQP) và (FGHE) bằng 26,6° (làm tròn kết quả đến hàng phần mười).
Câu 4. Kết quả môn Toán (cùng đề) của học sinh hai lớp 12A và 12B được cho lần lượt bởi mẫu số liệu ghép nhóm ở bảng sau:
a) Số trung bình cộng của hai mẫu số liệu trên bằng nhau.
b) Độ lệch chuẩn của mẫu số liệu lớp 12A nhỏ hơn 3.
c) Phương sai của mẫu số liệu lớp 12B lớn hơn 3.
d) Điểm thi của học sinh lớp 12B đồng đều hơn lớp 12A.
PHẦN III. Câu trắc nghiệm trả lời ngắn. Thí sinh trả lời câu 1 đến câu 6.
Câu 1. Tiệm cận xiên của đồ thị hàm số là đường thẳng y = ax + b. Tính giá trị của biểu thức P = a2 - b.
Câu 2. Chị Hà dự định sử dụng hết 4m2 kính để làm một bể cá bằng kính có dạng hình hộp chữ nhật không nắp, chiều dài gấp đôi chiều rộng (các mối ghép có kích thước không đáng kể). Bể cá có dung tích lớn nhất bằng bao nhiêu mét khối (kết quả làm tròn đến hàng phần trăm)?
Câu 3. Quan sát một đàn ong trong 20 tuần, người ta ước lượng được số lượng ong trong đàn bởi công thức , trong đó t là thời gian tính theo tuần kể từ khi bắt đầu quan sát, 0 ≤ t ≤ 20. Tại thời điểm nào thì số lượng ong của đàn tăng nhanh nhất (kết quả làm tròn đến hàng đơn vị của tuần).
Câu 4. Trong một căn phòng dạng hình hộp chữ nhật với chiều dài 8m, rộng 6m và cao 4m có 2 cây quạt treo tường. Cây quạt A treo chính giữa bức tường 8m và cách trần 1m, cây quạt B treo chính giữa bức tường 6m và cách trần 1,5m. Chọn hệ trục tọa độ Oxyz như hình vẽ bên dưới ( đơn vị: mét). Giả sử . Tính a + b + c.
Câu 5. Một chiếc ô tô được đặt trên mặt đáy dưới của một khung sắt có dạng hình hộp chữ nhật với đáy trên là hình chữ nhật ABCD, mặt phẳng (ABCD) song song với mặt phẳng nằm ngang. Khung sắt đó được buộc vào móc E của chiếc cần cẩu sao cho các đoạn dây cáp EA, EB, EC và ED có độ dài bằng nhau và cùng tạo với mặt phẳng (ABCD) một góc bằng 60° (hình minh họa). Chiếc cần cẩu đang kéo khung sắt lên theo phương thẳng đứng.
Biết rằng các lực căng đều có cường độ là 4,7kN và trọng lượng của khung sắt là 3kN. Trọng lượng lớn nhất của chiếc xe ô tô (làm tròn đến hàng phần mười) là bao nhiêu kN?
Câu 6. Chiều dài của 40 bé sơ sinh 12 ngày tuổi được chọn ngẫu nhiên ở viện nhi trung ương được nghiên cứu thống kê ở bảng dưới đây:
Tìm phương sai (làm tròn đến hàng phần trăm) của 40 bé sơ sinh ở bảng thống kê trên.
BẢNG ĐÁP ÁN
PHẦN I.
|
Câu |
1 |
2 |
3 |
4 |
5 |
6 |
7 |
8 |
9 |
10 |
11 |
12 |
|
Chọn |
A |
C |
A |
C |
D |
A |
C |
C |
D |
A |
C |
B |
PHẦN II.
|
Câu 1 |
Câu 2 |
Câu 3 |
Câu 4 |
|
a) Đ |
a) Đ |
a) Đ |
a) Đ |
|
b) S |
b) S |
b) S |
b) Đ |
|
c) Đ |
c) Đ |
c) S |
c) Đ |
|
d) S |
d) S |
d) Đ |
d) Đ |
PHẦN III.
|
Câu |
1 |
2 |
3 |
4 |
5 |
6 |
|
Chọn |
−1 |
0,73 |
7 |
−1,5 |
13,3 |
5,91 |
................................
................................
................................
Trên đây tóm tắt một số nội dung miễn phí trong bộ Đề thi Toán 12 năm 2026 mới nhất, để mua tài liệu trả phí đầy đủ, Thầy/Cô vui lòng xem thử:
Tham khảo đề thi Toán 12 Chân trời sáng tạo có đáp án hay khác:
Để học tốt lớp 12 các môn học sách mới:
- Giải bài tập Lớp 12 Kết nối tri thức
- Giải bài tập Lớp 12 Chân trời sáng tạo
- Giải bài tập Lớp 12 Cánh diều
Đã có app VietJack trên điện thoại, giải bài tập SGK, SBT Soạn văn, Văn mẫu, Thi online, Bài giảng....miễn phí. Tải ngay ứng dụng trên Android và iOS.
Theo dõi chúng tôi miễn phí trên mạng xã hội facebook và youtube:Nếu thấy hay, hãy động viên và chia sẻ nhé! Các bình luận không phù hợp với nội quy bình luận trang web sẽ bị cấm bình luận vĩnh viễn.
- Giáo án lớp 12 (các môn học)
- Giáo án điện tử lớp 12 (các môn học)
- Giáo án Toán 12
- Giáo án Ngữ văn 12
- Giáo án Vật Lí 12
- Giáo án Hóa học 12
- Giáo án Sinh học 12
- Giáo án Địa Lí 12
- Giáo án Lịch Sử 12
- Giáo án Lịch Sử 12 mới
- Giáo án GDCD 12
- Giáo án Kinh tế Pháp luật 12
- Giáo án Tin học 12
- Giáo án Công nghệ 12
- Giáo án GDQP 12
- Đề thi lớp 12 (các môn học)
- Đề thi Ngữ văn 12
- Đề thi Toán 12
- Đề thi Tiếng Anh 12 mới
- Đề thi Tiếng Anh 12
- Đề thi Vật Lí 12
- Đề thi Hóa học 12
- Đề thi Sinh học 12
- Đề thi Địa Lí 12
- Đề thi Lịch Sử 12
- Đề thi Giáo dục Kinh tế Pháp luật 12
- Đề thi Giáo dục quốc phòng 12
- Đề thi Tin học 12
- Đề thi Công nghệ 12


Giải bài tập SGK & SBT
Tài liệu giáo viên
Sách
Khóa học
Thi online
Hỏi đáp

