5+ Đề thi ĐGNL Đại học Sư phạm Hà Nội môn Toán (có lời giải)
Bộ 5+ Đề thi ĐGNL Đại học Sư phạm Hà Nội SPT môn Toán năm 2026 theo cấu trúc mới có lời giải chi tiết giúp Giáo viên & học sinh có thêm tài liệu ôn thi Đánh giá năng lực Đại học Sư phạm Hà Nội môn Toán đạt kết quả cao.
5+ Đề thi ĐGNL Đại học Sư phạm Hà Nội môn Toán (có lời giải)
Xem thử Đề thi ĐGNL ĐHSP HN (các năm) Xem thử Đề thi ĐGNL ĐHSP HN môn Toán Xem thử Đề thi ĐGNL ĐHSP HN môn Hóa
Chỉ từ 300k mua trọn bộ đề thi ĐGNL Đại học Sư phạm Hà Nội các môn học theo cấu trúc mới bản word có lời giải chi tiết:
- B1: gửi phí vào tk:
1133836868- CT TNHH DAU TU VA DV GD VIETJACK - Ngân hàng MB (QR) - B2: Nhắn tin tới Zalo VietJack Official - nhấn vào đây để thông báo và nhận đề thi
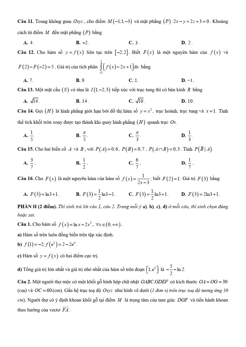
A. TÔ TRÊN PHIẾU TRẢ LỜI TRẮC NGHIỆM
Phần I (4 điểm). Thí sinh trả lời từ câu 1 đến câu 16. Đối với mỗi câu, thí sinh chỉ chọn một phương án.
Câu 1. Số nghiệm của phương trình log2(x - 1) + log2(x - 3) = 3 là
A. 1.
B. 2.
C. 0.
D. 3.
Câu 2. Diện tích hình phẳng giới hạn bởi đồ thị hàm số y = x2 - 2x, y = -2x2 + 2x và hai đường thẳng x = 0, x = 1 là
A. 1.
B. .
C. .
D. .
Câu 3. Tất cả các nghiệm của phương trình là
A. , (k ∈ ℤ).
B. , (k ∈ ℤ).
C. , (k ∈ ℤ).
D. , (k ∈ ℤ).
Câu 4. Cho hàm số có đồ thị như hình sau đây.
Tính giá trị của biểu thức P = 2a - b + 3c ta được kết quả là
A. 6.
B. -6.
C. -10.
D. -2.
Câu 5. Trong không gian với hệ tọa độ Oxy, cho tam giác ABC có phương trình đường phân giác trong góc A là: . Biết rằng điểm M(0; 5; 3) thuộc đường thẳng AB và điểm N(1; 1; 0) thuộc đường thẳng AC. Vectơ nào sau đây là một vectơ chỉ phương của đường thẳng AC?
A. .
B. .
C. .
D. .
Câu 6. Cho kết quả khảo sát về độ tuổi kết hôn của phụ nữ khu vực A như sau:
|
Tuổi kết hôn |
[19; 22) |
[22; 25) |
[25; 28) |
[28; 31) |
[31; 34) |
|
Số phụ nữ |
10 |
27 |
31 |
25 |
7 |
Khoảng tứ phân vị của mẫu số liệu là (kết quả làm tròn đến hàng phần mười)
A. 5,0.
B. 5,2.
C. 5,3.
D. 5,4.
Câu 7. Cho hình lập phương có tổng diện tích các mặt bằng 12a2. Tính theo a thể tích khối lập phương đó ta được kết quả là
A. .
B. .
C. .
D. .
Câu 8. Cho cấp số cộng (un), biết u2 = 3 và u4 = 7. Giá trị của u15 bằng
A. 27.
B. 31.
C. 35.
D. 29.
Câu 9. Thời gian (phút) để học sinh hoàn thành một câu hỏi thi được cho như sau:
Mốt (đơn vị: phút) của mẫu số liệu trên gần nhất số nào sau đây?
A. 12,67.
B. 17,42.
C. 14,56.
D. 17,17.
Câu 10. Cho X và Y là hai biến cố độc lập. Biết xác suất của biến cố X là 0,3 và xác suất của biến cố Y là 0,5. Khi đó xác suất của biến cố X∪Y bằng
A. 0,4.
B. 0,65.
C. 0,8.
D. 0,85.
................................
................................
................................
Xem thử Đề thi ĐGNL ĐHSP HN (các năm) Xem thử Đề thi ĐGNL ĐHSP HN môn Toán Xem thử Đề thi ĐGNL ĐHSP HN môn Hóa
Xem thêm bộ đề ôn thi Đánh giá năng lực Đại học Sư phạm Hà Nội SPT năm 2026 có đáp án hay khác:
Xem thêm đề thi lớp 12 các môn học có đáp án hay khác:
Đề ôn thi Tốt nghiệp (các môn học), ĐGNL, ĐGTD các trường có đáp án hay khác:
Tài liệu giáo án lớp 12 các môn học chuẩn khác:
Đã có app VietJack trên điện thoại, giải bài tập SGK, SBT Soạn văn, Văn mẫu, Thi online, Bài giảng....miễn phí. Tải ngay ứng dụng trên Android và iOS.
Theo dõi chúng tôi miễn phí trên mạng xã hội facebook và youtube:Nếu thấy hay, hãy động viên và chia sẻ nhé! Các bình luận không phù hợp với nội quy bình luận trang web sẽ bị cấm bình luận vĩnh viễn.
- Giải Tiếng Anh 12 Global Success
- Giải sgk Tiếng Anh 12 Smart World
- Giải sgk Tiếng Anh 12 Friends Global
- Lớp 12 Kết nối tri thức
- Soạn văn 12 (hay nhất) - KNTT
- Soạn văn 12 (ngắn nhất) - KNTT
- Giải sgk Toán 12 - KNTT
- Giải sgk Vật Lí 12 - KNTT
- Giải sgk Hóa học 12 - KNTT
- Giải sgk Sinh học 12 - KNTT
- Giải sgk Lịch Sử 12 - KNTT
- Giải sgk Địa Lí 12 - KNTT
- Giải sgk Giáo dục KTPL 12 - KNTT
- Giải sgk Tin học 12 - KNTT
- Giải sgk Công nghệ 12 - KNTT
- Giải sgk Hoạt động trải nghiệm 12 - KNTT
- Giải sgk Giáo dục quốc phòng 12 - KNTT
- Giải sgk Âm nhạc 12 - KNTT
- Giải sgk Mĩ thuật 12 - KNTT
- Lớp 12 Chân trời sáng tạo
- Soạn văn 12 (hay nhất) - CTST
- Soạn văn 12 (ngắn nhất) - CTST
- Giải sgk Toán 12 - CTST
- Giải sgk Vật Lí 12 - CTST
- Giải sgk Hóa học 12 - CTST
- Giải sgk Sinh học 12 - CTST
- Giải sgk Lịch Sử 12 - CTST
- Giải sgk Địa Lí 12 - CTST
- Giải sgk Giáo dục KTPL 12 - CTST
- Giải sgk Tin học 12 - CTST
- Giải sgk Hoạt động trải nghiệm 12 - CTST
- Giải sgk Âm nhạc 12 - CTST
- Lớp 12 Cánh diều
- Soạn văn 12 Cánh diều (hay nhất)
- Soạn văn 12 Cánh diều (ngắn nhất)
- Giải sgk Toán 12 Cánh diều
- Giải sgk Vật Lí 12 - Cánh diều
- Giải sgk Hóa học 12 - Cánh diều
- Giải sgk Sinh học 12 - Cánh diều
- Giải sgk Lịch Sử 12 - Cánh diều
- Giải sgk Địa Lí 12 - Cánh diều
- Giải sgk Giáo dục KTPL 12 - Cánh diều
- Giải sgk Tin học 12 - Cánh diều
- Giải sgk Công nghệ 12 - Cánh diều
- Giải sgk Hoạt động trải nghiệm 12 - Cánh diều
- Giải sgk Giáo dục quốc phòng 12 - Cánh diều
- Giải sgk Âm nhạc 12 - Cánh diều


Giải bài tập SGK & SBT
Tài liệu giáo viên
Sách
Khóa học
Thi online
Hỏi đáp

