Đề khảo sát Tiếng Anh 12 Hà Nội năm 2026
Ngày 13/3/2026, Sở Giáo dục Đào tạo Hà Nội tổ chức kì thi khảo sát. Bài viết cập nhật đề khảo sát môn Tiếng Anh 12 Hà Nội năm 2026 có đáp án sẽ giúp học sinh lớp 12 ôn tập và đạt điểm cao trong bài thi Tiếng Anh 12. Mời các bạn đón đọc:
Đề khảo sát Tiếng Anh 12 Hà Nội năm 2026
Xem thử Đề lớp 12 Xem thử Đề ôn Tốt nghiệp Xem thử Đề ôn ĐGNL, ĐGTD
Chỉ từ 150k mua trọn bộ đề thi, giáo án, .... lớp 12 và đề ôn thi Tốt nghiệp, ĐGNL, ĐGTD các môn học theo cấu trúc mới bản word có lời giải chi tiết:
- B1: gửi phí vào tk:
1133836868- CT TNHH DAU TU VA DV GD VIETJACK - Ngân hàng MB (QR) - B2: Nhắn tin tới Zalo VietJack Official - nhấn vào đây để thông báo và nhận đề thi
Xem thử Đề lớp 12 Xem thử Đề ôn Tốt nghiệp Xem thử Đề ôn ĐGNL, ĐGTD
Xem thêm đề khảo sát các môn học lớp 12 Hà Nội hay khác:
- Đề khảo sát Toán 12 Hà Nội năm 2026
- Đề khảo sát Ngữ văn 12 Hà Nội năm 2026
- Đề khảo sát Vật lí 12 Hà Nội năm 2026
- Đề khảo sát Hóa học 12 Hà Nội năm 2026
- Đề khảo sát Sinh học 12 Hà Nội năm 2026
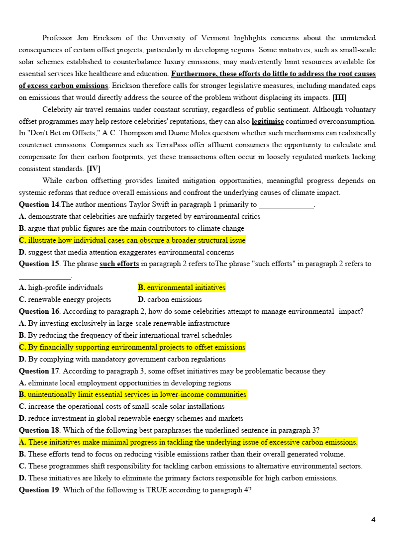
- Đề khảo sát Lịch sử 12 Hà Nội năm 2026
- Đề khảo sát Địa lí 12 Hà Nội năm 2026
- Đề khảo sát Tin học 12 Hà Nội năm 2026
Xem thêm đề thi lớp 12 các môn học có đáp án hay khác:
Đề ôn thi Tốt nghiệp (các môn học), ĐGNL, ĐGTD các trường có đáp án hay khác:
Tài liệu giáo án lớp 12 các môn học chuẩn khác:
Để học tốt lớp 12 các môn học sách mới:
- Giải bài tập Lớp 12 Kết nối tri thức
- Giải bài tập Lớp 12 Chân trời sáng tạo
- Giải bài tập Lớp 12 Cánh diều
Đã có app VietJack trên điện thoại, giải bài tập SGK, SBT Soạn văn, Văn mẫu, Thi online, Bài giảng....miễn phí. Tải ngay ứng dụng trên Android và iOS.
Theo dõi chúng tôi miễn phí trên mạng xã hội facebook và youtube:Nếu thấy hay, hãy động viên và chia sẻ nhé! Các bình luận không phù hợp với nội quy bình luận trang web sẽ bị cấm bình luận vĩnh viễn.
- Giáo án lớp 12 (các môn học)
- Giáo án điện tử lớp 12 (các môn học)
- Giáo án Toán 12
- Giáo án Ngữ văn 12
- Giáo án Vật Lí 12
- Giáo án Hóa học 12
- Giáo án Sinh học 12
- Giáo án Địa Lí 12
- Giáo án Lịch Sử 12
- Giáo án Lịch Sử 12 mới
- Giáo án GDCD 12
- Giáo án Kinh tế Pháp luật 12
- Giáo án Tin học 12
- Giáo án Công nghệ 12
- Giáo án GDQP 12
- Đề thi lớp 12 (các môn học)
- Đề thi Ngữ văn 12
- Đề thi Toán 12
- Đề thi Tiếng Anh 12 mới
- Đề thi Tiếng Anh 12
- Đề thi Vật Lí 12
- Đề thi Hóa học 12
- Đề thi Sinh học 12
- Đề thi Địa Lí 12
- Đề thi Lịch Sử 12
- Đề thi Giáo dục Kinh tế Pháp luật 12
- Đề thi Giáo dục quốc phòng 12
- Đề thi Tin học 12
- Đề thi Công nghệ 12


Giải bài tập SGK & SBT
Tài liệu giáo viên
Sách
Khóa học
Thi online
Hỏi đáp

