Đề kiểm tra Toán 11 Chân trời sáng tạo Chương 3 (có lời giải)
Đề kiểm tra Toán 11 Chân trời sáng tạo Chương 3: Giới hạn. Hàm số liên tục có đáp án chi tiết theo cấu trúc mới với bài tập đa dạng đầy đủ các mức độ sẽ giúp học sinh lớp 11 ôn luyện Toán 11.
Đề kiểm tra Toán 11 Chân trời sáng tạo Chương 3 (có lời giải)
Chỉ từ 250k mua trọn bộ Bài tập ôn tập + Đề kiểm tra Toán 11 Chân trời sáng tạo theo Chương theo cấu trúc mới bản word có lời giải chi tiết, trình bày đẹp mắt, dễ dàng chỉnh sửa:
- B1: gửi phí vào tk:
1133836868- CT TNHH DAU TU VA DV GD VIETJACK - Ngân hàng MB (QR) - B2: Nhắn tin tới Zalo VietJack Official - nhấn vào đây để thông báo và nhận đề thi
Phần 1. Trắc nghiệm nhiều phương án lựa chọn
Mỗi câu hỏi thí sinh chỉ chọn một phương án.
Câu 1. Khẳng định nào sau đây sai?
A.
B.
C.
D.
Câu 2. Hàm số nào trong các hàm số dưới đây không liên tục trên ℝ?
A.
B.
C.
D.
Câu 3. Cho hàm số xác định trên ℝ liên tục tại và thỏa mãn . Khi đó bằng bao nhiêu?
A.
B.
C.
D.
Câu 4. Cho và . Giá trị của bằng
A. 8
B. -8
C. -15
D. 2
Câu 5. Tính bằng
A.
B.
C.
D. 3
Câu 6. Hàm số nào dưới đây gián đoạn tại điểm ?
A.
B.
C.
D.
Phần 2. Trắc nghiệm đúng sai
Trong mỗi ý a), b), c), d) ở mỗi câu, thí sinh chọn đúng hoặc sai.
Câu 1. Cho hàm số ( m là tham số).
a) Khi m = -1 thì .
b).
c) Tồn tại khi m = -3.
d) .
Câu 2. Cho các hàm số và . Khi đó:
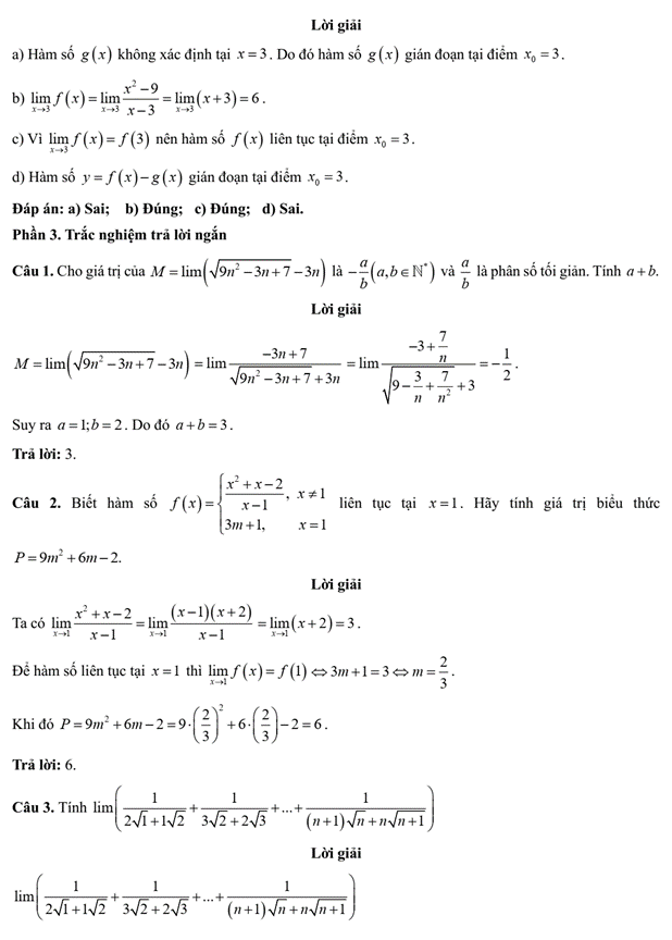
a) Hàm số liên tục tại điểm .
b) Giới hạn .
c) Hàm số liên tục tại điểm .
d) Hàm số liên tục tại điểm .
Phần 3. Trắc nghiệm trả lời ngắn
Câu 1. Cho giá trị của là và là phân số tối giản. Tính
Câu 2. Biết hàm số liên tục tại x = 1. Hãy tính giá trị biểu thức .
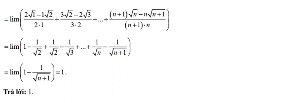
Câu 3. Tính .
................................
................................
................................
Xem thêm đề kiểm tra Toán lớp 11 Chân trời sáng tạo có đáp án hay khác:
Đề kiểm tra Toán 11 Chân trời sáng tạo Chương 1 (có lời giải)
Đề kiểm tra Toán 11 Chân trời sáng tạo Chương 2 (có lời giải)
Đề kiểm tra Toán 11 Chân trời sáng tạo Chương 4 (có lời giải)
Đề kiểm tra Toán 11 Chân trời sáng tạo Chương 5 (có lời giải)
Đề kiểm tra Toán 11 Chân trời sáng tạo Chương 6 (có lời giải)
Đề kiểm tra Toán 11 Chân trời sáng tạo Chương 7 (có lời giải)
Đề kiểm tra Toán 11 Chân trời sáng tạo Chương 8 (có lời giải)
Đề kiểm tra Toán 11 Chân trời sáng tạo Chương 9 (có lời giải)
Xem thêm các tài liệu học tốt lớp 11 hay khác:
- Giải sgk Toán 11 Chân trời sáng tạo
- Giải Chuyên đề học tập Toán 11 Chân trời sáng tạo
- Giải SBT Toán 11 Chân trời sáng tạo
- Giải lớp 11 Chân trời sáng tạo (các môn học)
- Giải lớp 11 Kết nối tri thức (các môn học)
- Giải lớp 11 Cánh diều (các môn học)
Tủ sách VIETJACK shopee lớp 10-11 (cả 3 bộ sách):
Đã có app VietJack trên điện thoại, giải bài tập SGK, SBT Soạn văn, Văn mẫu, Thi online, Bài giảng....miễn phí. Tải ngay ứng dụng trên Android và iOS.
Theo dõi chúng tôi miễn phí trên mạng xã hội facebook và youtube:Nếu thấy hay, hãy động viên và chia sẻ nhé! Các bình luận không phù hợp với nội quy bình luận trang web sẽ bị cấm bình luận vĩnh viễn.
- Soạn văn 11 (hay nhất) - CTST
- Soạn văn 11 (ngắn nhất) - CTST
- Giải sgk Toán 11 - CTST
- Giải Tiếng Anh 11 Global Success
- Giải sgk Tiếng Anh 11 Smart World
- Giải sgk Tiếng Anh 11 Friends Global
- Giải sgk Vật Lí 11 - CTST
- Giải sgk Hóa học 11 - CTST
- Giải sgk Sinh học 11 - CTST
- Giải sgk Lịch Sử 11 - CTST
- Giải sgk Địa Lí 11 - CTST
- Giải sgk Giáo dục KTPL 11 - CTST
- Giải sgk Hoạt động trải nghiệm 11 - CTST
- Giải sgk Âm nhạc 11 - CTST


Giải bài tập SGK & SBT
Tài liệu giáo viên
Sách
Khóa học
Thi online
Hỏi đáp

