15+ Đề thi Học kì 2 Toán 12 Kết nối tri thức (cấu trúc mới, có đáp án)
Với bộ 15+ Đề thi Học kì 2 Toán 12 Kết nối tri thức năm 2026 theo cấu trúc mới có đáp án và ma trận được biên soạn và chọn lọc từ đề thi Toán 12 của các trường THPT trên cả nước sẽ giúp học sinh lớp 12 ôn tập và đạt kết quả cao trong các bài thi Học kì 2 Toán 12.
15+ Đề thi Học kì 2 Toán 12 Kết nối tri thức (cấu trúc mới, có đáp án)
Chỉ từ 150k mua trọn bộ Đề thi Toán 12 Học kì 2 Kết nối tri thức có lời giải bản word trình bày đẹp mắt, dễ dàng chỉnh sửa:
- B1: gửi phí vào tk:
1133836868- CT TNHH DAU TU VA DV GD VIETJACK - Ngân hàng MB (QR) - B2: Nhắn tin tới Zalo VietJack Official - nhấn vào đây để thông báo và nhận giáo án
Đề thi Học kì 2 Toán 12 Kết nối tri thức (Giáo viên VietJack)
50+ Đề thi Học kì 2 Toán 12
Đề thi Học kì 2 Toán 12 trường THPT Xuyên Mộc (TP.HCM) năm 2025-2026
Đề thi Học kì 2 Toán 12 trường THPT Trường Chinh (TP.HCM) năm 2025-2026
Đề thi Học kì 2 Toán 12 trường THPT Nguyễn Du (TP.HCM) năm 2025-2026
Đề thi Học kì 2 Toán 12 trường THPT Việt Đức (Hà Nội) năm 2025-2026
Đề thi Học kì 2 Toán 12 trường THPT Lê Quý Đôn (Quảng Ngãi) năm 2025-2026
Đề thi Học kì 2 Toán 12 trường THPT Chu Văn An - Gia Nghĩa (Lâm Đồng) năm 2025-2026
Đề thi Học kì 2 Toán 12 trường THPT Lê Hồng Phong (Thái Nguyên) năm 2025-2026
Đề thi Học kì 2 Toán 12 trường THPT Ngô Gia Tự (Đắk Lắk) năm 2025-2026
Đề thi Học kì 2 Toán 12 trường THPT Quế Sơn (Đà Nẵng) năm 2025-2026
Đề thi Học kì 2 Toán 12 trường THPT Thanh Miện II (Hải Phòng) năm 2025-2026
Đề thi Học kì 2 Toán 12 trường THPT Chuyên Trần Đại Nghĩa (Tp.HCM) năm 2025-2026
Đề thi Học kì 2 Toán 12 trường THPT Ngô Quyền (Tp.HCM) năm 2025-2026
Đề thi Học kì 2 Toán 12 trường THCS và THPT Hiếu Nhơn (Vĩnh Long) năm 2025-2026
Đề thi Học kì 2 Toán 12 trường THPT Nguyễn Văn Trỗi (Khánh Hòa) năm 2025-2026
Đề thi Học kì 2 Toán 12 trường THPT Phạm Văn Sáng (Tp.HCM) năm 2025-2026
Đề thi Học kì 2 Toán 12 trường THPT Quang Trung (Hải Phòng) năm 2025-2026
Đề thi Học kì 2 Toán 12 trường THPT Việt Nam - Ba Lan (Hà Nội) năm 2025-2026
Đề thi Học kì 2 Toán 12 trường Trung học Thực hành (Đại học Sư phạm TP. HCM) năm 2025-2026
Đề thi Học kì 2 Toán 12 trường THPT Nguyễn Gia Thiều (Hà Nội) năm 2024-2025
Đề thi Học kì 2 Toán 12 trường Nguyễn Bỉnh Khiêm (Hà Nội) năm 2024-2025
Đề thi Học kì 2 Toán 12 trường THPT Nhân Chính (Hà Nội) năm 2024-2025
Đề thi Học kì 2 Toán 12 trường THPT Bình Chiểu (Tp.HCM) năm 2024-2025
Đề thi Học kì 2 Toán 12 trường THCS&THPT Trí Đức (Tp.HCM) năm 2024-2025
Đề thi Học kì 2 Toán 12 trường THPT Nguyễn Hữu Cầu (Tp.HCM) năm 2024-2025
Sở Giáo dục và Đào tạo ...
Đề thi Học kì 2 - Kết nối tri thức
Năm học ...
Môn: Toán 12
Thời gian làm bài: phút
(Đề 1)
PHẦN I. TRẮC NGHIỆM KHÁCH QUAN
A. TRẮC NGHIỆM NHIỀU PHƯƠNG ÁN LỰA CHỌN. Thí sinh trả lời từ câu 1 đến câu 12.
Mỗi câu hỏi thí sinh chỉ chọn một phương án.
Câu 1. Công thức nào sau đây là sai?
A. .
B. .
C. .
D. .
Câu 2. Cho và , khi đó bằng
A. −18.
B. 16.
C. 10.
D. 24.
Câu 3. Diện tích hình phẳng được gạch sọc trong hình vẽ được tính bằng công thức nào sau đây?
A. .
B. .
C. .
D. .
Câu 4. Trong không gian Oxyz, cho mặt phẳng (α): x + 2z - 3 = 0. Điểm nào dưới đây không thuộc (α)?
A. P(5; 2; -1).
B. N(3; 1; 0).
C. Q(1; -1; 1).
D. M(1; 1; 0).
Câu 5. Trong không gian với hệ trục tọa độ Oxyz, phương trình tham số của đường thẳng đi qua điểm M(2; 0; -1) và có vectơ chỉ phương là
A. .
B. .
C. .
D. .
Câu 6. Mặt cầu (S): (x + 3)2 + (y - 4)2 + (z - 5)2 = 6 có tâm là:
A. I(-3; -4; -5).
B. I(-3; 4; 5).
C. I(3; -4; -5).
D. I(3; -4; 5).
Câu 7. Cho A, B là các biến cố của một phép thử T. Biết rằng P(B) > 0 , xác suất của biến cố A với điều kiện biến cố B đã xảy ra được tính theo công thức nào sau đây?
A. .
B. .
C. .
D. .
Câu 8. Cho hai biến cố A, B với 0 < P(B) < 1. Phát biểu nào sau đây đúng?
A. .
B. .
C. .
D. .
Câu 9. Cho hàm số y = f(x) có đạo hàm liên tục trên [-2; 3] và f'(x) có đồ thị như hình vẽ sau:
Biết và diện tích phần gạch sọc trong hình vẽ . Giá trị f(3) - f(-2) bằng
A. .
B. .
C. .
D. .
Câu 10. Biết tích phân với a, b ∈ ℤ. Giá trị của biểu thức S = a + b bằng
A. S = 2028.
B. S = 2026.
C. S = 2025.
D. S = 2027.
Câu 11. Cho hình phẳng (H) giới hạn bởi đồ thị hàm số và các đường thẳng y = 0; x = 1; x = 4. Thể tích V của khối tròn xoay sinh ra khi cho hình phẳng (H) quay quanh trục Ox bằng:
A. V = 2π ln2.
B. V = 2ln2.
C. .
D. .
Câu 12. Trong không gian với hệ trục tọa độ Oxyz, cho mặt phẳng (P) đi qua M(2; -1; 1) và có một vectơ pháp tuyến . Phương trình mặt phẳng (P) là:
A. x + 2y - 2z + 3 = 0.
B. x - 2y - 2z - 1 = 0.
C. x - 2y + 2z - 12 = 0.
D. x - 2y + 2z - 6 = 0.
B. TRẮC NGHIỆM ĐÚNG - SAI. Thí sinh trả lời từ câu 1 đến câu 2. Trong mỗi ý a), b), c), d) ở mỗi câu, thí sinh chọn đúng hoặc sai.
Câu 1. Một xe ô tô đang chạy với vận tốc 65 km/h thì người lái xe bất ngờ phát hiện chướng ngại vật trên đường cách đó 50 m. Người lái xe phản ứng một giây, sau đó đạp phanh khẩn cấp. Kể từ thời điểm này, ô tô chuyển động chậm dần đều với vận tốc v(t) = -10t + 20 (m/s), trong đó t là thời gian tính bằng giây kể từ lúc đạp phanh. Gọi s(t) là quãng đường xe ô tô đi được trong t (giây) kể từ lúc đạp phanh.
a) Quãng đường s(t) mà xe ô tô đi được trong thời gian t (giây) là một nguyên hàm của hàm số v(t).
b) s(t) = -5t2 + 20t.
c) Thời gian kể từ lúc đạp phanh đến khi xe ô tô dừng hẳn là 20 giây.
d) Xe ô tô đó không va vào chướng ngại vật trên đường.
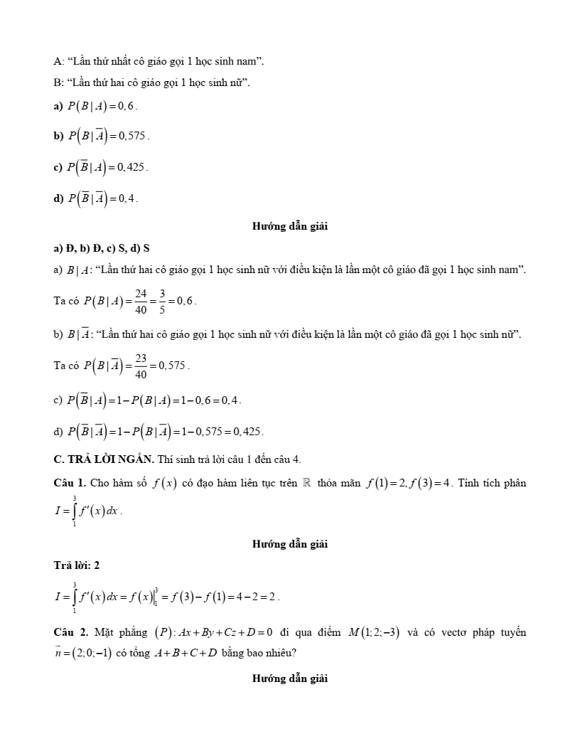
Câu 2. Một lớp học có 17 học sinh nam và 24 học sinh nữ. Cô giáo gọi ngẫu nhiên lần lượt 2 học sinh (có thứ tự) lên trả lời câu hỏi. Xét các biến cố:
A: “Lần thứ nhất cô giáo gọi 1 học sinh nam”.
B: “Lần thứ hai cô giáo gọi 1 học sinh nữ”.
a) .
b) .
c) .
d) .
C. TRẢ LỜI NGẮN. Thí sinh trả lời câu 1 đến câu 4.
Câu 1. Cho hàm số f(x) có đạo hàm liên tục trên ℝ thỏa mãn f(1) = 2, f(3) = 4. Tính tích phân .
Câu 2. Mặt phẳng (P): Ax + By + Cz + D = 0 đi qua điểm M(1; 2; -3) và có vectơ pháp tuyến có tổng A + B + C + D bằng bao nhiêu?
Câu 3. Tính cosin của góc giữa hai mặt phẳng (P): 2x - y + 2z - 1 = 0, (Q): x - y - z + 2 = 0 (kết quả làm tròn đến hàng phần trăm).
Câu 4. Cho hai biến cố A, B với P(B) = 0,7; P(A | B) = 0,6; . Tính P(A).
PHẦN II. TỰ LUẬN
Câu 1. Trong không gian với hệ tọa độ Oxyz, cho mặt phẳng (Q): x - 2y + z - 5 = 0 và mặt cầu (S): (x - 1)2 + y2 + (z + 2)2 = 15. Viết phương trình mặt phẳng (P) song song với mặt phẳng (Q) và cắt mặt cầu (S) theo giao tuyến là một đường tròn có chu vi bằng 6π.
Câu 2. Người ta muốn thiết kế một bồn chứa khí hóa lỏng hình cầu bằng phần mềm 3D (hình vẽ minh họa). Biết phương trình bề mặt của bồn chứa là (S): (x - 5)2 + (y - 5)2 + (z - 5)2 = 36. Nắp của bồn chứa nằm trên mặt phẳng (P): z = 9. Khoảng cách từ đáy đến nắp bồn chứa bằng bao nhiêu?
Câu 3. Trong một đợt nghiên cứu tỷ lệ ung thư do hút thuốc lá gây nên, người ta thấy rằng tại tỉnh X tỉ lệ người dân của tỉnh nghiệm thuốc lá là 20%; tỉ lệ người bị bệnh ung thư trong số người nghiệm thuốc lá là 70%, trong số người không nghiện thuốc lá là 15%. Hỏi khi gặp một người bị bệnh ung thư tại tỉnh này thì xác suất người đó nghiện thuốc lá là bao nhiêu?
Sở Giáo dục và Đào tạo ...
Đề thi Học kì 2 - Kết nối tri thức
Năm học ...
Môn: Toán 12
Thời gian làm bài: phút
(Đề 2)
PHẦN I. Câu trắc nghiệm nhiều phương án lựa chọn. Thí sinh trả lời từ câu 1 đến câu 12.
Mỗi câu hỏi thí sinh chỉ chọn một phương án.
Câu 1. Mệnh đề nào dưới đây đúng?
A. .
B. .
C. .
D. .
Câu 2. Cho ; . Tích phân bằng
A. .
B. .
C. .
D. .
Câu 3. Họ nguyên hàm của hàm số là
A. .
B. .
C. .
D. .
Câu 4. Tích phân bằng
A. ln 2 - 1.
B. ln 2 + 3.
C. ln 2 + 1.
D. ln 2 + 2.
Câu 5. Nếu các số hữu tỉ a, b thỏa mãn thì giá trị của biểu thức a + b bằng
A. 4.
B. 6.
C. 5.
D. 3.
Câu 6. Cho hàm số y = f(x) liên tục trên đoạn [-2; 2], có đồ thị tạo với trục hoành một hình phẳng gồm 3 phần có diện tích S1; S2; S3 như hình vẽ bên dưới
Tích phân bằng
A. S2 + S3 - S1.
B. S1 - S2 + S3.
C. S1 + S2 + S3.
D. -S1 + S2 - S3.
Câu 7. Trong không gian Oxyz cho mặt phẳng (P): 2x - y + z -3 = 0. Véctơ nào dưới đây là một véctơ pháp tuyến của mặt phẳng (P)?
A. (2;1;1).
B. (3;-1;-1).
C. (-2;1;-1).
D. (-2;1;1).
Câu 8. Trong không gian Oxyz, cho đường thẳng . Phương trình tham số của đường thẳng d là
A. .
B. .
C. .
D. .
Câu 9. Trong không gian Oxyz, mặt phẳng đi qua điểm M(1;1;-1) và vuông góc với đường thẳng có phương trình là
A. 2x + 2y + z + 3 = 0.
B. x - 2y - z = 0.
C. 2x + 2y + z -3 = 0.
D. x - 2y - z - 2 = 0.
Câu 10. Trong không gian Oxyz cho hai đường thẳng , . Tìm tất cả giá trị thực của m để d1 vuông góc với d2.
A. m = -1.
B. m = 1.
C. m = -5.
D. m = 5.
Câu 11. Cho hai biến cố A và B với P(A) = 0,3; P(B) = 0,5; P(B|A) = 0,9. Khi đó xác suất của biến cố A ∩ B là
A. .
B. .
C. .
D. .
Câu 12. Cho hai biến cố A, B thoả mãn P(A) = 0,4; P(B) = 0,3; P(A|B) = 0,25. Khi đó, P(B|A) bằng
A. 0,1875.
B. 0,48.
C. 0,333.
D. 0,95.
PHẦN II. Câu trắc nghiệm đúng sai. Thí sinh trả lời từ câu 1 đến câu 4. Trong mỗi ý a), b), c), d) ở mỗi câu, thí sinh chọn đúng hoặc sai.
Câu 1. Cho hình phẳng (H) là phần tô đậm trong hình sau. Khi đó:
a) Hình phẳng (H) giới hạn bởi đồ thị các hàm số y = x2 - 2x -1, y = x2 + 3 và hai đường thẳng x = -1; x = 2.
b) Diện tích hình phẳng (H) là .
c) Diện tích hình phẳng (H) là .
d) Nếu (với a, b là các số nguyên tố) thì a2 + b2 = 29.
Câu 2. Trong không gian Oxyz, cho đường thẳng và mặt phẳng (P): x + y - 5 = 0.
a) Vectơ là một vectơ chỉ phương của ∆.
b) Góc giữa hai mặt phẳng (P) và (Oyz) bằng 45°.
c) Đường thẳng đi qua N(2;3;-4) và song song với ∆ có phương trình là .
d) Đường thẳng d vuông góc ∆ và tạo với (P) một góc 45° có một vectơ chỉ phương là .
Câu 3. Trong không gian Oxyz cho mặt cầu (S) có phương trình .
a) Đường kính mặt cầu bằng 8.
b) Mặt cầu (S) đi qua điểm A(-1;3;0).
c) Khoảng cách từ tâm mặt cầu đến mặt phẳng (Oyz) bằng 2.
d) Mặt phẳng (P) có phương trình x + 2y - 2z - 2 = 0 tiếp xúc với mặt cầu (S).
Câu 4. Bạn Nam tham gia một gian hàng trò chơi dân gian trong hội xuân của trường. Trò chơi có hai lượt chơi. Xác suất để Nam thắng ở lượt chơi thứ nhất là 0,6. Nếu Nam thắng ở lượt chơi thứ nhất thì xác suất Nam thắng ở lượt chơi thứ hai là 0,8. Ngược lại, nếu Nam thua ở lượt chơi thứ nhất thì xác suất Nam thắng ở lượt chơi thứ hai là 0,3. Xét các biến cố:
A: “Nam thắng ở lượt chơi thứ nhất”.
B: “Nam thắng ở lượt chơi thứ hai”.
a) P(A) = 0,8.
b) P(B|A) = 0,6.
c) .
d) Xác suất Nam thắng ở lượt chơi thứ nhất khi đã thắng ở lượt chơi thứ hai là khoảng 80%.
PHẦN III. Câu trắc nghiệm trả lời ngắn. Thí sinh trả lời câu 1 đến câu 6.
Câu 1. Cho hàm số . Biết F(x) là một nguyên hàm của f(x) thỏa mãn F(1) = 3. Khi đó F(5) = a + ln b với a,b ∈ ℕ. Tính tích T = ab.
Câu 2. Biết giá trị tích phân có dạng với a,b ∈ ℤ. Tính S = a2 + b2.
Câu 3. Bạn An cần mua một chiếc gương có viền là đường parabol bậc 2 (xem hình vẽ). Biết rằng đoạn AB = 60 cm, OH = 30 cm. Diện tích của chiếc gương bạn An mua bằng bao nhiêu cm2?
Câu 4. Khi gắn hệ tọa độ Oxyz (đơn vị trên mỗi trục tính theo kilômét) vào một trận địa pháo phòng không, mặt phẳng (Oxy) trùng với mặt đất. Trong tập luyện, một vùng mặt phẳng trong tầm hoạt động của pháo được giữ bởi 3 điểm pháo A(3;0;0); B(0;1;5;0); C(0;0;-1;5). Một mục tiêu bay từ điểm M(5;2;4) tới N(1;0;-2). Khoảng cách từ điểm pháo A tới vị trí va chạm của mục tiêu khi tới mặt phẳng là bao nhiêu? (làm tròn kết quả đến hàng phần trăm).
Câu 5. Trong không gian với hệ tọa độ Oxyz, đài kiểm soát không lưu sân bay có tọa độ O(0;0;0), mỗi đơn vị trên trục ứng với 1 km. Máy bay bay trong phạm vi cách đài kiểm soát 417 km sẽ hiển thị trên màn hình ra đa. Một máy bay đang ở vị trí A(-688;-185;8), chuyển động theo đường thẳng d có vectơ chỉ phương là và hướng về đài kiểm soát không lưu. Tọa độ của vị trí sớm nhất mà máy bay xuất hiện trên màn hình ra đa là M(a;b;c). Khi đó a + b + c bằng bao nhiêu?
Câu 6. Một doanh nghiệp có 45% nhân viên là nữ. Tỉ lệ nhân viên nữ và tỉ lệ nhân viên nam mua bảo hiểm nhân thọ lần lượt là 7% và 5%. Gặp ngẫu nhiên một nhân viên của doanh nghiệp. Biết rằng nhân viên đó có mua bảo hiểm nhân thọ. Xác suất nhiên viên đó là nam bằng bao nhiêu? (làm tròn kết quả đến hàng phần mười).
BẢNG ĐÁP ÁN
PHẦN I.
|
Câu |
1 |
2 |
3 |
4 |
5 |
6 |
7 |
8 |
9 |
10 |
11 |
12 |
|
Chọn |
D |
A |
C |
D |
A |
D |
C |
B |
C |
A |
B |
A |
PHẦN II.
|
Câu 1 |
Câu 2 |
Câu 3 |
Câu 4 |
|
a) Đ |
a) Đ |
a) S |
a) S |
|
b) Đ |
b) Đ |
b) S |
b) S |
|
c) S |
c) Đ |
c) Đ |
c) Đ |
|
d) S |
d) S |
d) S |
d) Đ |
PHẦN III.
|
Câu |
1 |
2 |
3 |
4 |
5 |
6 |
|
Chọn |
595 |
41 |
1200 |
1,41 |
−367 |
0,5 |
................................
................................
................................
Trên đây tóm tắt một số nội dung miễn phí trong bộ Đề thi Toán 12 năm 2026 mới nhất, để mua tài liệu trả phí đầy đủ, Thầy/Cô vui lòng xem thử:
Đề thi Toán 12 Cuối kì 2 trên cả nước
Tham khảo đề thi Toán 12 Kết nối tri thức có đáp án hay khác:
Để học tốt lớp 12 các môn học sách mới:
- Giải bài tập Lớp 12 Kết nối tri thức
- Giải bài tập Lớp 12 Chân trời sáng tạo
- Giải bài tập Lớp 12 Cánh diều
Đã có app VietJack trên điện thoại, giải bài tập SGK, SBT Soạn văn, Văn mẫu, Thi online, Bài giảng....miễn phí. Tải ngay ứng dụng trên Android và iOS.
Theo dõi chúng tôi miễn phí trên mạng xã hội facebook và youtube:Nếu thấy hay, hãy động viên và chia sẻ nhé! Các bình luận không phù hợp với nội quy bình luận trang web sẽ bị cấm bình luận vĩnh viễn.
- Giáo án lớp 12 (các môn học)
- Giáo án điện tử lớp 12 (các môn học)
- Giáo án Toán 12
- Giáo án Ngữ văn 12
- Giáo án Vật Lí 12
- Giáo án Hóa học 12
- Giáo án Sinh học 12
- Giáo án Địa Lí 12
- Giáo án Lịch Sử 12
- Giáo án Lịch Sử 12 mới
- Giáo án GDCD 12
- Giáo án Kinh tế Pháp luật 12
- Giáo án Tin học 12
- Giáo án Công nghệ 12
- Giáo án GDQP 12
- Đề thi lớp 12 (các môn học)
- Đề thi Ngữ văn 12
- Đề thi Toán 12
- Đề thi Tiếng Anh 12 mới
- Đề thi Tiếng Anh 12
- Đề thi Vật Lí 12
- Đề thi Hóa học 12
- Đề thi Sinh học 12
- Đề thi Địa Lí 12
- Đề thi Lịch Sử 12
- Đề thi Giáo dục Kinh tế Pháp luật 12
- Đề thi Giáo dục quốc phòng 12
- Đề thi Tin học 12
- Đề thi Công nghệ 12


Giải bài tập SGK & SBT
Tài liệu giáo viên
Sách
Khóa học
Thi online
Hỏi đáp

