Đề kiểm tra Toán 10 Chân trời sáng tạo Chương 1 (có lời giải)
Đề kiểm tra Toán 10 Chân trời sáng tạo Chương 1: Mệnh đề và tập hợp có đáp án chi tiết theo cấu trúc mới với bài tập đa dạng đầy đủ các mức độ sẽ giúp học sinh lớp 10 ôn luyện Toán 10.
Đề kiểm tra Toán 10 Chân trời sáng tạo Chương 1 (có lời giải)
Chỉ từ 200k mua trọn bộ Bài tập ôn tập + Đề kiểm tra Toán 10 Chân trời sáng tạo theo Chương theo cấu trúc mới bản word có lời giải chi tiết, trình bày đẹp mắt, dễ dàng chỉnh sửa:
- B1: gửi phí vào tk:
1133836868- CT TNHH DAU TU VA DV GD VIETJACK - Ngân hàng MB (QR) - B2: Nhắn tin tới Zalo VietJack Official - nhấn vào đây để thông báo và nhận đề thi
Phần 1. Trắc nghiệm nhiều phương án lựa chọn
Mỗi câu hỏi thí sinh chỉ chọn một phương án.
Câu 1. Cho A, B là hai tập hợp được minh họa như hình vẽ. Phần không bị gạch trong hình vẽ là tập hợp nào sau đây?
A.
B.
C.
D. .
Câu 2. Cho tập hợp và . Có tất cả bao nhiêu tập thỏa mãn và
A. 6
B.4
C. 2
D. 8
Câu 3. Cho các tập hợp . Khẳng định nào sau đây đúng?
A.
B.
C.
D. .
Câu 4. Mệnh đề phủ định của mệnh đề là
A. .
B.
C. .
D. .
Câu 5. Tập hợp , khi được viết bằng kí hiệu khoảng, nửa khoảng, đoạn là
A. .
B.
C. .
D. .
Câu 6. Cho và . Tập hợp chứa bao nhiêu số nguyên âm?
A. 7
B. 6
C. 4
D. 5
Phần 2. Trắc nghiệm đúng sai
Trong mỗi ý a), b), c), d) ở mỗi câu, thí sinh chọn đúng hoặc sai.
Câu 1. Cho hai tập hợp . Khi đó:
a) .
b) .
c) .
d) .
Câu 2. Cho với là số tự nhiên.
a) với .
b) Tồn tại số tự nhiên thỏa mãn điều kiện .
c) là số nguyên tố.
d) là số lẻ.
Phần 3. Trắc nghiệm trả lời ngắn
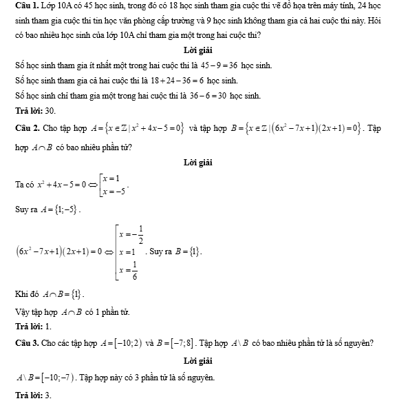
Câu 1. Lớp 10A có 45 học sinh, trong đó có 18 học sinh tham gia cuộc thi vẽ đồ họa trên máy tính, 24 học sinh tham gia cuộc thi tin học văn phòng cấp trường và 9 học sinh không tham gia cả hai cuộc thi này. Hỏi có bao nhiêu học sinh của lớp 10A chỉ tham gia một trong hai cuộc thi?
Câu 2. Cho tập hợp và tập hợp . Tập hợp có bao nhiêu phần tử?
Câu 3. Cho các tập hợp và . Tập hợp có bao nhiêu phần tử là số nguyên?
................................
................................
................................
Xem thêm đề kiểm tra Toán lớp 10 Chân trời sáng tạo có đáp án hay khác:
Đề kiểm tra Toán 10 Chân trời sáng tạo Chương 2 (có lời giải)
Đề kiểm tra Toán 10 Chân trời sáng tạo Chương 3 (có lời giải)
Đề kiểm tra Toán 10 Chân trời sáng tạo Chương 4 (có lời giải)
Đề kiểm tra Toán 10 Chân trời sáng tạo Chương 5 (có lời giải)
Đề kiểm tra Toán 10 Chân trời sáng tạo Chương 6 (có lời giải)
Đề kiểm tra Toán 10 Chân trời sáng tạo Chương 7 (có lời giải)
Đề kiểm tra Toán 10 Chân trời sáng tạo Chương 8 (có lời giải)
Đề kiểm tra Toán 10 Chân trời sáng tạo Chương 9 (có lời giải)
Đề kiểm tra Toán 10 Chân trời sáng tạo Chương 10 (có lời giải)
Xem thêm các tài liệu học tốt lớp 10 hay khác:
- Giải sgk Toán 10 Chân trời sáng tạo
- Giải Chuyên đề học tập Toán 10 Chân trời sáng tạo
- Giải SBT Toán 10 Chân trời sáng tạo
- Giải lớp 10 Chân trời sáng tạo (các môn học)
- Giải lớp 10 Kết nối tri thức (các môn học)
- Giải lớp 10 Cánh diều (các môn học)
Tủ sách VIETJACK shopee lớp 10-11 (cả 3 bộ sách):
Đã có app VietJack trên điện thoại, giải bài tập SGK, SBT Soạn văn, Văn mẫu, Thi online, Bài giảng....miễn phí. Tải ngay ứng dụng trên Android và iOS.
Theo dõi chúng tôi miễn phí trên mạng xã hội facebook và youtube:Nếu thấy hay, hãy động viên và chia sẻ nhé! Các bình luận không phù hợp với nội quy bình luận trang web sẽ bị cấm bình luận vĩnh viễn.
- Soạn văn 10 (hay nhất) - CTST
- Soạn văn 10 (ngắn nhất) - CTST
- Soạn văn 10 (siêu ngắn) - CTST
- Giải Toán 10 - CTST
- Giải Tiếng Anh 10 Global Success
- Giải Tiếng Anh 10 Friends Global
- Giải sgk Tiếng Anh 10 iLearn Smart World
- Giải sgk Tiếng Anh 10 Explore New Worlds
- Giải sgk Vật lí 10 - CTST
- Giải sgk Hóa học 10 - CTST
- Giải sgk Sinh học 10 - CTST
- Giải sgk Địa lí 10 - CTST
- Giải sgk Lịch sử 10 - CTST
- Giải sgk Kinh tế và Pháp luật 10 - CTST
- Giải sgk Hoạt động trải nghiệm 10 - CTST


Giải bài tập SGK & SBT
Tài liệu giáo viên
Sách
Khóa học
Thi online
Hỏi đáp

